Mathcad - interpol_lagrange-2

Transkrypt

Mathcad - interpol_lagrange-2
interpol_lagrange-2.xmcd
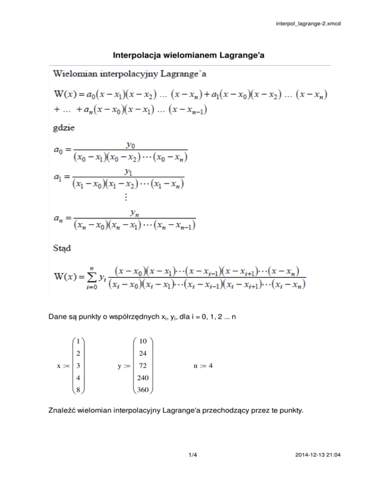
Interpolacja wielomianem Lagrange'a
Dane są punkty o współrzędnych xi, yi, dla i = 0, 1, 2 ... n
1 
2 
 
x :=  3 
4 
 
8 
 10 
 24 
 
y :=  72 
 240 
 
 360 
n := 4
Znaleźć wielomian interpolacyjny Lagrange'a przechodzący przez te punkty.
1/4
2014-12-13 21:04
interpol_lagrange-2.xmcd
Funkcja f(k) oblicza iloczyn (x0 - x1)(x0 - x2) ... (x0 - xk-1)(x0 - xk+1) ... (x0 - xn). Iloczyn ten
jest liczbą.
Funkcja g(k,X) oblicza iloczyn (X - x1)(X - x2) ... (X - xk-1)(X - xk+1) ... (X - xn). Iloczyn ten
jest funkcją.
f ( k) :=
il ← 1
g ( k , X) :=
for i ∈ 0 .. n
il ← 1
for i ∈ 0 .. n
il ← il⋅ ( xk − xi) if k ≠ i
il ← il⋅ ( X − xi) if k ≠ i
il
il
4
3
2
g ( 1 , X) expand → X − 16⋅ X + 83⋅ X − 164⋅ X + 96
P ( i , X) := yi⋅
g ( i , X)
f ( i)
W(X) jest wielomianem interpolacyjnym Lagrange'a
W ( X) :=
S←0
for i ∈ 0 .. n
(1)
S ← S + P ( i , X)
S
3
4
2
167⋅ X
62⋅ X
641⋅ X
982⋅ X 776
W ( X) collect , X →
−
−
+
−
3
15
3
3
5
(1a)
W tym miejscu i poniżej W(x) będzie obliczane ze wzoru (1), ponieważ wielomian dany
wzorem (1a) nie jest przypisany żadnej funkcji
3
4
2
167⋅ X
62⋅ X
641⋅ X
982⋅ X 776
W ( X) := W ( X) collect , X →
−
−
+
−
3
15
3
3
5
(2)
W tym miejscu i poniżej W(x) będzie obliczane ze wzoru (2), ponieważ wielomian dany
tym wzorem jest przypisany funkcji W(x).
2/4
2014-12-13 21:04
interpol_lagrange-2.xmcd
Sprawdzenie wartości W(X) w węzłach interpolacji
W ( 1) = 10 W ( 2) = 24
W ( 3) = 72 W ( 4) = 240
W ( 8) = 360
z := 0.9 , 0.95 .. 8.1
1×10
3
800
y
600
W ( z)
400
200
0
0
2
4
6
8
10
x, z
Przedstawienie współczynników wielomianu jako liczb rzeczywistych
W ( X)
collect , X
2
3
4
→ 327.33⋅ X + −213.67⋅ X + 55.667⋅ X + −4.1333⋅ X − 155.2
float , 5
W tym miejscu i poniżej W(x) będzie obliczane ze wzoru (2).
W ( X) := W ( X)
collect , X
2
3
4
→ 327.33⋅ X + −213.67⋅ X + 55.667⋅ X + −4.1333⋅ X − 155.2
float , 5
(3)
W tym miejscu i poniżej W(x) będzie obliczane ze wzoru (3).
Sprawdzenie wartości W(X) w węzłach interpolacji
W ( 1) = 9.994
W ( 2) = 23.983
W ( 3) = 71.972
W ( 4) = 239.963
W ( 8) = 360.067
3/4
2014-12-13 21:04