PARAMETRY TECHNICZNE PRZEDMIOTU ZAMÓWIENIA Korpus

Transkrypt

PARAMETRY TECHNICZNE PRZEDMIOTU ZAMÓWIENIA Korpus
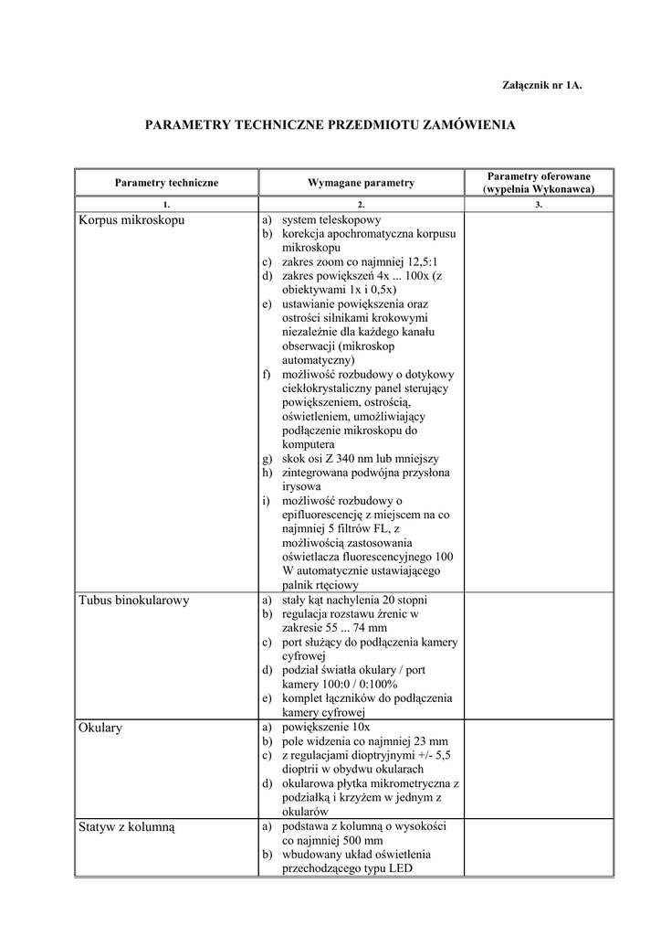
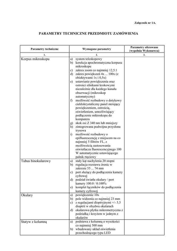
Załącznik nr 1A.
PARAMETRY TECHNICZNE PRZEDMIOTU ZAMÓWIENIA
Parametry techniczne
Wymagane parametry
Parametry oferowane
(wypełnia Wykonawca)
1.
2.
3.
Korpus mikroskopu
Tubus binokularowy
Okulary
Statyw z kolumną
a) system teleskopowy
b) korekcja apochromatyczna korpusu
mikroskopu
c) zakres zoom co najmniej 12,5:1
d) zakres powiększeń 4x ... 100x (z
obiektywami 1x i 0,5x)
e) ustawianie powiększenia oraz
ostrości silnikami krokowymi
niezaleŜnie dla kaŜdego kanału
obserwacji (mikroskop
automatyczny)
f) moŜliwość rozbudowy o dotykowy
ciekłokrystaliczny panel sterujący
powiększeniem, ostrością,
oświetleniem, umoŜliwiający
podłączenie mikroskopu do
komputera
g) skok osi Z 340 nm lub mniejszy
h) zintegrowana podwójna przysłona
irysowa
i) moŜliwość rozbudowy o
epifluorescencję z miejscem na co
najmniej 5 filtrów FL, z
moŜliwością zastosowania
oświetlacza fluorescencyjnego 100
W automatycznie ustawiającego
palnik rtęciowy
a) stały kąt nachylenia 20 stopni
b) regulacja rozstawu źrenic w
zakresie 55 ... 74 mm
c) port słuŜący do podłączenia kamery
cyfrowej
d) podział światła okulary / port
kamery 100:0 / 0:100%
e) komplet łączników do podłączenia
kamery cyfrowej
a) powiększenie 10x
b) pole widzenia co najmniej 23 mm
c) z regulacjami dioptryjnymi +/- 5,5
dioptrii w obydwu okularach
d) okularowa płytka mikrometryczna z
podziałką i krzyŜem w jednym z
okularów
a) podstawa z kolumną o wysokości
co najmniej 500 mm
b) wbudowany układ oświetlenia
przechodzącego typu LED
Oświetlacz światła odbitego
Obiektywy
Kamera cyfrowa
WyposaŜenie
Oprogramowanie
Ilość szt/ zest.
a) oświetlacz pierścieniowy z 48
diodami LED w dwóch szeregach
b) płynna regulacja natęŜenia,
sterowanie segmentowe
c) wbudowane polaryzator i analizator
a) planapochromat, powiększenie 1,0
x, odległość robocza 60 mm lub
większa, rozdzielczość 1,2 um lub
mniejsza
b) achromat, powiększenie 0,5x,
odległość robocza 134 mm lub
większa, rozdzielczość 2,4 um lub
mniejsza
a) Przetwornik: CCD 2/3”
b) Rozdzielczość: 2584 (H) x 1936
(V) = 5 Megapikseli lub większa
c) Digitalizacja: co najmniej 12 bitów
/ 12 MHz
d) Dynamika: minimum 1:1300
e) Czas integracji: od 0,1 ms do 60 s
lub dłuŜszy
f) System chłodzenia
g) Obraz na Ŝywo (Live):
h) Slow – 1296 x 968 (3 kl./sek)
i) Medium – 430 x 322 (11 kl./sek)
j) Fast – 258 x 193 (16 kl./sek)
k) Interfejsy: optyczny C-mount,
elektroniczny FireWire
a) pokrowiec antystatyczny
b) komplet narzędzi
a) oprogramowanie mikroskopowe
współpracujące z kamerą ,
b) do pomiaru, obróbki i analizy
obrazu,
c) licencja freeware, do instalacji na
dowolnej liczbie komputerów
1.
Oferowana firma, kraj, typ, model:
a) mikroskop
b) kamera cyfrowa
c) oprogramowanie do pomiaru, obróbki i analizy obrazu
mikroskopowego
Cena brutto:
a) mikroskop
b) kamera cyfrowa
c) oprogramowanie do pomiaru, obróbki i analizy obrazu
mikroskopowego
a)...................................
b)...................................
c)...................................
a)...................................
b)...................................
c)...................................
WARTOŚĆ BRUTTO ZESTAWU
………………………………………………………………
(podpis osoby/osób upowaŜnionej/upowaŜnionych
do składania oświadczeń woli w imieniu wykonawcy)