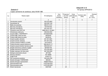
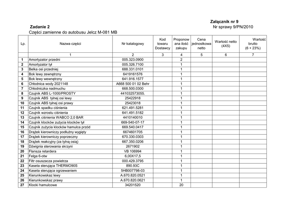
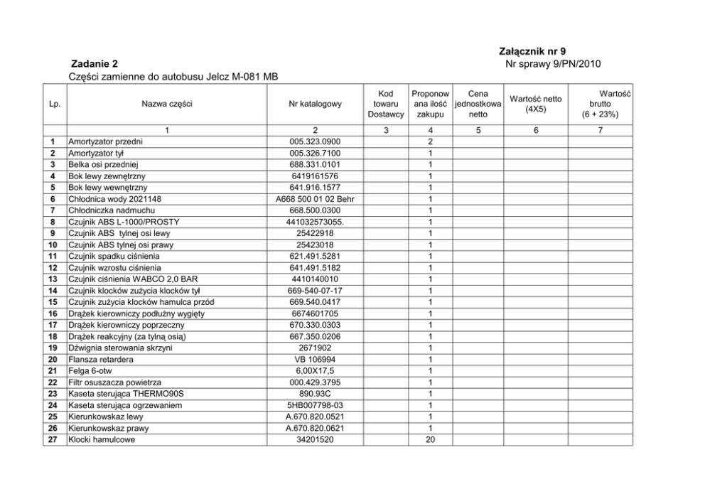
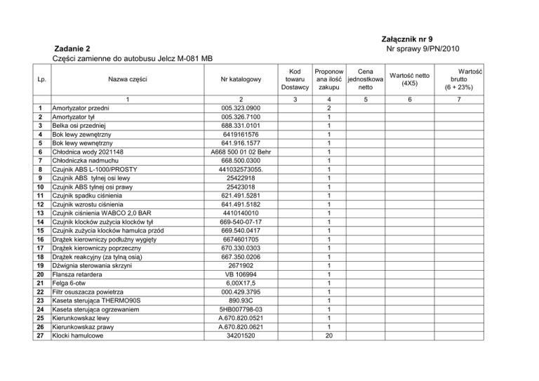
Załącznik nr 9 Zadanie 2 Nr sprawy 9/PN/2010 Części zamienne do

Transkrypt

Załącznik nr 9 Zadanie 2 Nr sprawy 9/PN/2010 Części zamienne do
Załącznik nr 9
Nr sprawy 9/PN/2010
Zadanie 2
Części zamienne do autobusu Jelcz M-081 MB
Lp.
1
2
3
4
5
6
7
8
9
10
11
12
13
14
15
16
17
18
19
20
21
22
23
24
25
26
27
Nazwa części
Nr katalogowy
1
2
005.323.0900
005.326.7100
688.331.0101
6419161576
641.916.1577
A668 500 01 02 Behr
668.500.0300
441032573055.
25422918
25423018
621.491.5281
641.491.5182
4410140010
669-540-07-17
669.540.0417
6674601705
670.330.0303
667.350.0206
2671902
VB 106994
6,00X17,5
000.429.3795
890.93C
5HB007798-03
A.670.820.0521
A.670.820.0621
34201520
Amortyzator przedni
Amortyzator tył
Belka osi przedniej
Bok lewy zewnętrzny
Bok lewy wewnętrzny
Chłodnica wody 2021148
Chłodniczka nadmuchu
Czujnik ABS L-1000/PROSTY
Czujnik ABS tylnej osi lewy
Czujnik ABS tylnej osi prawy
Czujnik spadku ciśnienia
Czujnik wzrostu ciśnienia
Czujnik ciśnienia WABCO 2,0 BAR
Czujnik klocków zużycia klocków tył
Czujnik zużycia klocków hamulca przód
Drążek kierowniczy podłużny wygięty
Drążek kierowniczy poprzeczny
Drążek reakcyjny (za tylną osią)
Dźwignia sterowania skrzyni
Flansza retardera
Felga 6-otw
Filtr osuszacza powietrza
Kaseta sterująca THERMO90S
Kaseta sterująca ogrzewaniem
Kierunkowskaz lewy
Kierunkowskaz prawy
Klocki hamulcowe
Kod
Proponow
Cena
towaru
ana ilość jednostkowa
Dostawcy
zakupu
netto
3
4
2
1
1
1
1
1
1
1
1
1
1
1
1
1
1
1
1
1
1
1
1
1
1
1
1
1
20
5
Wartość netto
(4X5)
6
Wartość
brutto
(6 + 23%)
7
28
29
30
31
32
33
34
35
36
37
38
39
40
41
42
43
44
45
46
47
48
49
50
51
52
53
54
55
56
57
58
59
60
61
62
Klosz lampy kier.tylnej górna
Klosz reflektora VARIO MB 1855L (odblask boczny)
Kolanko wlewu oleju
Kolumna kierownicza DB OE
Końcówka drążka M28x1,5 P kierowniczego
Końcówka drążka M28x1,5 L kierowniczego
Korek chłodnicy z łańcuszkiem
Korek wlewu paliwa
Kpl. Naprawczy siłownika drzwi BODE
Kpl. Naprawczy zaworu poziomującego
Lampa cofania
Lampa hamowania „stop”
Lampa obrysowa pomarańczowa prost. Z diodą
Lampa obrysowa przednia
Lampa obrysowa tylna
Lampa odblaskowa czerw.prostokątna
Lampa oświetlenia tablicy rejestr.
Lampa oświetlenia wnętrza
Lampa pozycyjna tylna
Lampa przeciwmgielna
Lusterko sterowane elektr.
Lusterko elektr.
Łącznik elastyczny tłumika wydechu
Łącznik intercoller IVECO E-CAR
Łącznik intercooler DB 85x170 (przewód
turbosprężarki)
Łożysko
8715100 duże
Łożysko piasty przód 33111JR
Łożysko piasty przód 32306JR
Łożysko piasty koła tył
Łożysko wałka ataku
Łożysko wyciskowe sprzęgła hydrauliczne
Nagrzewnica przednia MO81 (na boki)
Nakrętka koła
Nakrętka piasty tył Vario
Napinacz pasków DB ATEGO-RVI
9EL139898005
670 826 0040
6685281282
6674600600
81953016060
81953010079
P000.501.4615
000-470-04-05
81965026092
472900
1021135.311053
1021135.311063
1021135411513.
1021135.411512 lub
1340133300
1021135.311055
1021135311060
1021135.311052
79005330
1021135.311048
1021135311058.
5318400859
102154494014
6684903219
9049090237
A6695280282
F-91916
9807502
19818305
139812305
81934200308
3182005231
A1/30/24V/60
74361018205
9703530026
9062002070
1
1
1
1
1
1
1
1
1
1
1
1
4
2
1
1
1
1
1
1
1
1
1
1
1
1
1
1
1
1
1
1
6
1
1
63
64
65
66
67
68
69
70
71
72
73
74
75
76
77
78
79
80
81
82
83
84
85
86
87
88
89
90
91
92
93
94
95
96
97
Mechanizm wspomagania sprzęgła
Membrana
Miech powietrza
Mikrowłącznik drzwi
Mikrowłącznik drzwi
Mikrowłącznik drzwi
Nakrętka wałka ataku
Ogranicznik zawieszenia kabiny
Oprawa podświetlenia odblasku
Oprawa żarówki odblasku kasety
Osłona gumowa lewarka
Osuszacz powietrza
Pasek 8PK 1420
Piasta koła tył
Piasta koła przednia
Pierścień uszczelniający 75X90X11,5 piasty
przedniej uszczelniający (wałka atakującego)
Pierścień
Pierścień uszczelniający 77x82x2,5 ( tylnej piasty)
Pióro wycieraczki L-800
Podkładka dystansowa piasty
Podkładka zwieszenia kabiny
Podkładka zawieszenia kabiny
Podkładka szpilki koła (sprężynkowa)
Podkładka szpilki koła (płaska)
Podpora gumowa RETARDERA
Poduszka fotela kierowcy
Poduszka kabiny
Pokrywa filtra paliwa ACTROS
Pokrywa poduszki zawieszenia kabiny
Pompka sprzęgła
Pompa hamulcowa
Pompa paliwa VARIO
Przekaźnik świateł drogowych i wycieraczek 24V
Przełącznik zespolony DB ACTORS
Przewód hamulca tył,przewód smarowania sprzęgła
321024001
0004314728.
667.328.0001
164-574
25-149-0002-101
25-149-0002-201
A 385 351 01 72
6673170236
1021135.411514
1520275
668.267.0296
001.431.6215
9069972492
668-350-0035-MB
670.334.0201
249976847
78x135x12/21,5
305.997.0345
12620800004/111049
9703560152
6673170076
6673170276
74361018352
324.997.0026
668-437-00-85
1021029500541..
6673170012
0000924708..
6673100555
6682900012
0044308901..
280746902
003.545.9605
007 545 8224
668.428.05.35
1
1
1
1
1
1
1
1
1
1
1
1
1
1
1
1
1
1
2
1
1
1
8
8
1
1
1
1
1
1
1
1
1
1
1
98
99
100
101
102
103
104
105
106
107
108
109
110
111
112
113
114
115
116
117
118
119
120
121
122
123
124
125
126
127
128
129
130
131
132
Przewód hydrauliczny siłownika sprzęgła
Przewód paliwa wew.1,5MM/zew.4MM
Ramię lusterka kpl. lewe
Ramie lusterka prawe
Reflektor kpl. Lewy
Reflektor przeciwmgielny
Reflektor kpl. prawy
Regulator hamowania WABCO 037 3702
Regulator napięcia BOSCH
Resor gumowy przód
Resor gumowy tył
Resor osi przedniej lewy
Resor osi przedniej prawy
Rozdzielacz powietrza drzwi
Rozrusznik kpl.
Rura wlewu oleju (karbow.)
Silnik nagrzewnicy kpl. (nadmuchu szyb- środek)
Silnik nagrzewnicy AURORA TEDDY 2
Silnik ogrzewania THERMO 90OST 2
Siłownik sprzęgła
Siłownik h-ca tył
Sinenblok drążka stabilizatora mały
Sprężarka
Sprężyna klocków
Sprzęgło VISCO DB VARIO (wentylatora)
Stabilizator przedni
Stabilizator tylny
Stacyjka DB (518223605...-08)
Strzemię resoru
Śruba koła przód
Śruba koła tył
Śruba mocująca tarczę h-ca z piastą (przód)
Śruba przepustowa zacisku h-ca
Sworzeń zwrotnicy
Sygnał elektryczny 24V C
6 672 950 235
9 031 118
582486615
582471111
A.670.820.0561
1021133312001
A 670.820.0661
4757111490
1197311304
309 320 0177
667 320 0077
667.320.4502
667.320.3702
9902972
?0061512201
6685200206
0008309308
1564492000
9010621A
668.290.0012
OO24310414
3093200073
9061302815
000.421.3491
904.200.1122
667.323.3565
667.326.1365
0005459908
667.351.6725
3144020071
3184020071
670 990 03 04
000.428.11.26
670.330.0119
405.096.23.00
1
1
1
1
1
1
1
1
1
1
1
1
1
1
1
1
1
1
1
1
1
1
1
1
1
1
1
1
1
6
6
1
1
1
1
133
134
135
136
137
138
139
140
141
142
143
144
145
146
147
148
149
150
151
152
153
154
155
156
157
158
159
160
161
162
163
164
165
166
167
Tarcza dociskowa
Tarcza hamulcowa przednia
Tarcza hamulcowa tył
Tarcza sprzęgła
Termostat 83
Tłumik
Tuleja resoru
Tuleja gumowa drążka reakcyjnego (tył)
Tuleja gumowa górna i dolna amortyzatora przód
Tuleja gumowa z kołnierzem sworznia wahacza
resoru
30x42/50x45
Tuleja gumowa
między pudłem.a ramą
Tuleja wahacza (metalowa) sworznia resoru
Tuleja met.-gum. resoru (większa)
Tulejka zawieszenia kabiny
Tulejka met-gum. resoru (mniejsza)
Tuleja stabilizatora (Wkładka stabilizatora met.-gum)
(sineblok)
Tuleja
wyciskowa
Turbosprężarka DB VARIO ATEGO
Urządzenia odblask. podświetlane
Urządzenie preselekcyjne PPB21P
Uszczelka misy olejowej
Wieniec koła zamachowego
Wieszak drążka stabilizacyjnego przód
Wieszak osi przedniej (wspornik resoru)
Wieszak stabilizatora tylnego
Wkład osuszacza powietrza
Wkładka gumowa stabilizatora przód
Wkładka gumowa stabilizatora tył
Tulejka dystansowa (plastikowa) tuleji sworznia
wahacza
resoru 12x21x81
Wkładka stacyjki
z kluczykiem
Włącznik ciśnienia (świateł drzwi) WABCO 4.BAR
Włącznik STOP BOSCH
Wtyka kątowa z przewodami osuszana
Wspornik bezpiecznika
Wspornik Kolumny
006.250.6704
668.421.0212
668.423.0512
017.250.0603
8106401-0038
667.490.0212
667.322.0650
001.988.0610
000.323.0585
3183220250
670.320.4502
6673220050
6673200144
6673170053
011.069
667 320 0073.
001.250.9915
9040965599
1021135.411513
671.825.0695
904.014.07.22
352.032.1305
667.323.0616
667.322.0120
667.320.1037
000.429.4495-AL12
667.323.0685
670.326.0281
6673250053
A901014620379
4410140130
35459314
20382517
9015450440
A667 460 0031
1
1
1
1
1
1
1
2
1
2
1
1
1
1
1
12
1
1
1
1
1
1
1
1
1
1
4
4
1
1
1
1
1
1
1
168
169
170
171
172
173
174
175
176
177
178
179
180
181
182
183
184
185
186
187
188
189
190
191
192
193
194
195
196
197
198
Wzmacniacz sprzęgła
Zabezpieczenie (dźwigni sterowania skrzyni)
Zacisk h-ca tył prawy
Zacisk h-ca tył lewy
Zacisk h-ca prawy przód
Zacisk h-ca lewy przód
Zamek okna CLEFF
Zawór alternatywny drzwi
Zawór ciśnienia
Zawór ciśnienia WABCO 35 (regulator powietrza)
Zawór czteroobwodowy
Zawór elektromagnetyczny
Zawór ECAS WABCO 441.050.008.0
Zawór ECAS WABCO MAN (sterujący poduszkami)
Zawór hamulcowy
Zawór nagrzewnicy
Zawór obrotowo-suwak.BOSCH/KNOR(awaryjne
otw.drzwi)
Zawór poziomujący ECAS RVI
Zbiornik wyrównawczy
Zderzak przedni lewy
Zderzak przedni prawy
Zderzak przedni środkowy
Zawór przepływowy WABCO
Zderzak tylny lewy
Zderzak tylny prawy
Zderzak tylny środkowy
Zestaw naprawczy zacisku hamulcowego
Zestaw naprawczy piasty przedniej
Zestaw naprawczy zacisku hamulcowego
Zwrotnica lewa
Zwrotnica prawa
321.024.001
2670187
704205301
704205201
67004207301
67004207201
441.931.2265
ZA 12x1,5
44299644
4750103180
003.431.4106
004.997.8536
010.542.7817
0003276725.
34311505
0018301584..
481007503
4410500100
6675000149
641.922.0414
641.922.0415
641.922.0416
81521106056
441.922.0411
441.922.0412
441.922.0413
000.420.0476
670.330.0525
000.421.8386
670.332.0001
670.332.0002
RAZEM WARTOŚĆ NETTO/BRUTTO
*Uwaga dla pozycji :
Poz. 82
1
1
1
1
1
1
1
1
1
1
1
1
1
1
1
1
1
1
1
1
1
1
1
1
1
1
1
1
1
1
1
-
zł
-
zł
zł
obowiązuje jednostka zakupu w mb