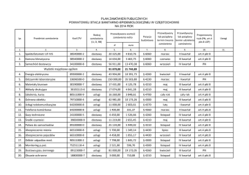
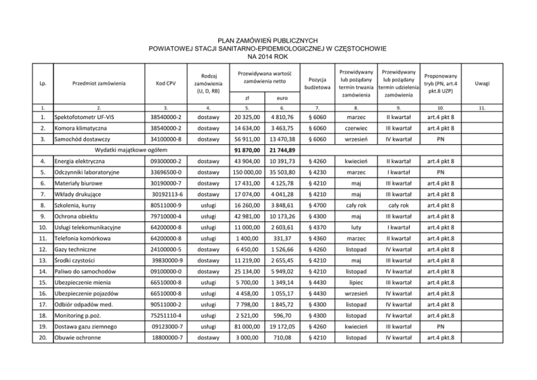
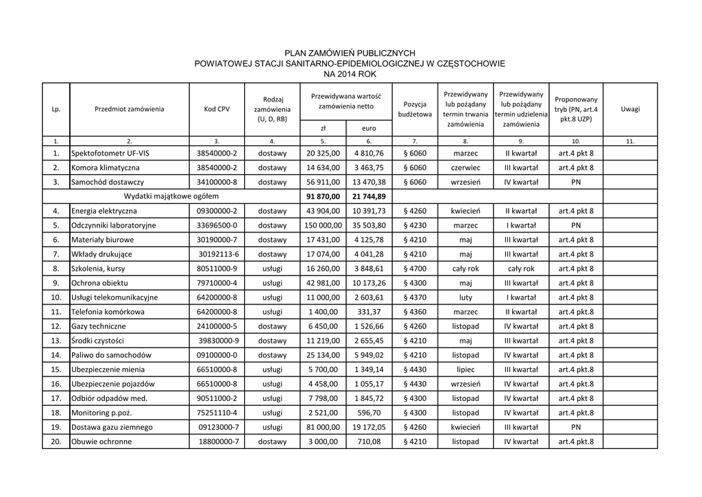
1. Spektofotometr UF-VIS 38540000-2 dostawy 20 325,00 4 810,76

Transkrypt

1. Spektofotometr UF-VIS 38540000-2 dostawy 20 325,00 4 810,76
PLAN ZAMÓWIEŃ PUBLICZNYCH
POWIATOWEJ STACJI SANITARNO-EPIDEMIOLOGICZNEJ W CZĘSTOCHOWIE
NA 2014 ROK
Przewidywana wartość
zamówienia netto
Przewidywany
Przewidywany
Proponowany
lub pożądany
lub pożądany
tryb (PN, art.4
termin trwania termin udzielenia
pkt.8 UZP)
zamówienia
zamówienia
Lp.
Przedmiot zamówienia
Kod CPV
Rodzaj
zamówienia
(U, D, RB)
zł
euro
1.
2.
3.
4.
5.
6.
7.
8.
9.
10.
Pozycja
budżetowa
1.
Spektofotometr UF-VIS
38540000-2
dostawy
20 325,00
4 810,76
§ 6060
marzec
II kwartał
art.4 pkt 8
2.
Komora klimatyczna
38540000-2
dostawy
14 634,00
3 463,75
§ 6060
czerwiec
III kwartał
art.4 pkt 8
3.
Samochód dostawczy
34100000-8
dostawy
56 911,00
13 470,38
§ 6060
wrzesień
IV kwartał
PN
91 870,00
21 744,89
Wydatki majątkowe ogółem
4.
Energia elektryczna
09300000-2
dostawy
43 904,00
10 391,73
§ 4260
kwiecień
II kwartał
art.4 pkt 8
5.
Odczynniki laboratoryjne
33696500-0
dostawy
150 000,00
35 503,80
§ 4230
marzec
I kwartał
PN
6.
Materiały biurowe
30190000-7
dostawy
17 431,00
4 125,78
§ 4210
maj
III kwartał
art.4 pkt 8
7.
Wkłady drukujące
30192113-6
dostawy
17 074,00
4 041,28
§ 4210
maj
III kwartał
art.4 pkt 8
8.
Szkolenia, kursy
80511000-9
usługi
16 260,00
3 848,61
§ 4700
cały rok
cały rok
art.4 pkt 8
9.
Ochrona obiektu
79710000-4
usługi
42 981,00
10 173,26
§ 4300
maj
III kwartał
art.4 pkt 8
10.
Usługi telekomunikacyjne
64200000-8
usługi
11 000,00
2 603,61
§ 4370
luty
I kwartał
art.4 pkt 8
11.
Telefonia komórkowa
64200000-8
usługi
1 400,00
331,37
§ 4360
marzec
II kwartał
art.4 pkt.8
12.
Gazy techniczne
24100000-5
dostawy
6 450,00
1 526,66
§ 4260
listopad
IV kwartał
art.4 pkt 8
13.
Środki czystości
39830000-9
dostawy
11 219,00
2 655,45
§ 4210
maj
III kwartał
art.4 pkt 8
14.
Paliwo do samochodów
09100000-0
dostawy
25 134,00
5 949,02
§ 4210
listopad
IV kwartał
art.4 pkt 8
15.
Ubezpieczenie mienia
66510000-8
usługi
5 700,00
1 349,14
§ 4430
lipiec
III kwartał
art.4 pkt.8
16.
Ubezpieczenie pojazdów
66510000-8
usługi
4 458,00
1 055,17
§ 4430
wrzesień
IV kwartał
art.4 pkt.8
17.
Odbiór odpadów med.
90511000-2
usługi
7 798,00
1 845,72
§ 4300
listopad
IV kwartał
art.4 pkt 8
18.
Monitoring p.poż.
75251110-4
usługi
2 521,00
596,70
§ 4300
listopad
IV kwartał
art.4 pkt.8
19.
Dostawa gazu ziemnego
09123000-7
usługi
81 000,00
19 172,05
§ 4260
kwiecień
III kwartał
PN
20.
Obuwie ochronne
18800000-7
dostawy
3 000,00
710,08
§ 4210
listopad
IV kwartał
art.4 pkt.8
Uwagi
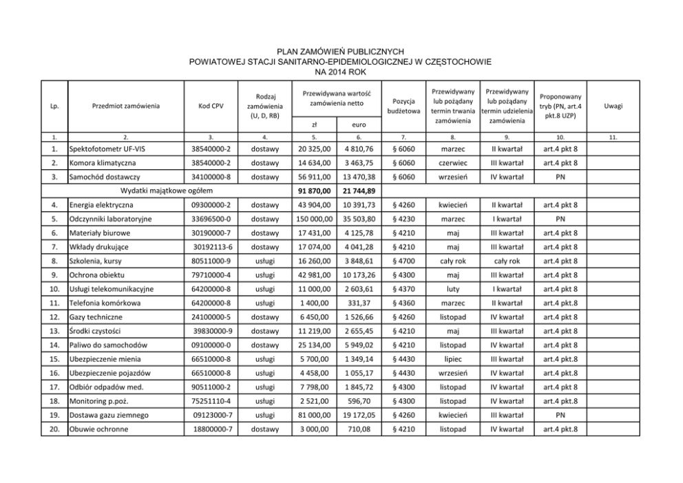
11.
21.
Usługi pralnicze
98310000-9
usługi
6 342,00
1 501,10
§ 4300
listopad
IV kwartał
art.4 pkt.8
22.
Usługi pocztowe
64110000-0
usługi
53 200,00
12 592,01
§ 4300
maj
III kwartał
art.4 pkt.8
23.
Bilety miejskie
34980000-0
dostawy
13 496,00
3 194,40
§ 4410
listopad
IV kwartał
art.4 pkt.8
24.
Środki do czyszczenia do podłóg
39831300-9
dostawy
3 253,00
769,96
§ 4210
maj
III kwartał
art.4 pkt.8
25.
Badania okresowe pracowników
85121000-3
usługi
2 970,00
702,98
§ 4280
sierpień
III kwartał
art.4 pkt.8
26.
Konserwacja dźwigów osobowych
50531400-0
usługa
10 104,00
2 391,54
§ 4270
marzec
II kwartał
art.4 pkt.8
27.
Urząd dozoru technicznego
50324200-4
usługa
2 941,00
696,11
§ 4300
luty
I kwartał
art.4 pkt.8
Wydatki inne ogółem
kurs Euro w 2014 r. - 4,2249
539 636,00 127 727,52