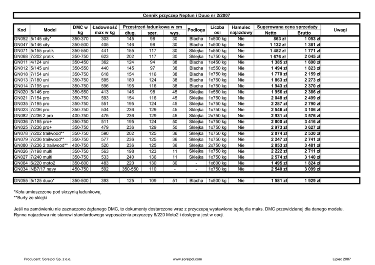
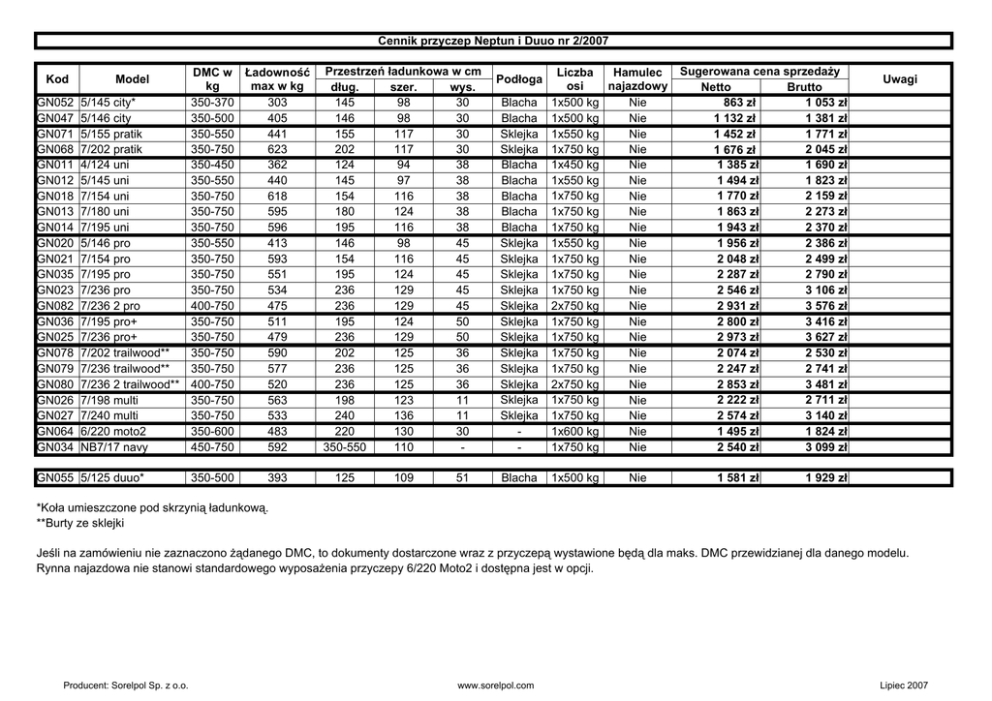
Cennik przyczep Neptun i Duuo nr 2/2007 Kod Model Przestrzeń

Transkrypt

Cennik przyczep Neptun i Duuo nr 2/2007 Kod Model Przestrzeń
Cennik przyczep Neptun i Duuo nr 2/2007
Kod
GN052
GN047
GN071
GN068
GN011
GN012
GN018
GN013
GN014
GN020
GN021
GN035
GN023
GN082
GN036
GN025
GN078
GN079
GN080
GN026
GN027
GN064
GN034
DMC w Ładowność
kg
max w kg
350-370
5/145 city*
303
350-500
5/146 city
405
5/155 pratik
350-550
441
7/202 pratik
350-750
623
4/124 uni
350-450
362
5/145 uni
350-550
440
7/154 uni
350-750
618
7/180 uni
350-750
595
7/195 uni
350-750
596
5/146 pro
350-550
413
7/154 pro
350-750
593
7/195 pro
350-750
551
7/236 pro
350-750
534
7/236 2 pro
400-750
475
7/195 pro+
350-750
511
7/236 pro+
350-750
479
7/202 trailwood**
350-750
590
7/236 trailwood**
350-750
577
7/236 2 trailwood** 400-750
520
7/198 multi
350-750
563
7/240 multi
350-750
533
6/220 moto2
350-600
483
NB7/17 navy
450-750
592
Model
GN055 5/125 duuo*
350-500
393
Przestrzeń ładunkowa w cm
dług.
szer.
wys.
145
98
30
146
98
30
155
117
30
202
117
30
124
94
38
145
97
38
154
116
38
180
124
38
195
116
38
146
98
45
154
116
45
195
124
45
236
129
45
236
129
45
195
124
50
236
129
50
202
125
36
236
125
36
236
125
36
198
123
11
240
136
11
220
130
30
350-550
110
125
109
51
Blacha
Blacha
Sklejka
Sklejka
Blacha
Blacha
Blacha
Blacha
Blacha
Sklejka
Sklejka
Sklejka
Sklejka
Sklejka
Sklejka
Sklejka
Sklejka
Sklejka
Sklejka
Sklejka
Sklejka
-
Liczba
Hamulec
osi
najazdowy
1x500 kg
Nie
1x500 kg
Nie
1x550 kg
Nie
1x750 kg
Nie
1x450 kg
Nie
1x550 kg
Nie
1x750 kg
Nie
1x750 kg
Nie
1x750 kg
Nie
1x550 kg
Nie
1x750 kg
Nie
1x750 kg
Nie
1x750 kg
Nie
2x750 kg
Nie
1x750 kg
Nie
1x750 kg
Nie
1x750 kg
Nie
1x750 kg
Nie
2x750 kg
Nie
1x750 kg
Nie
1x750 kg
Nie
1x600 kg
Nie
1x750 kg
Nie
Blacha
1x500 kg
Podłoga
Nie
Sugerowana cena sprzedaży
Netto
Brutto
1 053 zł
863 zł
1 381 zł
1 132 zł
1 771 zł
1 452 zł
2 045 zł
1 676 zł
1 385 zł
1 690 zł
1 494 zł
1 823 zł
1 770 zł
2 159 zł
1 863 zł
2 273 zł
1 943 zł
2 370 zł
1 956 zł
2 386 zł
2 048 zł
2 499 zł
2 287 zł
2 790 zł
2 546 zł
3 106 zł
2 931 zł
3 576 zł
2 800 zł
3 416 zł
2 973 zł
3 627 zł
2 074 zł
2 530 zł
2 247 zł
2 741 zł
2 853 zł
3 481 zł
2 222 zł
2 711 zł
2 574 zł
3 140 zł
1 495 zł
1 824 zł
2 540 zł
3 099 zł
1 581 zł
Uwagi
1 929 zł
*Koła umieszczone pod skrzynią ładunkową.
**Burty ze sklejki
Jeśli na zamówieniu nie zaznaczono żądanego DMC, to dokumenty dostarczone wraz z przyczepą wystawione będą dla maks. DMC przewidzianej dla danego modelu.
Rynna najazdowa nie stanowi standardowego wyposażenia przyczepy 6/220 Moto2 i dostępna jest w opcji.
Producent: Sorelpol Sp. z o.o.
www.sorelpol.com
Lipiec 2007