Pakiet nr II po modyfikacji z dnia 2017-02-06

Transkrypt

Pakiet nr II po modyfikacji z dnia 2017-02-06
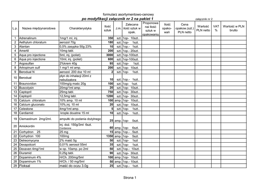
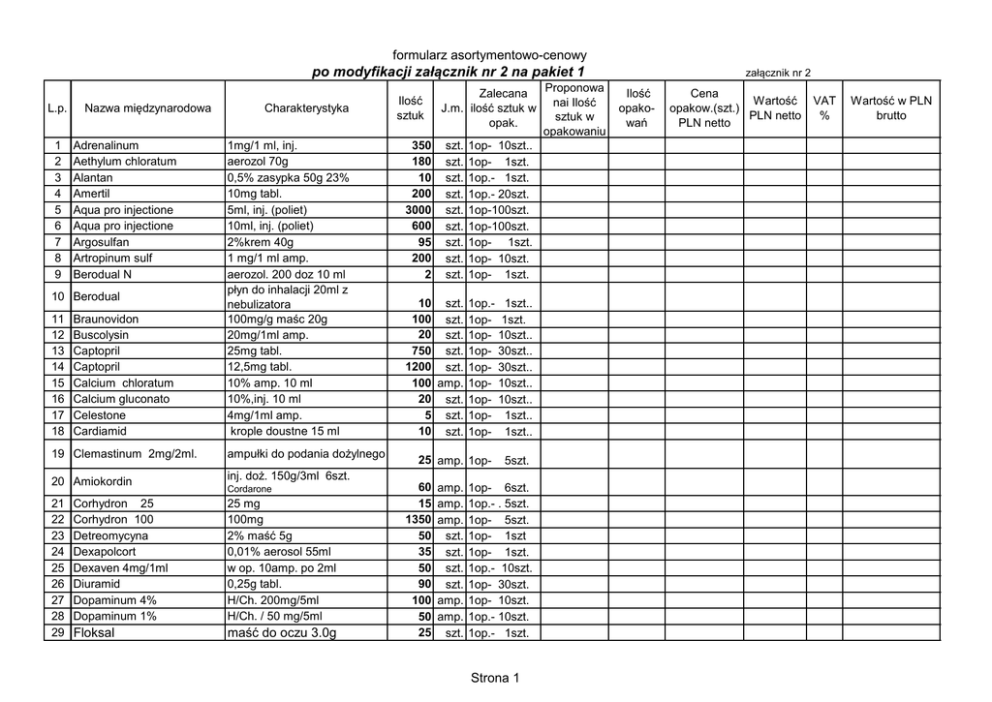
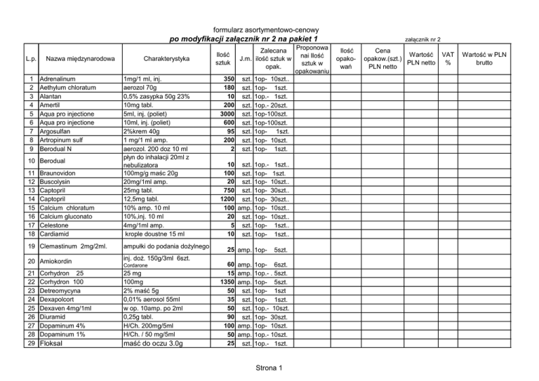
formularz asortymentowo-cenowy
po modyfikacji załącznik nr 2 na pakiet 1
L.p.
1
2
3
4
5
6
7
8
9
Nazwa międzynarodowa
Adrenalinum
Aethylum chloratum
Alantan
Amertil
Aqua pro injectione
Aqua pro injectione
Argosulfan
Artropinum sulf
Berodual N
10 Berodual
11
12
13
14
15
16
17
18
Braunovidon
Buscolysin
Captopril
Captopril
Calcium chloratum
Calcium gluconato
Celestone
Cardiamid
19 Clemastinum 2mg/2ml.
20 Amiokordin
21
22
23
24
25
26
27
28
29
Charakterystyka
1mg/1 ml, inj.
aerozol 70g
0,5% zasypka 50g 23%
10mg tabl.
5ml, inj. (poliet)
10ml, inj. (poliet)
2%krem 40g
1 mg/1 ml amp.
aerozol. 200 doz 10 ml
płyn do inhalacji 20ml z
nebulizatora
100mg/g maśc 20g
20mg/1ml amp.
25mg tabl.
12,5mg tabl.
10% amp. 10 ml
10%,inj. 10 ml
4mg/1ml amp.
krople doustne 15 ml
ampułki do podania dożylnego
Ilość
sztuk
350
180
10
200
3000
600
95
200
2
J.m.
szt.
szt.
szt.
szt.
szt.
szt.
szt.
szt.
szt.
Proponowa
Zalecana
nai Ilość
ilość sztuk w
sztuk w
opak.
opakowaniu
1op- 10szt..
1op- 1szt.
1op.- 1szt.
1op.- 20szt.
1op-100szt.
1op-100szt.
1op- 1szt.
1op- 10szt.
1op- 1szt.
10 szt. 1op.- 1szt..
100 szt. 1op- 1szt.
20 szt. 1op- 10szt..
750 szt. 1op- 30szt..
1200 szt. 1op- 30szt..
100 amp. 1op- 10szt..
20 szt. 1op- 10szt..
5 szt. 1op- 1szt..
10 szt. 1op- 1szt..
25 amp. 1op-
5szt.
inj. doż. 150g/3ml 6szt.
Cordarone
Corhydron 25
Corhydron 100
Detreomycyna
Dexapolcort
Dexaven 4mg/1ml
Diuramid
Dopaminum 4%
Dopaminum 1%
25 mg
100mg
2% maść 5g
0,01% aerosol 55ml
w op. 10amp. po 2ml
0,25g tabl.
H/Ch. 200mg/5ml
H/Ch. / 50 mg/5ml
Floksal
maść do oczu 3.0g
60
15
1350
50
35
50
90
100
50
25
amp.
amp.
amp.
szt.
szt.
szt.
szt.
amp.
amp.
szt.
1op- 6szt.
1op.- . 5szt.
1op- 5szt.
1op- 1szt
1op- 1szt.
1op.- 10szt.
1op- 30szt.
1op- 10szt.
1op.- 10szt.
1op.- 1szt.
Strona 1
załącznik nr 2
Ilość
opakowań
Cena
Wartość
opakow.(szt.)
PLN netto
PLN netto
VAT
%
Wartość w PLN
brutto
30
31
32
33
34
35
36
37
38
39
40
41
42
43
44
45
46
47
48
49
50
Furosemidum
Furosemidum
Glucosum
Glucosum
Glukoza płynna
Hydrocortisonum
Hydroxyzinum
Hydroxyzinum
Iruxol mono
Jodyna 3 %
Kaladyum
Kalium hypermang.
Ketonal
Lidocain
Lignocainum h/chlor
Lignocainum h/chlor
Lignocainum h/chlor.z
noradr.
Lignocainum h/chlor.
Linomag maść
Mentowal
Metocard
20 mg/2 ml, inj.
40mg tabl.
5% 500ml
20 % 10ml, inj.
smak pomarańczowy
1% (10mg/g) krem 15g
0,16% syrop 250g
100mg/2ml,inj.
maść 1,2J./G 20G
płyn 20 g
tabl.100
1 op.-5g
100mg/2 ml amp.
10% aerosol 38g
2% żel typu U 30g
2% żel typu A 30g
2%, 2 ml, inj.
2%, 2 ml, inj.
30g
65% krople 5g
50mg tabl.
51 Metoclopramidum
10mg.tabl
52
53
54
55
56
57
58
59
60
61
63 Galospa
64 No-spa
100 ml inj, doż.
8,4% 20ml amp.
0,9%, 5 ml inj.
0,9% 10 ml inj.
10%, 10ml inj.
0,9% but. stojąca 500ml
0,9% but. stojąca 250ml
6,8 mg/ml. aerosol 55ml
0,5% maść do oczu 3g
syrop 150g
0,4mg/doze aerosol 11g(200
DOZ)
40mg tabl.
40 mg/2 ml. inj.
65 Octenisept z atomizerem
płyn 250ml
Metronidazol 0,5%
Natrium bicarbonicum 8,4%
Natrium chloratum
Natrium chloratum
Natrium chloratum
Natrium chloratum
Natrium chloratum
Neomycinum
Neomycinum
Neospasmina
62 Nitromint
225
450
50
120
50
5
30
35
10
10
500
15
250
20
200
150
amp.
szt.
fiol.
amp.
sasz.
szt.
szt.
amp.
szt.
szt.
tabl.
szt.
amp.
szt.
szt.
szt.
1op- 5szt.
1op.- 30szt.
1op.- 1szt.
1op.- 10szt.
1op.- 10szt.
1op.- 1szt.
1op- 1szt.
1op.- 5szt.
1op.- 1szt.
1op.- 1szt.
1op-100szt.
1op- 1szt..
1op- 10szt..
1op- 1szt.
1op- 1szt.
1op- 1szt..
50 amp. 1op- 10szt.
7000 amp. 1op- 10szt.
30 szt. 1op- 1szt
10 szt. 1op- 1szt.
300 szt. 1op.- 30szt.
150
200
150
10.000
30
500
120
95
160
50
10
40
300
100
15
szt. 1op.- 50szt.
szt. 1op1szt.
amp.
amp.
amp.
amp.
szt.
szt.
szt.
szt.
szt.
1op- 10szt.
1op- 100szt.
1op.- 10szt.
1op- 100szt.
1op- 1szt..
1op- 1szt.
1op- 1szt.
1op- 1szt..
1op- 1szt..
szt. 1op- 1szt..
szt. 1op- 20szt.
szt. 1op- 5szt.
szt. 1op.-
1szt
Strona 2
Octenisept ołyn
Oxycort
Oxycort “A”
Panthenol
Papaverinum h/chlor.
Paracetamol
Phenazolinum
Polopiryna S
Propranolol
Płyn Fizj.Wieloelektrol. Izot.
Pulmicort zawiesina do
76
inhalacji z nebulizatora
77 Pyralginum
78 Pyralginum
ołyn 1000ml
aerosol 55ml
maść do oczu 3g
4,63% aerosol 130ml
20 mg/1 ml, 2 ml amp.
0,5g tabl.
0,1g/2ml amp.
300mg tabl.
40mg tabl.
500ml butel.
79 Sachol stomatologiczny
żel d/j. ust 10g
80
81
82
83
0,5 mg /ml.inj.
pasta dentystyczna 5g
4,15 mg/g żel 20g
2,07 mg/g maść 20g
66
67
68
69
70
71
72
73
74
75
84
85
86
87
88
89
90
91
Salbutamol WZF
Solcoseryl
Solcoseryl
Solcoseryl
Sol gentianae (roztwór
spirytusowy 2 %
Sol gentianae (roztwór
spirytusowy 1 %
Sorbonit
Theospirex
Poltram
Biotrombina 400
j.m.DST.miejsc
Ventolin płyn do inhalacji z
nebulizatora 0,2%
Ventolin (salbutamol()
aerozol inhalacyjny,zawiesina
125 mg/ml, poj.a' 2 ml
2,5g/5ml amp.
0,5g tabl.
20 ml
20 ml
10 mg tabl.
20 ml
100mg/2ml amp.
400 jm, inj.+ rozp.
2mg/ml
100ug/dawka inhalacyjna ,
92 Vit C 500mg/5ml amp.
5
110
15
15
120
400
200
240
300
70
szt.
szt.
szt.
szt,
szt,
szt,
szt,
szt,
szt,
1op1op1op1op1op.1op1op.1op1op-
1szt.
1szt.
1szt.
1szt.
10szt.
20szt.
10szt.
20szt.
50szt
szt, 1 op- 1szt.
120 szt. 1op- 20szt.
100 amp. 1op- 5szt.
240 szt. 1op- 6szt.
15 szt. 1op- 1szt.
100 amp. 1op.- 10szt.
25 szt. 1op- 1szt.
15 szt. 1op.- 1szt.
25 szt. 1op- 1szt.
0,2
0,1
600
10
20
25
litr 1oplitr
szt
szt.
szt.
0,02 l
1op- 0,02 l
1op- 60szt.
1op- 5szt.
1op- 5szt.
szt. 1op-
5szt.
60 amp. 1op.- 20szt.
6
szt. 1op-
1szt.
20
szt. 1op-.
10szt.
Razem:
……………………………………………………………
podpis i pieczątka osoby(osób) upoważnionej(ych)
Strona 3