Dział II Opis przedmiotu zamówienia

Transkrypt

Dział II Opis przedmiotu zamówienia
DA/MB/DA/MB/-232232-10/14
DZIAŁ II
Opis przedmiotu zamówienia
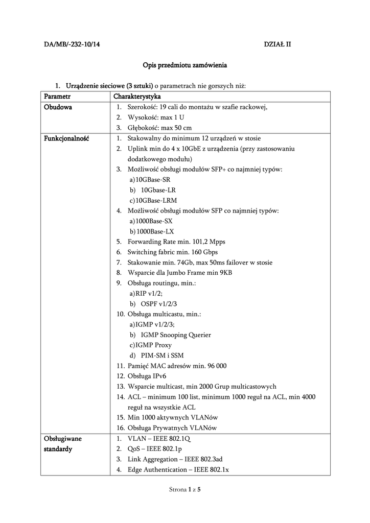
1. Urządzenie sieciowe (3 sztuki) o parametrach nie gorszych niż:
Parametr
Obudowa
Charakterystyka
1. Szerokość: 19 cali do montażu w szafie rackowej,
2. Wysokość: max 1 U
3. Głębokość: max 50 cm
Funkcjonalność
Funkcjonalność
1. Stakowalny do minimum 12 urządzeń w stosie
2. Uplink min do 4 x 10GbE z urządzenia (przy zastosowaniu
dodatkowego modułu)
3. Możliwość obsługi modułów SFP+ co najmniej typów:
a) 10GBase-SR
b) 10Gbase-LR
c) 10GBase-LRM
4. Możliwość obsługi modułów SFP co najmniej typów:
a) 1000Base-SX
b) 1000Base-LX
5. Forwarding Rate min. 101,2 Mpps
6. Switching fabric min. 160 Gbps
7. Stakowanie min. 74Gb, max 50ms failover w stosie
8. Wsparcie dla Jumbo Frame min 9KB
9. Obsługa routingu, min.:
a) RIP v1/2;
b) OSPF v1/2/3
10. Obsługa multicastu, min.:
a) IGMP v1/2/3;
b) IGMP Snooping Querier
c) IGMP Proxy
d) PIM-SM i SSM
11. Pamięć MAC adresów min. 96 000
12. Obsługa IPv6
13. Wsparcie multicast, min 2000 Grup multicastowych
14. ACL – minimum 100 list, minimum 1000 reguł na ACL, min 4000
reguł na wszystkie ACL
15. Min 1000 aktywnych VLANów
16. Obsługa Prywatnych VLANów
Obsługiwane
standardy
1. VLAN – IEEE 802.1Q
2. QoS – IEEE 802.1p
3. Link Aggregation – IEEE 802.3ad
4. Edge Authentication – IEEE 802.1x
Strona 1 z 5
5. Rapid Spanning Tree – IEEE 802.1w
6. Multiple Spanning Trees – IEEE 802.1s
7. Industry-standard MIB support
Zarządzanie,
Zarządzanie,
zabezpieczenia
1. połączenie szyfrowane: SSL/SSH,
2. autentykacja dostępu w oparciu o Radius min. na podstawie MAC
adresu,
3. listy dostępu ACL warstwy 2/3/4;
4. obsługa RMON,
5. obsługa SNMP v2 i v3,
6. obsługa sFlow,
7. możliwość przechowywania dwóch wersji oprogramowania na
przełączniku,
8. Flow based port mirroring,
9. DHCP Server i Relay Agent,
10. 802.1x Auto VLAN,
11. Voice VLAN,
12. Zarządzenie przez CLI i przez przeglądarkę internetową,
13. Darmowe oprogramowanie do centralnego zarzadzania
przełącznikami w ilości min 10 licencji.
Ilość portów
1. 48 portów 10/100/1000BaseT Ethernet
2. 2 porty SFP (dzielone z 10/100/1000BaseT)
3. Zatoka umożliwiająca instalację :
a) Modułu 2 portowego 10GbE SFP+ lub
b) Modułu 2 portowego 10GbE BASET
4. porty dedykowane do stackowania przełącznika
5. port RJ45 umożliwiający zarządzanie poprzez konsolę,
6. port Ethernet RJ45 dedykowany do zarządzania Out-Of-Band
7. min. 1 port USB
2. Dysk twardy zewnętrzny (1 sztuka) lub równoważny o parametrach nie gorszych niż:
Format szerokości
2,5’’
Typ
Magnetyczny
Pojemność
Co najmniej 2000 GB
Interfejs
USB 3.0
Transfer zewnętrzny
Co najmniej 600 MB/s
Waga
Co najwyżej 140g
3. Komputer PC (1 sztuka) o parametrach nie gorszych niż:
Płyta główna
1) Gniazdo procesowa: Socket 1155
2) Ilość obsługiwanych procesorów: maksymalnie 1
3) Chipset: Intel H61 Express
4) Rodzaj obsługiwanej pamięci: DDR3 DIMM
Strona 2 z 5
5) Typ obsługiwanej pamięci: DDR3-800 (PC3-6400), DDR3-1066 (PC38500), DDR3-1333(PC3-10600)
6) Dwukanałowa obsługa pamięci: tak
7) Ilość gniazd pamięci: co najmniej 2
8) Pojemność pamięci: maksymalnie 16384 MB
9) Ilość złącz PCI: co najmniej 2, w tym co najmniej jedno PCI-Express
x16 oraz jedno PCI-Express x1
10) Zintegrowana karta sieciowa Atheros (10/100/1000 Mbit)
11) Zintegrowana karta dźwiękowa
12) Złącza napędów: co najmniej 4x SATA II
13) Złącza wewnętrzne: 2x USB 2.0, ATX24P, ATX12V 4P, złącza audio
przedniego panelu, złącza przedniego panelu, złącza wentylatora
systemowego
14) Panel tylni: 1x D-Sub, 1x DVI-D, 1x LPT, 1x RJ-45, 2x PS/2, 3x złącze
audio, 4x USB 2.0
15) Wtyczka zasilania: ATX 24pin
16) Szerokość: co najmniej 240 mm
17) Wysokość: co najmniej 200 mm
Procesor
1) Zaoferowany procesor powinien uzyskiwać w teście PassMark CPU
Mark wynik nie mniej niż 6 560 punktów. Wynik zaoferowanego
procesora musi znajdować się na stronie internetowej
http://www.cpubenchmark.net/high_end_cpus.html
(wynik z dnia 10.06.2014r.)
2) Typ gniazda: Socket 1155
3) Ilość rdzeni: co najmniej 4 sztuki
4) Proces technologiczny: 22 nm
5) Częstotliwość taktowania procesora: co najmniej 3200 MHz
6) Zintegrowany układ graficzny: Intel HD Graphics 2500
7) Pamięć podręczna L1: 4x32 KB (Dane), 4x32 KB (Instrukcje)
8) Pamięć podręczna L2: 4x256 KB
9) Pamięć podręczna L3: 6 MB
Pamięć DRAM
1) Rodzaj pamięci: DDR3-DIMM
2) Standard: DDR3-1333
3) Pojemność pamięci: 4 GB
4) Przepustowość: co najmniej 10600 MB/s
Dysk twardy
1) Format: 3,5’’
2) Typ: magnetyczny
3) Pojemność: co najmniej 500 GB
4) Interfejs: Serial ATA
5) Prędkość obrotowa: co najmniej 7200 obr./min.
6) Pamięć cache: co najmniej 64 MB
Obudowa
1) Standard: micro-ATX, ITX, ATX
Strona 3 z 5
2) Ilość kieszeni 5.25: co najmniej 3 szt.
3) Ilość kieszeni 3,5 zewn.: co najmniej 1 szt.
4) Ilość kieszeni 3,5 wew.: co najmniej 2 szt.
5) Złącza na przednim panelu: audio, 2x USB
6) Włącznik oraz złącza na górze przedniego panelu
Wymagania
dodatkowe
1) Napęd optyczny DVD +/- RW
2) Zasilacz, co najmniej 350W
3) Klawiatura USB
4) Optyczna, przewodowa mysz USB
5) Kabel zasilający
6) Gwarancja, co najmniej 12 miesięcy
System operacyjny
System operacyjny spełniający następujące kryteria:
1) Interfejs w języku polskim
2) Możliwość
zdalnej
automatycznej
instalacji,
konfiguracji,
administrowania oraz aktualizowania systemu.
3) Publicznie znany cykl życia przedstawiony przez producenta i
dotyczący rozwoju i wsparcia technicznego – w szczególności w
zakresie bezpieczeństwa
4) Praca w różnych sieciach komputerowych (sieci lokalne LAN,
Internet), w tym także automatyczne rozpoznawanie sieci i ich
ustawień bezpieczeństwa,
5) Automatyczne rozpoznawanie urządzeń peryferyjnych działające w
tej sieci (np. drukarki, tablice interaktywne) oraz łączenie się
automatycznie
z
raz
zdefiniowanymi
sieciami
pośrednictwem modemów 3G/USB).
6) Możliwość uruchomienia następujących programów:
a) WinRAR
b) ESET Smart Security 4 Business Edition
c) Microsoft Office 2010
4. Monitor (1 sztuka) o parametrach nie gorszych niż:
Przekątna ekranu
Co najmniej 17’’
Format obrazu
5:4
Rodzaj podświetlania
LED
Rozdzielczość nominalna
Maksymalnie 1280x1024 px
Kontrast
1000 : 1
Kontrast dynamiczny
12M : 1
Jasność
250 cd/m2
Kąt widzenia
170/160
Ilość wyświetlanych kolorów
16,7 mln
Czas reakcji
Co najwyżej 5 ms
Złącza wejścia
Co najmniej 1x D-sub
Strona 4 z 5
(również
za
Technologia Flicker Free
Tak
Temperatura kolorów
Reddish/Normal/Bluish/user mode
Pochylanie (dół/góra)
-5 ~ 20
Zużycie energii (włączony)
Co najwyżej 17W
Tryb oszczędzania energii
< 0,3W
Gwarancja
co najmniej 12 miesięcy
Strona 5 z 5