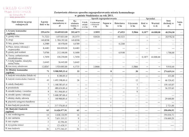
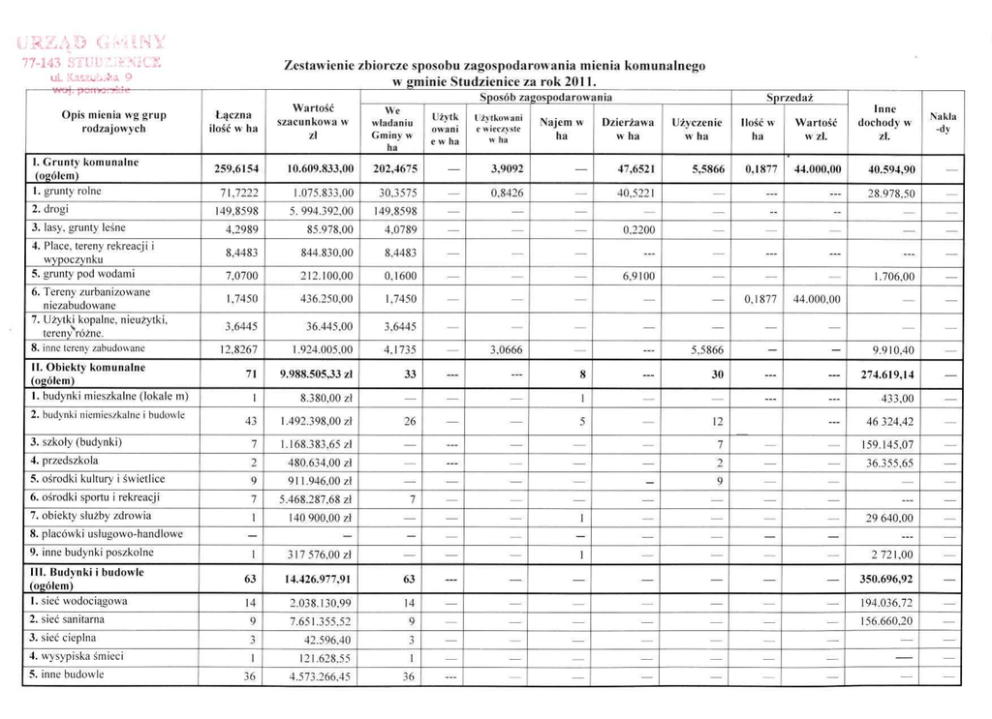
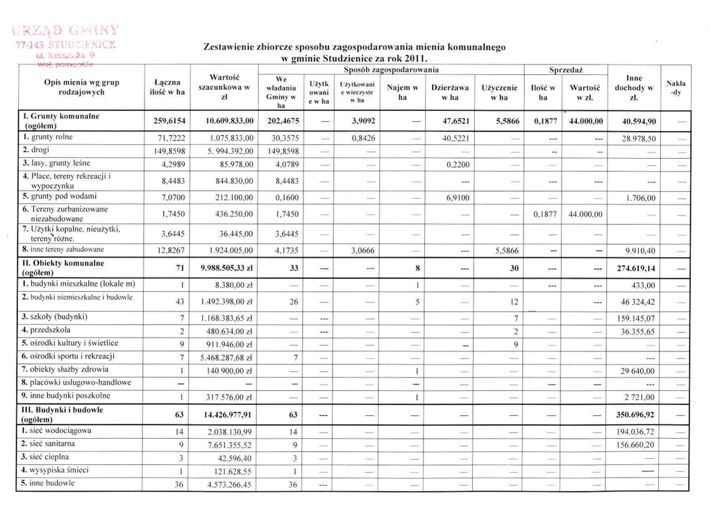
Zestawienie zbiorcze sposobu

Transkrypt

Zestawienie zbiorcze sposobu
Studzienice, dnia 19.03.2012r.
C Z E Ś Ć OPISOWA DO INFORMACJI
O STANIE MIENIA K O M U N A L N E G O
I. Grupa - Grunty Komunalne.
W pkt. 1 wyszczególniono wszystkie grunty rolne o pow. 71,72 ha, z których wydzierżawiono
40,52 ha osobom fizycznym i innym jednostkom prawnym. Z tego powierzchnia 0,84 ha jest
w użytkowaniu wieczystym. W roku 2011 w tej grupie gruntów powierzania uległa zwiększeniu,
ponieważ w ciągu roku gmina nabyła grunty o pow. 0,0364 ha w Półcznie od osoby fizycznej
sklasyfikowane jako grunty orne, ale z przeznaczeniem na poszerzenie drogi gminnej. Wpływy
z czynszu dzierżawnego łącznie za rok 2011 wyniosły 28.978,50 (w tym od osób fizycznych
7.378,50,- zł. i 21.600,- zł od innych jednostek). Zbliżone wpływy przewiduje się też w roku 2012.
Wydatków w tej pozycji nie planuje się.
W pkt. 2 występują drogi gminne o pow. 149,85 ha. Powierzchnia dróg w porównaniu do roku
ubiegłego zmieniła się wskutek przejęcia nieodpłatnego od Agencji Nieruchomości Rolnych OT
w Gdańsku, gruntów o powierzchni 0,07 ha stanowiących drogę w Sominach. Przejęto także grunty
przeznaczone na poszerzenie drogi gminnej od osoby fizycznej w Kłącznie. na podstawie decyzji
podziałowej, lecz w ewidencji gruntów tereny te wykazane są jeszcze jako grunty orne. W tej
grupie gruntów planowano dochody na kwotę 3.300,- zł z opłat za zajęcie pasa drogowego oraz
inne opłaty. Uzyskano dochód w kwocie 3.339,- zł. Zaś zaplanowane wydatki w kwocie 200.000,zł. na rok 2011 przeznaczone były przede wszystkim na wykonanie remontów i bieżące utrzymanie
dróg gminnych, mostów i przepustów oraz zakup materiałów. Wykonanie wydatków zostało
zrealizowane na kwotę 176.818,- zł. W projekcie budżetu na 2012 rok zaplanowano wydatki na
kwotę 220.000,- zł. Wydatki te planowane są na remonty, bieżące utrzymanie oraz modernizację
dróg gminnych oraz budowę chodników.
W pkt. 3 tego działu występują lasy gminne o pow. 4,30 ha. W roku 2010 zostały dokonane
opracowania inwentaryzacji stanu lasów gminnych, zgodnie z wymaganiami wynikającymi z art. 79
ust. 1 pkt.2 ustawy z dnia 28 września 1991 r. o lasach. Nie odnotowano dochodów i wydatków w tej
pozycji w roku 2011. Powierzchnia gruntów leśnych gminy w porównaniu do roku ubiegłego uległa
niewielkiej zmianie, ponieważ przyjęto stan gruntów występujący w ewidencji gruntów Starostwa
Powiatowego.
W pkt. 4 wyszczególniono place i tereny rekreacji o pow. 8,44 ha. Z tej powierzchni wszystkie te
grunty są we władaniu Gminy. W roku 2011 wydatkowano kwotę 30.926,- zł na wykonanie
zagospodarowania terenów przy jeziorach w Skwierawach i Półcznie. Wydano też kwotę 154.423,zł. na budowę małej architektury nad jeziorem Studzieniczno. W roku 2012 zaplanowano wydatki
na kwotę 20.000,-zł na wytyczenie szlaków i ścieżek rowerowych .
W pkt. 5 wyszczególniono wody o pow. 7,07 ha, w których występują dwa jeziora gminne.
Wydzierżawiono grunty pod wodami o pow. 6,91 ha. Wpływy z czynszów z dzierżawy w roku
2011 wyniosły 1.706,- zł. Nakładów w tej pozycji na rok 2012 nie planuje się.
W pkt. 6 wykazano tereny zurbanizowane niezabudowane o pow. 1,74 ha, które stanowią działki
budowlane i grunty gminne będące w zasobie, przygotowane pod działki. Z terenów tych 1,74 ha
jest we władaniu gminy. W roku 2011 z tej grupy gruntów sprzedano w trybie przetargowym
1 działkę budowlaną o pow. 0,1877 ha w Rabacinie, za którą uzyskano łącznie kwotę netto 44.000,zł. Poniesione wydatki w 2011 roku w kwocie 42.681,- zł. przeznaczone były przede wszystkim na
grunty budowlane i gospodarkę gminnymi nieruchomościami ( podziały geodezyjne, wyceny
nieruchomości, mapy) oraz bieżące potrzeby z zakresu usług geodezyjnych.
W pkt. 7 występują użytki kopalne, nieużytki oraz tereny różne o pow. 3,64 ha. które zostały
skomunalizowane i przejęte przez gminę. Nie planowano się w tej pozycji żadnych wpływów
i dochodów.
-2W pkt. 8 wyszczególniono wszystkie inne
grunty gminne i tereny zabudowane, o pow.
12,82 ha, z których: 5,58 ha przekazanych jest w użyczenie dla OSP, Ośrodka Kultury i Zespołu
Szkół, 3,06 ha jest w użytkowaniu wieczystym Spółki Akcyjnej „PREFABET", Spółki cywilnej
„STU-DAM" i osób fizycznych. Wpływy z tego tytułu w roku 2011 wyniosły 9.910,- zł. W 2012
roku dochody planowane z wnoszonych opłat za wymienione użytkowanie wieczyste przewiduje
się, że będą na poziomie roku 2011. Nie planuje się wydatków w tej pozycji.
II. Grupa - Obiekty Komunalne.
W pkt. 1 występuje 1 budynek w Rabacinie wykorzystywany na cele mieszkalne. W roku 2011
z tej grupy obiektów nie dokonywano zbycia nieruchomości gminnych. Wpływy z czynszu w tym
roku wyniosły 433,- zł. Innych budynków mieszkalnych w tej grupie gmina nie posiada.
W pkt. 2 wykazano 43 obiekty tj. budynki i lokale użytkowe niemieszkalne, z których
5 szt. to Remizy Strażackie i 1 lokal użytkowy w użyczeniu OSP, 1 budynek biurowy UG,
8 budynków stanowią hydrofornie i stacja uzdatniania wody w Sominach, 2 budynki garażowoadministracyjne przejęte od SUR, 2 przystanki PKS, 9 wiat przystankowych, 2 lokale komunalne
i 1 lokal użytkowy przekazany w najem dla Telekomunikacji. Pozostałe 12 to budynki gospodarcze.
Z tego 26 obiektów, (budynków) jest w bezpośrednim władaniu gminy. Natomiast
7 budynków, 3 lokale oraz 2 garaże są przekazane w użyczenie dla OSP, GOK, Zespołu Szkół,
a 5 to budynki wynajmowane przez mieszkańców. Wpływy za najem i użyczenie tych pomieszczeń
w roku 2010 wyniosły 46.324,- zł. Wydatki wykonane w tej pozycji w roku 2011 w kwocie
357.908-zł dotyczą remontu i bieżącego utrzymania hydroforni oraz remiz OSP, kosztów energii
usług kominiarskich, ubezpieczenia budynków. W przyszłym roku planuje się uzyskać zbliżone
dochody za wynajem tych pomieszczeń. Wydatki w roku 2012 to także bieżące utrzymanie
budynków (energia elektryczna, usługi kominiarskie, ubezpieczenia itp.)
W pkt. 3 występuje 7 budynków szkolnych w tym: 2 budynki Szkoły Podstawowej
w Studzienicach, 1 budynek Szkoły Podstawowej w Półcznie, 2 lokale użytkowe w budynku po
starej szkole w Półcznie. 1 łącznik szkoły podstawowej z salą gimnastyczną w Półcznie, 1 budynek
starej Szkoły w Sominach oraz 1 budynek Szkoły w Ugoszczy. Dochody uzyskane w roku 2011
w wysokości 159.145,- zł oraz planowane na rok 2012 to wpływy za, wynajem pomieszczeń, opłaty
za wyżywienie dzieci, opłaty czynszu pobrane za CO, wodę i ścieki itp. Najważniejsze wydatki
wykonane w roku 2011 przeznaczone były na: bieżące utrzymanie budynków, energię, opal, remont
pomieszczeń szkoły. Planowane wydatki na rok 2012 dotyczące Szkół Podstawowych
i Gimnazjum, związane będą przede wszystkim z funkcjonowaniem oraz bieżącym utrzymaniem
budynków i szkół.
W pkt. 4 wyszczególniono 2 budynki przedszkola w Studzienicach i Ugoszczy. Poniesione wydatki
w roku 2011 przeznaczone były na zakup opału, usługi kominiarskie, środki czystości i bieżące
utrzymanie. Planowane wpływy to przede wszystkim z tytułu wynajmu lokali mieszkalnych, opłaty
za przedszkole i wyżywienie dzieci, które w roku 2011 wyniosły 36.355,- zł.
W pkt. 5 występuje 9 budynków (Domy Kultury, świetlice, ośrodki kultury, skansen w Sominach).
które zostały przekazane w użyczenie dla Ośrodka Kultury Gminy Studzienice na planowaną
działalność. Dochodów z przekazania w użyczenie tych obiektów gmina nie planuje.
W pkt. 6 wyszczególniono wielofunkcyjny stadion sportowy w Studzienicach. W roku 2011
wydatki dotyczyły przede wszystkim zagospodarowania terenu stadionu bieżącego utrzymania
płyty boisk (nawożenia, koszenia i innych zabiegów agrotechnicznych oraz utrzymania murawy
boisk). Ponadto w 2011 roku wydatkowano kwotę 586.586,- zl. na zagospodarowanie terenu przy
boisku sportowym w Studzienicach Dochodów nic planowano. W tej grupie obiektów występuje
jeszcze boisko sportowe w Półcznie, sala gimnastyczna przy Szkole Podstawowej: w Studzienicach,
Półcznie i Ugoszczy. Boisko Orlik 2012" w Studzienicach i oddane w 2010 roku Boisko „Orlik
2012" w Ugoszczy. Na rok 2012 planuje się wydatkować środki na bieżące utrzymanie w/w
obiektów na poziomie roku poprzedniego.
-3W pkt 7 wykazano 1 obiekt Ośrodka Zdrowia w, Studzienicach, który Gmina Studzienice w roku
2001 przejęła od Starostwa Powiatowego w Bytowie. Dochód z tytułu dzierżawy lokali użytkowych
w tym budynku wyniósł w 2011 roku 29.640,- zł. Wydatki w 2011 roku planowano, że wyniosą
8.000.- zł. w tym: na wyposażenie pomieszczeń, bieżące utrzymanie, ubezpieczenie budynku itp.
Do końca 2011 roku wydano z lej kwoty 3.433,- zł. Na rok 2012 planuje się wydatkować kwotę
11.000,- zł. na bieżące utrzymanie budynku oraz kwotę 995.000,-zł. na rozbudowę Ośrodka
Zdrowia w Studzienicach.
W pkt. 8 nie występują tego typu budynki.
W pkt. 9 wyszczególniono 1 budynek po byłej szkole w Kłącznie. Budynek ten jest
wykorzystywany i wynajmowany na lokale mieszkalne. Wpływy z tego tytułu w roku 2011
wyniosły 2.721,- zł.
III. Grupa - Budowle.
W pkt. 1 występuje 14 sieci wodociągowych zlokalizowanych na terenie całej gminy o łącznej
długości 49,026 km. Sieć ta w całości jest we władaniu Gminy. Dochody za zużycie wody w roku
2011 wyniosły 194.036,- zł.
W pkt. 2 występuje sieć sanitarna w 9 wsiach, o łącznej długości 48,95 km. Dotychczasowe
dochody uzyskane dotyczą opłat za zrzuty ścieków odprowadzane do oczyszczalni i w roku 2011
wyniosły 156.660,- zł. W roku 2012 planuje się uzyskać dochody w zbliżonej kwocie. Wydatki
w roku 2011 w kwocie 657.239,-zł. przeznaczone były na rozbudowę sieci sanitarnej na odcinku do
Rabacina i przyłączy. W roku 2012 planuje się wydatkować kwotę 500.000,- zł. na uporządkowanie
gospodarki wodno-ściekowej w Kłącznie i 50.000,- zł. na wykonanie dokumentacji dla
oczyszczalni ścieków w Sominach
W pkt. 3 wyszczególniono sieć cieplną o długości 194 mb występującą w Studzienicach przy
budynku UG. w Pólcznic przy budynku szkoły oraz w Ugoszczy przy WDK.
W pkt. 4 wyszczególniono 1 nieczynne wysypisko śmieci tj. w Osławię Dąbrowie. W 2011 roku
nie planowano wydatków na ten cel.
W pkt. 5 wykazano 36 obiektów budowlanych tj. 1 pomost kąpieliskowy w Kłącznie, 1 stację
bazową radiotelefonu w Studzienicach przy UG. rurociąg O 30 w Sominach, 1 dół gnilny przy
budynku UG. 1 dół gnilny (szambo) przy budynku szkoły w Ugoszczy, 1 oświetlenie terenu po
ZUM w Studzienicach, ogrodzenie oczyszczalni ścieków w Ugoszczy, ogrodzenie
60m oczyszczalni ścieków w Ugoszczy, oczyszczalnię ścieków w Ugoszczy, Draimad odwodnienie osadu w Ugoszczy. 3 przepompownie ścieków w Studzienicach, 2 w Przewozie,
1 w Ugoszczy i w Kłącznie oraz 5 w Osławię Dąbrowie, ujęcie wód gruntowych - studnia wiercona
w Kłącznie, segment pomostu kąpieliskowego, segment budowlany sanitarny, ogrodzenie stacji
uzdatniania wody w Przewozie, ogrodzenie hydroforni Kłączno, ogrodzenie hydroforni Sominy,
plac zabaw w Kłącznie, trakty piesze w Studzienicach, kompleksy rekreacyjne w Studzienicach,
Osławię Dąbrowie, Półcznie, Rabacinie, urządzenia terenu rekreacyjnego Przewóz (pjac zabaw),
tereny rekreacyjne nad jeziorem w Półcznie i Skwierawach, mała architektura nad jeziorem
w Studzienicach, zagospodarowanie terenu przy zespole szkól w Ugoszczy. Planowane wydatki
w kwocie 7.687,- zł. poniesione w roku 2011 przeznaczone były przede wszystkim to drobne
remonty kąpielisk gminnych. Na 2012 rok w budżecie gminy zaplanowano także środki na
konserwację, remonty i bieżące utrzymanie w/w obiektów oraz kwotę 30.000,- zł. na zakup
pomostu kąpieliskowego dla wsi Sominy.
mgr