Rok aka 2015/2016 Typ kale dwusemestralny Semestr Letni Kod

Transkrypt

Rok aka 2015/2016 Typ kale dwusemestralny Semestr Letni Kod
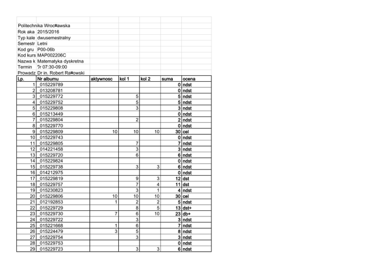
Politechnika Wrocᄈawska
Rok aka 2015/2016
Typ kale dwusemestralny
Semestr Letni
Kod gru P00-06b
Kod kurs MAP002206C
Nazwa k Matematyka dyskretna
Termin ワr 07:30-09:00
Prowadz Dr in. Robert Raᄈowski
Lp.
Nr albumu
1 _015229789
2 _013208781
3 _015229772
4 _015229752
5 _015229808
6 _015213449
7 _015229804
8 _015229770
9 _015229809
10 _015229743
11 _015229805
12 _014221458
13 _015229720
14 _015229824
15 _015229738
16 _014212975
17 _015229819
18 _015229757
19 _015230823
20 _015229806
21 _012192853
22 _015229729
23 _015229730
24 _015229722
25 _015221668
26 _015224479
27 _015229754
28 _015229753
29 _015229723
aktywnosc
kol 1
kol 2
suma
5
5
3
2
10
10
10
7
3
6
10
1
7
1
3
3
3
9
7
3
10
2
8
6
3
6
5
3
3
4
1
10
2
5
10
3
3
0
0
5
5
3
0
2
0
30
0
7
3
6
0
6
0
12
11
4
30
5
13
23
3
7
8
3
0
6
ocena
ndst
ndst
ndst
ndst
ndst
ndst
ndst
ndst
cel
ndst
ndst
ndst
ndst
ndst
ndst
ndst
dst
dst
ndst
cel
ndst
dst+
db+
ndst
ndst
ndst
ndst
ndst
ndst
30
31
32
33
34
_014221422
_015229735
_015229818
_015221649
_015229790
1
5
4
7
9
2
6
5
4
1
7
13
19
0
5
ndst
dst+
db
ndst
ndst
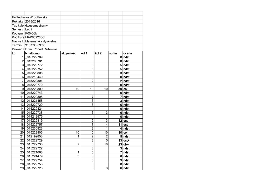
Politechnika Wrocᄈawska
Rok 2015/2016
Typ dwusemestralny
Sem Letni
Kod P00-06c
Kod MAP002206C
Naz Matematyka dyskretna
Ter ワr 13:15-15:00
Pro Dr in. Robert Raᄈowski
Lp. Nr albumu
aktywnosc
kol 1
1 _015229779
2 _015229813
1
3 _015229760
4 _015194616
5 _015229750
6 _015229792
7 _015229827
8 _015229777
9 _015229741
10 _015229786
11 _015229744
12 _015229778
13 _015229731
1
14 _015229802
1
15 _015229740
16 _015229791
5
17 _015229807
18 _015229803
1
19 _015229765
20 _015229764
21 _015229800
22 _015229793
10
23 _014221513
24 _013196865
25 _015229782
4
26 _014221472
27 _015229794
1
28 _015211156
kol 2
suma
3
8
8
3
0
5
6
6
8
10
10
8
6
10
6
10
3
5
8
3
8
4
4
7
10
4
9
3
4
6
5
3
1
13
14
3
0
0
6
0
8
13
15
1
9
6
23
9
19
4
4
11
29
0
0
11
0
12
0
ocena
ndst
ndst
dst+
dst+
ndst
ndst
ndst
ndst
ndst
ndst
dst+
dst+
ndst
ndst
ndst
db+
ndst
db
ndst
ndst
dst
cel
ndst
ndst
dst
ndst
dst
ndst
29
30
31
32
33
34
_015229788
_015229774
_014221514
_015229727
_015231362
_015229810
3
10
4
4
4
3
6
3
16
0
8
4
3
ndst
dst+
ndst
ndst
ndst
ndst