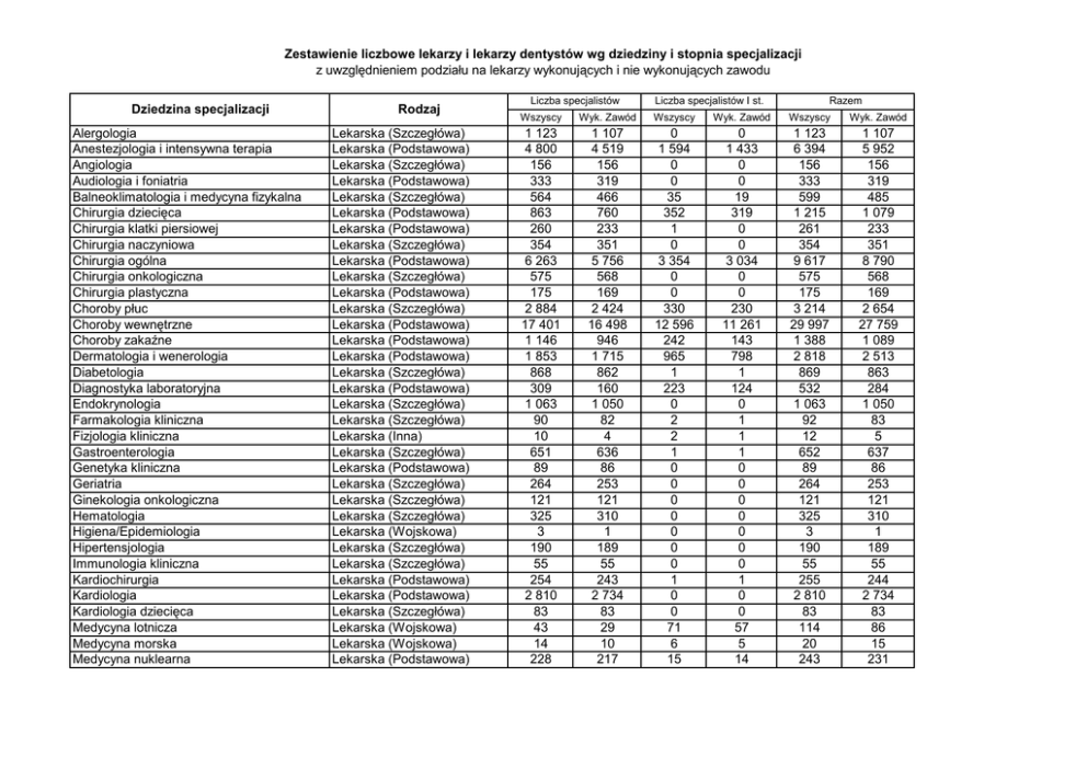
Zestawienie liczbowe lekarzy i lekarzy dentystów wg dziedziny i

Transkrypt

Zestawienie liczbowe lekarzy i lekarzy dentystów wg dziedziny i
Zestawienie liczbowe lekarzy i lekarzy dentystów wg dziedziny i stopnia specjalizacji
z uwzględnieniem podziału na lekarzy wykonujących i nie wykonujących zawodu
Dziedzina specjalizacji
Alergologia
Anestezjologia i intensywna terapia
Angiologia
Audiologia i foniatria
Balneoklimatologia i medycyna fizykalna
Chirurgia dziecięca
Chirurgia klatki piersiowej
Chirurgia naczyniowa
Chirurgia ogólna
Chirurgia onkologiczna
Chirurgia plastyczna
Choroby płuc
Choroby wewnętrzne
Choroby zakaźne
Dermatologia i wenerologia
Diabetologia
Diagnostyka laboratoryjna
Endokrynologia
Farmakologia kliniczna
Fizjologia kliniczna
Gastroenterologia
Genetyka kliniczna
Geriatria
Ginekologia onkologiczna
Hematologia
Higiena/Epidemiologia
Hipertensjologia
Immunologia kliniczna
Kardiochirurgia
Kardiologia
Kardiologia dziecięca
Medycyna lotnicza
Medycyna morska
Medycyna nuklearna
Rodzaj
Lekarska (Szczegłówa)
Lekarska (Podstawowa)
Lekarska (Szczegłówa)
Lekarska (Podstawowa)
Lekarska (Szczegłówa)
Lekarska (Podstawowa)
Lekarska (Podstawowa)
Lekarska (Szczegłówa)
Lekarska (Podstawowa)
Lekarska (Szczegłówa)
Lekarska (Podstawowa)
Lekarska (Szczegłówa)
Lekarska (Podstawowa)
Lekarska (Podstawowa)
Lekarska (Podstawowa)
Lekarska (Szczegłówa)
Lekarska (Podstawowa)
Lekarska (Szczegłówa)
Lekarska (Szczegłówa)
Lekarska (Inna)
Lekarska (Szczegłówa)
Lekarska (Podstawowa)
Lekarska (Szczegłówa)
Lekarska (Szczegłówa)
Lekarska (Szczegłówa)
Lekarska (Wojskowa)
Lekarska (Szczegłówa)
Lekarska (Szczegłówa)
Lekarska (Podstawowa)
Lekarska (Podstawowa)
Lekarska (Szczegłówa)
Lekarska (Wojskowa)
Lekarska (Wojskowa)
Lekarska (Podstawowa)
Liczba specjalistów
Liczba specjalistów I st.
Razem
Wszyscy
Wyk. Zawód
Wszyscy
Wyk. Zawód
Wszyscy
Wyk. Zawód
1 123
4 800
156
333
564
863
260
354
6 263
575
175
2 884
17 401
1 146
1 853
868
309
1 063
90
10
651
89
264
121
325
3
190
55
254
2 810
83
43
14
228
1 107
4 519
156
319
466
760
233
351
5 756
568
169
2 424
16 498
946
1 715
862
160
1 050
82
4
636
86
253
121
310
1
189
55
243
2 734
83
29
10
217
0
1 594
0
0
35
352
1
0
3 354
0
0
330
12 596
242
965
1
223
0
2
2
1
0
0
0
0
0
0
0
1
0
0
71
6
15
0
1 433
0
0
19
319
0
0
3 034
0
0
230
11 261
143
798
1
124
0
1
1
1
0
0
0
0
0
0
0
1
0
0
57
5
14
1 123
6 394
156
333
599
1 215
261
354
9 617
575
175
3 214
29 997
1 388
2 818
869
532
1 063
92
12
652
89
264
121
325
3
190
55
255
2 810
83
114
20
243
1 107
5 952
156
319
485
1 079
233
351
8 790
568
169
2 654
27 759
1 089
2 513
863
284
1 050
83
5
637
86
253
121
310
1
189
55
244
2 734
83
86
15
231
Zestawienie liczbowe lekarzy i lekarzy dentystów wg dziedziny i stopnia specjalizacji
z uwzględnieniem podziału na lekarzy wykonujących i nie wykonujących zawodu
Medycyna paliatywna
Medycyna pracy
Medycyna ratunkowa
Medycyna rodzinna
Medycyna sądowa
Medycyna sportowa (cywilna)
Medycyna sportowa (wojskowa)
Medycyna transportu
Mikrobiologia lekarska
Nefrologia
Neonatologia
Neurochirurgia
Neurologia
Neurologia dziecięca
Neuropatologia
Ochrona radiologiczna
Okulistyka
Onkologia i hematologia dziecięca
Onkologia kliniczna
Ortopedia i traumatologia narządu ruchu
Otorynolaryngologia
Otorynolaryngologia dziecięca
Patomorfologia
Pediatria
PołoŜnictwo i ginekologia
Psychiatria
Psychiatria dzieci i młodzieŜy
Radiologia i diagnostyka obrazowa
Radioterapia onkologiczna
Rehabilitacja medyczna
Reumatologia
Seksuologia
Toksykologia
Toksykologia kliniczna
Transfuzjologia kliniczna
Transplantologia kliniczna
Lekarska (Szczegłówa)
Lekarska (Podstawowa)
Lekarska (Podstawowa)
Lekarska (Podstawowa)
Lekarska (Podstawowa)
Lekarska (Szczegłówa)
Lekarska (Wojskowa)
Lekarska (Podstawowa)
Lekarska (Podstawowa)
Lekarska (Szczegłówa)
Lekarska (Podstawowa)
Lekarska (Podstawowa)
Lekarska (Podstawowa)
Lekarska (Szczegłówa)
Lekarska (Szczegłówa)
Lekarska (Wojskowa)
Lekarska (Podstawowa)
Lekarska (Szczegłówa)
Lekarska (Podstawowa)
Lekarska (Podstawowa)
Lekarska (Podstawowa)
Lekarska (Szczegłówa)
Lekarska (Podstawowa)
Lekarska (Podstawowa)
Lekarska (Podstawowa)
Lekarska (Podstawowa)
Lekarska (Podstawowa)
Lekarska (Podstawowa)
Lekarska (Podstawowa)
Lekarska (Podstawowa)
Lekarska (Szczegłówa)
Lekarska (Szczegłówa)
Lekarska (Wojskowa)
Lekarska (Szczegłówa)
Lekarska (Podstawowa)
Lekarska (Szczegłówa)
233
1 895
712
10 069
131
257
13
169
110
840
1 327
499
3 050
412
30
0
3 400
141
551
2 859
2 288
166
570
7 641
6 442
3 170
273
2 547
545
1 524
1 703
161
2
88
196
267
232
1 613
709
9 806
115
232
6
153
74
832
1 281
472
2 887
387
26
0
3 138
140
537
2 742
2 070
146
516
6 513
5 911
2 990
236
2 275
491
1 427
1 537
155
0
83
160
267
0
2 289
0
475
67
0
2
7
51
1
1
40
1 152
1
0
2
1 276
0
0
634
1 489
0
275
9 260
1 869
806
45
814
193
296
0
0
0
2
42
0
0
1 841
0
404
57
0
2
6
38
1
1
37
991
1
0
0
1 114
0
0
580
1 307
0
232
8 107
1 590
668
45
639
176
235
0
0
0
2
37
0
233
4 184
712
10 544
198
257
15
176
161
841
1 328
539
4 202
413
30
2
4 676
141
551
3 493
3 777
166
845
16 901
8 311
3 976
318
3 361
738
1 820
1 703
161
2
90
238
267
232
3 454
709
10 210
172
232
8
159
112
833
1 282
509
3 878
388
26
0
4 252
140
537
3 322
3 377
146
748
14 620
7 501
3 658
281
2 914
667
1 662
1 537
155
0
85
197
267
Zestawienie liczbowe lekarzy i lekarzy dentystów wg dziedziny i stopnia specjalizacji
z uwzględnieniem podziału na lekarzy wykonujących i nie wykonujących zawodu
Urologia
Urologia dziecięca
Chirurgia stomatologiczna
Ortodoncja
Periodontologia
Protetyka stomatologiczna
Stomatologia dziecięca
Stomatologia zachowawcza z endodoncją
Epidemiologia
Higiena i epidemiologia
Oświata zdrowotna
Pedagogika medyczna
Zdrowie publiczne
Chirurgia szczękowo-twarzowa
Chirurgia szczękowo-twarzowa
Chirurgia szczękowo-twarzowa
RAZEM
Lekarska (Podstawowa)
Lekarska (Szczegłówa)
Dentystyczna (Podstawowa)
Dentystyczna (Podstawowa)
Dentystyczna (Podstawowa)
Dentystyczna (Podstawowa)
Dentystyczna (Podstawowa)
Dentystyczna (Podstawowa)
Lek. i Dent. (Podstawowa)
Lek. i Dent. (Inna)
Lek. i Dent. (Inna)
Lek. i Dent. (Inna)
Lek. i Dent. (Podstawowa)
Lekarska (Podstawowa)
Dentystyczna (Podstawowa)
Lek. I Dent. Podwójne prawo
1 219
39
912
1 223
428
1 691
759
2 547
295
148
7
1
1 961
36
246
80
112 093
1 157
39
771
1 097
401
1 413
459
1 545
217
83
3
0
1 492
29
220
70
102 267
1
0
1 115
0
1
0
578
12 644
39
277
0
0
1 320
0
0
0
56 855
1
0
1 041
0
1
0
277
10 746
8
176
0
0
943
0
0
0
48 746
1 220
39
2 027
1 223
429
1 691
1 337
15 191
334
425
7
1
3 281
36
246
80
168 948
1 158
39
1 812
1 097
402
1 413
736
12 291
225
259
3
0
2 435
29
220
70
151 013