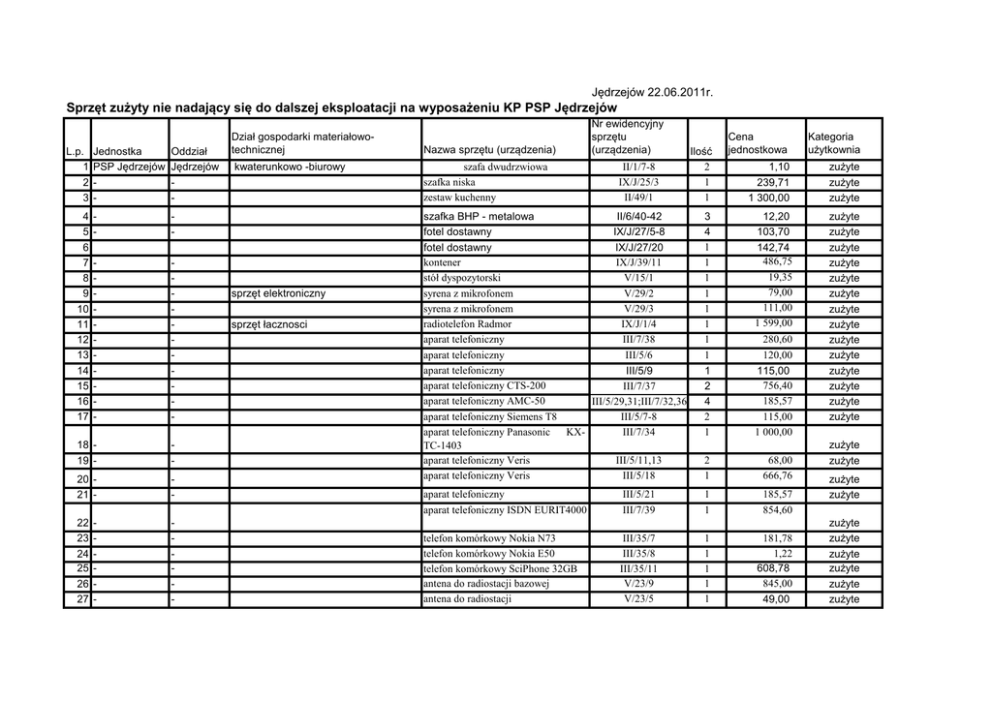
Sprzęt zużyty nie nadający się do dalszej eksploatacji na

Transkrypt

Sprzęt zużyty nie nadający się do dalszej eksploatacji na
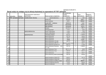
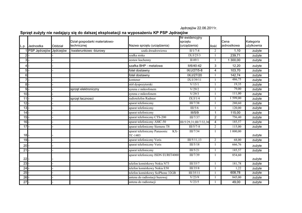
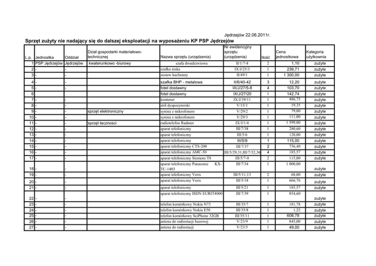
Jędrzejów 22.06.2011r.
Sprzęt zużyty nie nadający się do dalszej eksploatacji na wyposażeniu KP PSP Jędrzejów
L.p.
1
2
3
Jednostka
PSP Jędrzejów
-
Oddział
Jędrzejów
-
-
-
-
-
18 19 -
-
20 21 -
-
22
23
24
25
26
27
-
4
5
6
7
8
9
10
11
12
13
14
15
16
17
-
Dział gospodarki materiałowotechnicznej
kwaterunkowo -biurowy
sprzęt elektroniczny
sprzęt łacznosci
Nazwa sprzętu (urządzenia)
szafa dwudrzwiowa
szafka niska
zestaw kuchenny
Nr ewidencyjny
sprzętu
(urządzenia)
II/1/7-8
IX/J/25/3
II/49/1
Ilość
2
1
1
Cena
jednostkowa
Kategoria
użytkownia
1,10
239,71
1 300,00
zużyte
zużyte
zużyte
12,20
103,70
142,74
486,75
19,35
79,00
111,00
1 599,00
zużyte
zużyte
zużyte
zużyte
zużyte
zużyte
zużyte
zużyte
zużyte
zużyte
zużyte
zużyte
zużyte
zużyte
szafka BHP - metalowa
II/6/40-42
fotel dostawny
IX/J/27/5-8
fotel dostawny
IX/J/27/20
kontener
IX/J/39/11
stół dyspozytorski
V/15/1
syrena z mikrofonem
V/29/2
syrena z mikrofonem
V/29/3
radiotelefon Radmor
IX/J/1/4
aparat telefoniczny
III/7/38
aparat telefoniczny
III/5/6
aparat telefoniczny
III/5/9
aparat telefoniczny CTS-200
III/7/37
aparat telefoniczny AMC-50
III/5/29,31;III/7/32,36
aparat telefoniczny Siemens T8
III/5/7-8
aparat telefoniczny Panasonic
KXIII/7/34
TC-1403
aparat telefoniczny Veris
III/5/11,13
aparat telefoniczny Veris
III/5/18
3
4
1
1
1
1
1
1
1
1
1
2
4
2
1
280,60
120,00
115,00
756,40
185,57
115,00
1 000,00
2
1
68,00
666,76
aparat telefoniczny
aparat telefoniczny ISDN EURIT4000
III/5/21
III/7/39
1
1
185,57
854,60
telefon komórkowy Nokia N73
telefon komórkowy Nokia E50
telefon komórkowy SciPhone 32GB
antena do radiostacji bazowej
antena do radiostacji
III/35/7
III/35/8
III/35/11
V/23/9
V/23/5
1
1
1
1
1
181,78
1,22
608,78
845,00
49,00
zużyte
zużyte
zużyte
zużyte
zużyte
zużyte
zużyte
zużyte
zużyte
zużyte
28 -
29
30
31
32
33
34
35
36
37
38
39
40
41
42
43
44
45
46
47
48
49
50
-
51 52 53 54 55
56
57
58
59
-
sprzęt informtyczny
zasilacz impulsywny do Alinco
drukarka HP 3650
kwaterunkowo -biurowy
Urządzenie wielofunkcyjne
szafka aktowo-ubraniowa
wyposażenie kotłowni
sprzęt i armatura wodna
kwaterunkowy
wyposażenie warsztatu
sprzęt informtyczny
sprzęt specjalny
sprzęt transportowy
sprzęt łacznosci
kwaterunkowy
szafka ze skarbczykiem
Ławka gimnastyczna
fotel skórzany
fotel OLA
półka
kocioł CO KW-GR-80
wąż tłoczny W-52
wąż tłoczny W-75
wąż tłoczny W-75
odkurzacz
latarka Survivor z ładowarką
zasłony
kasa pancerna
tablica dydaktyczna
telewizor
kombinezon na szerszenie
wiertarka elektryczna
zestaw komputerowy
zestaw komputerowy
pilarka spalinowa Dolpima
PST-180
samochód Star 29
samochód Ford Focus 1,8
samochód Śkoda Octawia 2,0
Ambiente
łódź pontonowa - Bosman
łódź desantowa
centrala telefoniczna CMT 11
rękawiczki białe
getry piłkarskie
58,00
V/23/4
II/29/8
III/46/2
II/2/59
II/2/61
I/47/1
II/45/16
II/45/21
II/4/3
III/38/1
VI/7/88-97
VI/20/8-14
VI/20/15-18
III/16/4
V/47/1
III/6/17-18
II/19/2
II/11/1
VII/3/1
II/38/6
I/10/3
4.49.491-4-15
4.49.491-3-6
1
1
1
1
1
1
1
1
1
1
10
7
4
1
1
2
1
1
1
1
1
1
1
114,38
218,38
530,00
15,00
3 450,00
113,70
198,00
0,63
1 683,60
623,00
0,34
0,15
115,02
1 060,00
428,00
981,61
2 995,99
6 419,16
zużyte
zużyte
zużyte
zużyte
zużyte
zużyte
zużyte
zużyte
zużyte
zużyte
zużyte
zużyte
zużyte
zużyte
zużyte
zużyte
zużyte
zużyte
zużyte
zużyte
zużyte
zużyte
zużyte
4.40.403-2-1
7.74.742-10-1
7.74.742-10-6
1
1
1
1 100,00
19 059,14
56 717,80
zużyte
zbędne
zbędne
7.74.742-10-7
7.77.778-9-1
1
1
1
1
3
15
59 999,60
4 235,00
6 860,22
6 332,16
20,00
14,00
zbędne
zużyte
zużyte
zużyte
zużyte
zużyte
7.77.778-9-2
6.62.626-5-2
kar.ind.wyp.2/1
kar.ind.wyp.2/2
349,00
2 640,59
488,61
2 819,42
60
61
62
63
64
65
66
67
68
69
70
71
72
73
74
75
wyposażenie warsztatu
kwaterunkowy
76
77
78
79
80
81
82
83
84
85
rękawice bramkarskie
tester CA2000ALCA P/2P
alkomat DA5000
zestaw kluczy nasadowych
klucz szczypce
klucze płasko-oczkowe
zestaw wkrętaków do pobijania
klucze imbusowe
lutownica
zegar kominkowy
prubnik do badania elektrolitu
komplet kluczy nasadowych
widelec
łyżeczka
tależyk deserowy
choinka + 2 stroiki
spis miejscowości w Polsce na
CD
półmisek dzielony
aparat fotograficzny
komplet klucz nasadowych
i
płaskich
pompa ręczna
choinka 2,2 m
lampki kule duże
piłka nożna
piłka nożna
pawilon ogrodowy
www.kppspjedrzejow.eu
kar.ind.wyp.2/3
kar.ind.wyp.2/4
kar.ind.wyp.2/6
kar.ind.wyp.3/3
kar.ind.wyp.3/5
kar.ind.wyp.3/7
kar.ind.wyp.3/8
kar.ind.wyp.3/9
kar.ind.wyp.3/10
kar.ind.wyp.3/16
kar.ind.wyp.3/17
kar.ind.wyp.3/18
kar.ind.wyp.4/1
kar.ind.wyp.4/2
kar.ind.wyp.4/3
kar.ind.wyp.4/5
1
1
1
1
1
kpl
kpl
kpl
1
1
1
1
kpl
kpl
kpl
1
75,00
456,00
262,30
670,00
165,00
174,00
140,00
54,00
60,39
180,00
48,80
71,00
56,91
40,44
89,85
172,51
zużyte
zużyte
zużyte
zużyte
zużyte
zużyte
zużyte
zużyte
zużyte
zużyte
zużyte
zużyte
zużyte
zużyte
zużyte
zużyte
kar.ind.wyp.4/8
kar.ind.wyp.4/12
kar.ind.wyp.7/2
1
1
1
50,00
14,50
142,01
zużyte
zużyte
zużyte
kar.ind.wyp.7/4
kar.ind.wyp.7/7
kar.ind.wyp.7/8
kar.ind.wyp.7/10
kar.ind.wyp.7/11
kar.ind.wyp.7/11
kar.ind.wyp.11/3
1
1
1
1
1
1
2
325,00
88,32
244,00
320,00
72,00
69,00
59,95
zużyte
zużyte
zużyte
zużyte
zużyte
zużyte
zużyte