Protokół_sesji_19_maja_2016

Transkrypt

Protokół_sesji_19_maja_2016
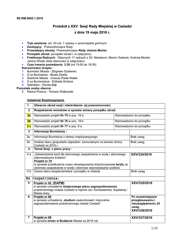
SE-RM.0002.1.2016
Protokół z XXV Sesji Rady Miejskiej w Czeladzi
z dnia 19 maja 2016 r.





Tryb zwołania: art. 20 ust. 1 ustawy o samorządzie gminnym
Zwołujący: Przewodnicząca Rady
Prowadzący obrady: Przewodnicząca Rady Jolanta Moćko
Porządek obrad: porządek obrad r. w załączeniu.
Frekfencja Radnych: Obecnych 17 radnych z 20. Nieobecni: Marcin Gadecki, Andrzej Mentel.
Janina Wcisło (lista obecności w załączneiu)
 Czas trwania posiedzenia 3:30 (od 15:00 do 18:30)
Kierownictwo Urzędu :
1. Burmistrz Miasta - Zbigniew Szaleniec
2. Z-ca Burmistrza - Beata Zawiła
3. Skarbnik Miasta - Urszula Polak-Wałek
4. Z-ca Burmnistrza - Elżbieta Dmitruk
5. Sekretarz - Dorota Bąk
Pozostałe oosby obecne:
1. Radca Prawny - Tomasz Wójkowski
Ustalenia/ Rozstrzygnięcia
1
Otwarcie obrad sesji i stwierdzenie jej prawomocności.
2
Rozpatrzenie wniosków w sprawie zmiany porządku obrad.
2a
Wprowadzić projekt Nr 75 w poz. 18 a
Wprowadzono do porządku
2b
Wprowadzić projekt Nr 76 w poz. 18 b
Wprowadzono do porządku
2c
Wprowadzić projekt Nr 77 w poz. 8 a
Wprowadzono do porządku
3
Informacje Burmistrza :
3a.
Informacja Burmistrza z okresu międzysesyjnego
Brak uwag
3b.
Analiza stanu gospodarki odpadami komunalnymi na terenie Gminy
Czeladź za 2015 r.
Temat Sesji z planu pracy :
Brak uwag
„Zatwierdzenie taryf dla zbiorowego zaopatrzenia w wodę i zbiorowego
odprowadzania ścieków”.
Projekt nr 70
w sprawie przedłużenia czasu obowiązywania dotychczasowej taryfy za
zbiorowe zaopatrzenie w wodę i zbiorowe odprowadzanie ścieków
Ocena stanu bezpieczeństwa i porządku w mieście
XXV/334/2016
4
4a
4b
Brak uwag
Do rozpatrzenia:
5
6
Projekt nr 62 (EAPM)
w sprawie uchwalenia miejscowego planu zagospodarowania
przestrzennego miasta Czeladź w rejonie ulic: Kombatantów, Szpitalnej i
Miasta Auby
Projekt nr 66
w sprawie uchwalenia „studium uwarunkowań i kierunków
zagospodarowania przestrzennego miasta Czeladź”
XXV/335/2016
Po wcześniejszym
przegłosowaniu i
nieuwzględnieniu 25
uwag .
XXV/336/2016
7
Projekt nr 68
w sprawie zmian w Budżecie Miasta na 2016 rok
XXV/337/2016
1/19
SE-RM.0002.1.2016
8
Projekt nr 69
w sprawie zmiany Wieloletniej Prognozy Finansowej Miasta Czeladź na
lata 2016-2030
8 a Dodane do porządku
Projekt nr 77 (EAPM)
W sprawie utworzenia Budżetu Obywatelskiego w Mieście Czeladź
9 Projekt nr 56
w sprawie przyjęcia oceny zasobów pomocy społecznej za rok 2015
10 Projekt nr 57
w sprawie przyjęcia sprawozdania z działalności Miejskiego Ośrodka
Pomocy Społecznej w Czeladzi
11 Projekt nr 58
w sprawie przyjęcia Gminnego Programu Wspierania Rodziny na lata
2016-2018
12 Projekt nr 59 B (EAPM)
w sprawie nadania statutu Miejskiej Biblioteki Publicznej im. Marii
Nogajowej w Czeladzi
13 Projekt nr 61 A (EAPM)
w sprawie wprowadzenia opłaty prolongacyjnej na terenie Miasta
Czeladź
14 Projekt nr 63
w sprawie wyrażenia zgody na przystąpienie do partnerstwa z
Powiatem Będzińskim oraz na udzielenie pomocy finansowej na
realizację zadania, którego liderem jest Powiat Będziński, polegającego na
przygotowaniu kompletnej dokumentacji projektowej dla zadania
„Przebudowa ciągu drogowego na odcinku rondo ul. Nowopogońska w
Czeladzi – ul. Grota Roweckiego w Sosnowcu do skrzyżowania z DK 86”
15 Projekt nr 67
w sprawie wyrażenia zgody na przeniesienie na rzecz gminy prawa
własności do nieruchomości oznaczonej nr działek 132/20 i 132/47
arkusz mapy 50 o powierzchni 921 m2, położonej przy ul. Małobądzkiej w
Czeladzi, w rozliczeniu opłaty adiacenckiej i zaległości z tego tytułu
16 Projekt nr 71 A (EAPM)
w sprawie przyjęcia „Regulaminu targowisk miejskich przy ul. Miasta
Auby i ul. Grodzieckiej w Czeladzi”
17 Projekt nr 72 A (EAPM)
w sprawie zmiany uchwały nr XVII/253/2015 Rady Miejskiej w Czeladzi z
dnia 26 listopada 2015 r w sprawie ustalenia dziennych stawek opłaty
targowej na terenie Miasta Czeladź na 2016 rok
18 Projekt nr 73 (EAPM)
sprawie zmiany Uchwały Nr V/40/2011 Rady Miejskiej w Czeladzi w
sprawie trybu i sposobu powołania i odwołania członków zespołu
interdyscyplinarnego oraz szczegółowych warunków jego
funkcjonowania
18 a Dodane do porządku
Projekt nr 75
w sprawie wyrażenia zgody na zamianę części nieruchomości oznaczonej
nr działki 62 arkusz mapy 18, stanowiącej własność Gminy Czeladź na
części nieruchomości oznaczonych numerami działek 60 i 61 arkusz
mapy 18, stanowiących własność osób fizycznych
18 Dodane do porządku
b Projekt nr 76
w sprawie wyrażenia zgody na sprzedaż części niezabudowanej
nieruchomości oznaczonej numerem działki 85 arkusz mapy 2, o
powierzchni 2k. 10 000 m2, położonej w Czeladzi przy ulicy Przełajskiej
19 Sprawy do rozpatrzenia Rady :
XXV/338/2016
XXV/339/2016
XXV/340/2016
XXV/341/2016
XXV/342/2016
XXV/3432016
XXV/344/2016
XXV/345/2016
XXV/346/2016
XXV/347/2016
XXV/348/2016
XXV/349/2016
XXV/350/2016
XXV/351/2016
2/19
SE-RM.0002.1.2016
19 a Skarga Pana Stanisława W. (SE-RM. 1510.2.2016)
Projekt nr 74
w sprawie przekazania według właściwości skargi Pana Stanisława W.
na działalność Czeladzkiego Towarzystwa Budownictwa Społecznego
20 Interpelacje/wnioski Radnych
21
22
XXV/352/2016
Korespondencja/ informacje do wiadomości i do rozpatrzenia Rady
Zamkniecie obrad sesji.
Przebieg OBRAD:
Ad. 1.
Otwarcie obrad sesji i stwierdzenie jej prawomocności.
Jolanta Moćko- otwarcie obrad sesji
Ad. 2.
Rozpatrzenie wniosków w sprawie zmiany porządku obrad.
Dodanie projektu Nr 75 w poz. 18 a
Wynik głosowania:
Głosów „Za
Za”- 15
Głosów „Przeciw
Przeciw” -0
Głosów „Wstrzymujących
Wstrzymujących się”
się -0
Obecnych na sali w trakcie głosowania -15
Rozstrzygnięcie – wprowadzono do porzadku
Dodanie projektu Nr 76 w poz. 18 b
Wynik głosowania:
Głosów „Za
Za”-15
Głosów „Przeciw
Przeciw” -0
Głosów „Wstrzymujących
Wstrzymujących się”
się -0
Obecnych na sali w trakcie głosowania -15
Rozstrzygnięcie – wprowadzono do porzadku
Dodanie projektu Nr 77 w poz. 8 a
Wynik głosowania:
Głosów „Za
Za”-15
Głosów „Przeciw
Przeciw” -0
Głosów „Wstrzymujących
Wstrzymujących się”
się -0
Obecnych na sali w trakcie głosowania -15
Rozstrzygnięcie – wprowadzono do porzadku
Ad. 3a.
Informacja Burmistrza z okresu międzysesyjnego
J. Moćka- czy są pytania do materiału. Brak
Ad 3b.
Analiza stanu gospodarki odpadami komunalnymi na terenie Gminy Czeladź za 2015 r.
J. Moćko- czy na komisji był omawiany ten temat?
3/19
SE-RM.0002.1.2016
W. Maćkowski- tak temat był omawiany na komisji, jednak nie był poddawany pod głosowanie bo to nie jest
projekt uchwały.
J. Moćko- czy są pytania do matariału. Brak.
Ad. 4 a.
„Zatwierdzenie taryf dla zbiorowego zaopatrzenia w wodę i zbiorowego odprowadzania ścieków”.
Projekt nr 70
w sprawie przedłużenia czasu obowiązywania dotychczasowej taryfy za zbiorowe zaopatrzenie w wodę
i zbiorowe odprowadzanie ścieków
J. Moćko – czy są pytania do materiału- brak.
Jest pozytywna opinia komisji rewizyjnej.
Forma głosowania: (głosowanie
(głosowanie jawne za pomoca terminali elektronicznych )
Wymagana większość: (zwykła większość głosów )
Wynik głosowania:
Głosów „Za
Za”-14
Głosów „Przeciw
Przeciw” -1
Głosów „Wstrzymujących
Wstrzymujących się”
się -0
Obecnych na sali w trakcie głosowania -15
Rozstrzygnięcie – uchwała została podjęta.
Ad 4b.
Ocena stanu bezpieczeństwa i porządku w mieście
J. Moćko- tym tematem zajmowała się komisja polityki społecznej, zdrowia i bezpieczeństwa.
M. Kita- na komisji był komendant straży miejsiej i obszernie zdał relacje z działania straży. Ja jedynie chcę
zwrócić uwagę że do chwili obecnej mówiliśmy straż miejska. Natomiast te rzeczy, które straż miejska
wykonuje jest to bardzo powiązane z obroną cywilną naszego miasta. Czasem są dyskusje czy ona jest
potrzebna czy nie, ale ja uważam że rzeczy które będą potrzebne straży w stosunku do obrony cywilnej (bo
przejeli odpowiedzialność za sprzęt) trzeba im zapewnić. Oczywiści ma nad obroną cywilną nadzór
Burmistrz i inne wydziały, ale również są to zadania straży. Straż miejska jest bardzo potrzebna.
J. Moćko- czy są pytania do tego materiału- brak.
Ad. 5.
Projekt nr 62 (EAPM)
w sprawie uchwalenia miejscowego planu zagospodarowania przestrzennego miasta Czeladź w rejonie
ulic: Kombatantów, Szpitalnej i Miasta Auby
Opinia komisji pozytywna. Brak pytań do projektu.
Forma głosowania: (głosowanie
(głosowanie jawne za pomoca terminali elektronicznych )
Wymagana większość: (zwykła większość głosów )
Wynik głosowania:
Głosów „Za
Za”-15
Głosów „Przeciw
Przeciw” -0
Głosów „Wstrzymujących
Wstrzymujących się”
się -0
4/19
SE-RM.0002.1.2016
Obecnych na sali w trakcie głosowania -15
Rozstrzygnięcie – uchwała została podjęta.
Ad. 6.
6.
Projekt nr 66
w sprawie uchwalenia „studium uwarunkowań i kierunków zagospodarowania przestrzennego miasta
Czeladź"
Burmistrz Z. Szaleniec- Pracownia urbanistyczna z Rybnika zrobi wprowadzenie.
Projektantem jest Pani Mirela Łuczka.
Jestem architektem urbanistą. W dorobku naszej pracowni jest kilkadziesiąt takich opracowań.Przedstawię
z czego składa się ten dokument. Pokażemy prezentację studium. Studium składa się z 2 części
z uwarunkowań i ustaleń. Studium nie jest aktem prawa miejscowego. Jak w studium określamy jakiś teren
do zabudowy to nie znaczy, że można tam budować. Do tego wymagane będą palny miejscowe. Dokument
zawiera oddziaływanie na środowisko. Jakie są uwarunkowania rozwoju dla miasta. Czeladź jest najbardziej
zagęszczonym miastem w powiecie. Jest trend zmniejszania się ludności. Miasto składa się z 4 jednostek
strukturalnych. Elementy struktury przyrodniczej miasta zostały określone wszystkie parki i korytarz rzeki.
Rzeka Brynica została włączona w korytarz ochrony o znaczeniu regionalnym czyli dla całego województwa.
Przewprowadzono inwentaryzację miasta. Układ hipsometryczny miasta, różnica poziomów to ok. 60m.
Stan własności gminy to duża powierzchnia gminy. W małym stopniu własność skarbu państwa i związku
działkowców. Miasto położone jest nad zbiornikiem Bytom i mamy 5 ujęć wód głębinowych. Środowisko
przyrodnicze jest stosunkowo ubogie. Zaproponowaliśmy wprowadzenie 3 użytków ekologicznych (stawy
przy ul. Wiosennej, staw graniczny,
staw przy ul. Węglowej) i jako zespół przyrodniczo krajobrazowy
zaproponowano wzgórze. Jest dużo elementów ze środowiska kulturalnego. Są zabytki rejestrowe i ok. 100
obiektów w rejestrze woj. konserwatora
zabytków. Jest 17 krzyży i 9 pomników. Występują strefy
arheologoczne gdzie zabudowa w ich rejonie ma być poprzedzona badaniami. Przy proponowaniu analizy
terenów do zabudowy przeprowadzono analizę. Zagrożenia powodziowe pomiędzy wałami brynicy. Są
również zagrożenia- tereny ktre mogą być zalane w wyniku awarii wałów przeciwpowodzowymi. Obiekty
chronione na podstawie przepisów odrębnych. Układ komunikacyjny i jego stan aktualny. Zinwentaryzowano
istniejącą sieć kanalizacyjną, sanitarną i deszczową, gaz, układy zaopaatrzenia w ciepło i w energie
elektryczną. Drugi dział to ustalenia studium. Wizja rozwoju miasta.
W.Maćkowski- mam propozycję, bo na komisji rozwoju zapoznaliśmy się ze studium i wnioskami
szczegółowo. Proponuję by zadać konkretne pytania i nie omawiać tego ponownie tak szczegółowo.
J. Moćko- dokładanie, bo po to była ta komisja, na którą wszyscy radni zostali zaproszeni.
S.Pisarek- jaka jest różnica wysokości masta poimiędzy wejściem do miasta a wyjściem. Jeden z celów to
rewitalizacja rzeki- na czym to polega?
Projektant- chronimy ten obszar od zabudowy. Rewitalizacja to cel, który trzeba realizować jako odrębne
zadanie.
J. Moćko- na komisji projektanci byli do naszej dyspozycji i mogliśmy zadawać wszelkie pytania.
W. Maćkowski- droga łącząca Będzin Czeladź i Siemianowice. Ślad po lini kolejowej jest lepszy. Po pierwsze
w studium 2005 r. istniały 2 warianty drogi. W planie zagospodarowania dla Madery ten ślad po lini kolejowej
5/19
SE-RM.0002.1.2016
jest utrzymany. Po stronie siemianowickiej oni mają włączenie ale oni mają obwodnice idącą po granicy obu
miast i uważam, że dla nas jest to korzystne i dla Siemianowic również. Zwracam uwage że w tej strategii
pozostały błedy z poprzedniej strategii.
Droga z ul. Harcerskiej, przeprowadzenie drogi przez park
prochownia. Cieszy mnie, że odstąpiono od strefy wolnej od zabudowy, ale uważam że jest jeszcze wiele do
poprawy.
Projektant. – przedstawienie mapy z widokiem dróg na złączeniu miast Czeladź i Siemianowice. Nie można
uwzględniać wlotu niezgodnego z prawem. Odległość między skrzyżowaniami to kilomentr a tutaj jest 500 m.
Wzdłuż śladu kolei można realizować drogę rowerową czy inną, nic nie stoi na przeszkodzie. Przez park
prochodnia może być ścieżka rowerowa. Ul. Harcerska- nie jest to zabardzo zainwestowany teren by szukać
innego obejścia.
Kamil Kowalik- dokonałem analizy studium w kadencji poprzedniej. Dzisiaj uznałem, że nie ma sensu tego
zrobić bo wiem jaki będzie wynik tego głosowanie. Dziwi mnie, że radni którzy w poprzedniej kadencji byli
przeciwko teraz będą za.
Wniosek Nr 1
Forma głosowania: (głosowanie
(głosowanie jawne za pomoca terminali elektronicznych )
Wymagana większość: (zwykła większość głosów )
Wynik głosowania:
Głosów „Za
Za”-13
Głosów „Przeciw
Przeciw” -0
Głosów „Wstrzymujących
Wstrzymujących się”
się -2
Obecnych na sali w trakcie głosowania -15
Rozstrzygnięcie – wniosek nie został uwzględniony
Wniosek Nr 2
Forma głosowania: (głosowanie
(głosowanie jawne za pomoca terminali elektronicznych )
Wymagana większość: (zwykła większość głosów )
Wynik głosowania:
Głosów „Za
Za”-14
Głosów „Przeciw
Przeciw” -0
Głosów „Wstrzymujących
Wstrzymujących się”
się -2
Obecnych na sali w trakcie głosowania -16
Rozstrzygnięcie – wniosek nie został uwzględniony
Wniosek Nr 3
Forma głosowania: (głosowanie
(głosowanie jawne za pomoca terminali elektronicznych )
Wymagana większość: (zwykła większość głosów )
Wynik głosowania:
Głosów „Za
Za”-13
Głosów „Przeciw
Przeciw” -0
Głosów „Wstrzymujących
Wstrzymujących się”
się -3
Obecnych na sali w trakcie głosowania -16
6/19
SE-RM.0002.1.2016
Rozstrzygnięcie – wniosek nie został uwzględniony
Wniosek Nr 4
Forma głosowania: (głosowanie
(głosowanie jawne za pomoca terminali elektronicznych )
Wymagana większość: (zwykła większość głosów )
Wynik głosowania:
Głosów „Za
Za”-13
Głosów „Przeciw
Przeciw” -0
Głosów „Wstrzymujących
Wstrzymujących się”
się -3
Obecnych na sali w trakcie głosowania -16
Rozstrzygnięcie – wniosek nie został uwzględniony
Wniosek Nr 5
Forma głosowania: (głosowanie
(głosowanie jawne za pomoca terminali elektronicznych )
Wymagana większość: (zwykła większość głosów )
Wynik głosowania:
Głosów „Za
Za”-12
Głosów „Przeciw
Przeciw” -0
Głosów „Wstrzymujących
Wstrzymujących się”
się -4
Obecnych na sali w trakcie głosowania -16
Rozstrzygnięcie – wniosek nie został uwzględniony
Wniosek Nr 6
Forma głosowania: (głosowanie
(głosowanie jawne za pomoca terminali elektronicznych )
Wymagana większość: (zwykła większość głosów )
Wynik głosowania:
Głosów „Za
Za”-12
Głosów „Przeciw
Przeciw” -0
Głosów „Wstrzymujących
Wstrzymujących się”
się -4
Obecnych na sali w trakcie głosowania -16
Rozstrzygnięcie – wniosek nie został uwzględniony
Wniosek Nr 7
Forma głosowania: (głosowanie
(głosowanie jawne za pomoca terminali elektronicznych )
Wymagana większość: (zwykła większość głosów )
Wynik głosowania:
Głosów „Za
Za”-13
Głosów „Przeciw
Przeciw” -0
Głosów „Wstrzymujących
Wstrzymujących się”
się -3
Obecnych na sali w trakcie głosowania -16
Rozstrzygnięcie – wniosek nie został uwzględniony
Wniosek Nr 8
Forma głosowania: (głosowanie
(głosowanie jawne za pomoca terminali elektronicznych )
7/19
SE-RM.0002.1.2016
Wymagana większość: (zwykła większość głosów )
Wynik głosowania:
Głosów „Za
Za”-13
Głosów „Przeciw
Przeciw” -0
Głosów „Wstrzymujących
Wstrzymujących się”
się -3
Obecnych na sali w trakcie głosowania -16
Rozstrzygnięcie – wniosek nie został uwzględniony
Wniosek Nr 9
Forma głosowania: (głosowanie
(głosowanie jawne za pomoca terminali elektronicznych )
Wymagana większość: (zwykła większość głosów )
Wynik głosowania:
Głosów „Za
Za”-13
Głosów „Przeciw
Przeciw” -0
Głosów „Wstrzymujących
Wstrzymujących się”
się -3
Obecnych na sali w trakcie głosowania -16
Rozstrzygnięcie – wniosek nie został uwzględniony
Wniosek Nr 10
Forma głosowania: (głosowanie
(głosowanie jawne za pomoca terminali elektronicznych )
Wymagana większość: (zwykła większość głosów )
Wynik głosowania:
Głosów „Za
Za”-14
Głosów „Przeciw
Przeciw” -0
Głosów „Wstrzymujących
Wstrzymujących się”
się -2
Obecnych na sali w trakcie głosowania -16
Rozstrzygnięcie – wniosek nie został uwzględniony
Wniosek Nr 11
Forma głosowania: (głosowanie
(głosowanie jawne za pomoca terminali elektronicznych )
Wymagana większość: (zwykła większość głosów )
Wynik głosowania:
Głosów „Za
Za”-13
Głosów „Przeciw
Przeciw” -0
Głosów „Wstrzymujących
Wstrzymujących się”
się -3
Obecnych na sali w trakcie głosowania -16
Rozstrzygnięcie – wniosek nie został uwzględniony
Wniosek Nr 12
Forma głosowania: (głosowanie
(głosowanie jawne za pomoca terminali elektronicznych )
Wymagana większość: (zwykła większość głosów )
Wynik głosowania:
8/19
SE-RM.0002.1.2016
Głosów „Za
Za”-14
Głosów „Przeciw
Przeciw” -0
Głosów „Wstrzymujących
Wstrzymujących się”
się -2
Obecnych na sali w trakcie głosowania -16
Rozstrzygnięcie – wniosek nie został uwzględniony
Wniosek Nr 13
Forma głosowania: (głosowanie
(głosowanie jawne za pomoca terminali elektronicznych )
Wymagana większość: (zwykła większość głosów )
Wynik głosowania:
Głosów „Za
Za”-13
Głosów „Przeciw
Przeciw” -0
Głosów „Wstrzymujących
Wstrzymujących się”
się -3
Obecnych na sali w trakcie głosowania -16
Rozstrzygnięcie – wniosek nie został uwzględniony
Wniosek Nr 14
Forma głosowania: (głosowanie
(głosowanie jawne za pomoca terminali elektronicznych )
Wymagana większość: (zwykła większość głosów )
Wynik głosowania:
Głosów „Za
Za”-13
Głosów „Przeciw
Przeciw” -0
Głosów „Wstrzymujących
Wstrzymujących się”
się -3
Obecnych na sali w trakcie głosowania -16
Rozstrzygnięcie – wniosek nie został uwzględniony
Wniosek Nr 15
Forma głosowania: (głosowanie
(głosowanie jawne za pomoca terminali elektronicznych )
Wymagana większość: (zwykła większość głosów )
Wynik głosowania:
Głosów „Za
Za”-13
Głosów „Przeciw
Przeciw” -0
Głosów „Wstrzymujących
Wstrzymujących się”
się -3
Obecnych na sali w trakcie głosowania -16
Rozstrzygnięcie – wniosek nie został uwzględniony
Wniosek Nr 16
Forma głosowania: (głosowanie
(głosowanie jawne za pomoca terminali elektronicznych )
Wymagana większość: (zwykła większość głosów )
Wynik głosowania:
Głosów „Za
Za”-13
Głosów „Przeciw
Przeciw” -0
Głosów „Wstrzymujących
Wstrzymujących się”
się -3
9/19
SE-RM.0002.1.2016
Obecnych na sali w trakcie głosowania -16
Rozstrzygnięcie – wniosek nie został uwzględniony
Wniosek Nr 17
Forma głosowania: (głosowanie
(głosowanie jawne za pomoca terminali elektronicznych )
Wymagana większość: (zwykła większość głosów )
Wynik głosowania:
Głosów „Za
Za”-13
Głosów „Przeciw
Przeciw” -0
Głosów „Wstrzymujących
Wstrzymujących się”
się -3
Obecnych na sali w trakcie głosowania -16
Rozstrzygnięcie – wniosek nie został uwzględniony
Wniosek Nr 18
Forma głosowania: (głosowanie
(głosowanie jawne za pomoca terminali elektronicznych )
Wymagana większość: (zwykła większość głosów )
Wynik głosowania:
Głosów „Za
Za”-13
Głosów „Przeciw
Przeciw” -0
Głosów „Wstrzymujących
Wstrzymujących się”
się -3
Obecnych na sali w trakcie głosowania -16
Rozstrzygnięcie – wniosek nie został uwzględniony
Wniosek Nr 19
Forma głosowania: (głosowanie
(głosowanie jawne za pomoca terminali elektronicznych )
Wymagana większość: (zwykła większość głosów )
Wynik głosowania:
Głosów „Za
Za”-13
Głosów „Przeciw
Przeciw” -0
Głosów „Wstrzymujących
Wstrzymujących się”
się -3
Obecnych na sali w trakcie głosowania -16
Rozstrzygnięcie – wniosek nie został uwzględniony
Wniosek Nr 20
Forma głosowania: (głosowanie
(głosowanie jawne za pomoca terminali elektronicznych )
Wymagana większość: (zwykła większość głosów )
Wynik głosowania:
Głosów „Za
Za”-13
Głosów „Przeciw
Przeciw” -0
Głosów „Wstrzymujących
Wstrzymujących się”
się -3
Obecnych na sali w trakcie głosowania -16
Rozstrzygnięcie – wniosek nie został uwzględniony
Wniosek Nr 21
10/19
SE-RM.0002.1.2016
Forma głosowania: (głosowanie
(głosowanie jawne za pomoca terminali elektronicznych )
Wymagana większość: (zwykła większość głosów )
Wynik głosowania:
Głosów „Za
Za”-13
Głosów „Przeciw
Przeciw” -0
Głosów „Wstrzymujących
Wstrzymujących się”
się -3
Obecnych na sali w trakcie głosowania -16
Rozstrzygnięcie – wniosek nie został uwzględniony
Wniosek Nr 22
Forma głosowania: (głosowanie
(głosowanie jawne za pomoca terminali elektronicznych )
Wymagana większość: (zwykła większość głosów )
Wynik głosowania:
Głosów „Za
Za”-13
Głosów „Przeciw
Przeciw” -1
Głosów „Wstrzymujących
Wstrzymujących się”
się -2
Obecnych na sali w trakcie głosowania -16
Rozstrzygnięcie – wniosek nie został uwzględniony
Wniosek Nr 23
Forma głosowania: (głosowanie
(głosowanie jawne za pomoca terminali elektronicznych )
Wymagana większość: (zwykła większość głosów )
Wynik głosowania:
Głosów „Za
Za”-13
Głosów „Przeciw
Przeciw” -0
Głosów „Wstrzymujących
Wstrzymujących się”
się -3
Obecnych na sali w trakcie głosowania -16
Rozstrzygnięcie – wniosek nie został uwzględniony
Wniosek Nr 24
Forma głosowania: (głosowanie
(głosowanie jawne za pomoca terminali elektronicznych )
Wymagana większość: (zwykła większość głosów )
Wynik głosowania:
Głosów „Za
Za”-12
Głosów „Przeciw
Przeciw” -0
Głosów „Wstrzymujących
Wstrzymujących się”
się -4
Obecnych na sali w trakcie głosowania -16
Rozstrzygnięcie – wniosek nie został uwzględniony
Wniosek Nr 25
Forma głosowania: (głosowanie
(głosowanie jawne za pomoca terminali elektronicznych )
Wymagana większość: (zwykła większość głosów )
Wynik głosowania:
11/19
SE-RM.0002.1.2016
Głosów „Za
Za”-13
Głosów „Przeciw
Przeciw” Głosów „Wstrzymujących
Wstrzymujących się”
się -3
Obecnych na sali w trakcie głosowania Rozstrzygnięcie –
Projekt Nr 66
Forma głosowania: (głosowanie
(głosowanie jawne za pomoca terminali elektronicznych )
Wymagana większość: (zwykła większość głosów )
Wynik głosowania:
Głosów „Za
Za”-13
Głosów „Przeciw
Przeciw” -1
Głosów „Wstrzymujących
Wstrzymujących się”
się -2
Obecnych na sali w trakcie głosowania Rozstrzygnięcie – uchwała została podjęta.
Burmistrz Z. Szaleniec - bardzo chciałam podziękować za wynik głosowania. To studium to wytyczne, a teraz
będziemy w planach decydować szczegłółowo jak będziemy to realizować. Szczególnie dzieuję Pani
Barbarze Praszkiewicz, która wsadziła w to studium dużo zrdowia.
Projektant- również dziękuję za wszystko w imieniu całego zespołu. To opracownie daje impuls i ten impuls
musi być elastyczny dla planowania przestrzennego.
Ad 7.
Projekt nr 68
w sprawie zmian w Budżecie Miasta na 2016 rok
Jest pozytywna opinia komisji. Brak pytań radnych.
Forma głosowania: (głosowanie
(głosowanie jawne za pomoca terminali elektronicznych)
Wymagana większość: (zwykła większość głosów )
Wynik głosowania:
Głosów „Za
Za”-15
Głosów „Przeciw
Przeciw” -0
Głosów „Wstrzymujących
Wstrzymujących się”
się -1
Obecnych na sali w trakcie głosowania -16
Rozstrzygnięcie – uchwała zostąła podjęta
Ad. 8.
Projekt nr 69
w sprawie zmiany Wieloletniej Prognozy Finansowej Miasta Czeladź na lata 2016-2030
Forma głosowania: (głosowanie
(głosowanie jawne za pomoca terminali elektronicznych )
Wymagana większość: (zwykła większość głosów )
Wynik głosowania:
Głosów „Za
Za”-15
Głosów „Przeciw
Przeciw” -0
12/19
SE-RM.0002.1.2016
Głosów „Wstrzymujących
Wstrzymujących się”
się -1
Obecnych na sali w trakcie głosowania -16
Rozstrzygnięcie – uchwała została podjęta
Ad. 8a
Projekt dodany do porządku
Projekt Nr 77
W sprawie utworzenia Budżetu Obywatelskiego w Mieście Czeladź
Pozytywna opinia komisji statutowo regulaminowej.
Patryk Trybulec- po zmianach będzie większa możliwość głosowania nie tylko w mieści.
Irena Owczarz- trochę późno przedłożono taki projekt. 2 lata temu opracowała regulamin komisja specjalnie
do tego powołana. W poprzednim regulaminie był wskazany procent dot. budżetu a teraz jest
mowa
o dochodach własnych
Skarbnik- nie, w tym zakresie nic się nie zmieniło.
I. Owczarz- z tego co wiem to mieszkańcy już przygotowują wnioski. Uważam, że taki podział na okręgi był
korzystniejszy.
Patrycja Juszczyk- jak ten budżet ma mieć przełożenie na działalność charytatywną?
Patryk Trybulec- nie chcemy ograniczać się do zadań inwestycyjnych, tylko by mógł być projekt społeczny
czy charytatywny. Pan Radny Kita miał wątpliwości co do wieku osób jakie powinny głosować czy 16 czy 18
lat. Radny Penar mówił, że nadzór może mieć uwagi co do określenia wieku głosowania.
Irena Owczarz- z §3 powinna być akcja promocyjna by wnioskodawcy mogli zaprezentować swoje wnioski.
Jolanta Moćko- na takie spotkania przychodzi niewiele osób. Podział na dzielnice może był dobry ale ja
miałam dylemat na co głosować. Może dla miasta będzie lepiej jak damy mieszkańcom możliwość
głosowania na inwestycje które będą służyły wszystkim mieszkańcom.
Irena Owczarz-na os. Musiała było duże zainteresowanie. Na 1 projekt było oddane 400 głosów.
M. Kita- obie panie macie racje. Od 2 lat mówimy by skomasować te środki i by zrobić coś większego. Na
komisji zgłosiłem 2 wnioski, by głosowały osoby pełnoletnie. To, że nadzór mówi że można w każdym wieku
głosować to absurd. Wydajemy większe pieniądze a liczbę wymaganą do zgłoszenia wniosku zmniejszamy
i to jest nielogiczne.
S. Pisarek – są miasta, które mają 2% budżetu i ja byłbym za tym by ten budżet zwiększyć. W kilku
zadłużonych miastach mieszkańcy w ramach budżetu obywatelskiego składają wnioski by spłacić zadłużenie
miasta .
Jola Moćko- miasto ma zaspokajać potrzeby mieszkańców. Jak zaspokoi potrzeby mieszkańców to może
obniżyć podatki ale nie może lokować pieniędzy.
Radca prawny- kwintesencją takiego budżetu jest to by realizować zadania własne gminy.
Jolanta Moćko – w §5 jest zapis - pod warunkiem uzyskania odpowiedniej liczby głosów- co to znaczy.
Trybulec- ta kwestia nie była omawiana na komisji.
Radca prawny- tak jak ja to czytałem i rozumiałem jest to taka liczba głosów, która będzie kwalifikować ten
projekt do realizacji.
Irena Owczarz- to może nie powinno być tego zapisu wcale bo § 11 to reguluje.
13/19
SE-RM.0002.1.2016
J. Moćko- ile mamy czasu na przyjęcie tej uchwały?
Z-ca Burmistrz- jak nie przyjmiemy tej uchwały dzisiaj to nadal będziemy się opierali na tej starej uchwale
i trzeba będzie głosować jedynie w urzędzie przez 5 dni.
E. Fronczek – jest zapis, że zgłoszenia robi się na formularzu określonym w zarządzeniu. Tak więc mamy
czekać na nowe druki.
Radca prawny- jak będzie podjęta ta uchwała to wtedy Burmistrz określi nowe zarządzenie.
I.Owczarz- projekt budzi wiele wątpliwości, powinniśmy poczekać.
J. Moćko- taki wniosek może być uzasadniony i skalkulowany i trzeba go przedstawić.
Z-ca Burmistrza- ja taką uchwałę rekomenduję bo spotykamy się z niezadowoleniem mieszkańców co do
sposobu głosowania
E. Fronczek- zgadzam się że to utrudnienie by głosować w urzędzie. Czy w starej uchwale nie ma
możliwości głosowania elektronicznego?
Z-ca Burmistrza- nie
Monika Pawlik- czy możemy zrobić przerwę 10 minut.
J. Moćko- czy ktoś jest przeciwny- nie
--------- przerwa -----------------.
J. Moćko- otwieram obrady po przerwie.
S. Pisarek- proszę o przegłosowanie wniosku by z 0,5 % zwiększyć do 1% w § 3.
J. Moćko- proszę o wskazanie skąd wziąć dodatkowe środki
S. Pisarek - wycofuje wniosek.
Projekt Nr 77
W sprawie utworzenia Budżetu Obywatelskiego w Mieście Czeladź
Forma głosowania: (głosowanie
(głosowanie jawne za pomoca terminali elektronicznych )
Wymagana większość: (zwykła większość głosów )
Wynik głosowania:
Głosów „Za
Za”-11
Głosów „Przeciw
Przeciw” -2
Głosów „Wstrzymujących
Wstrzymujących się”
się -2
Obecnych na sali w trakcie głosowania -15
Rozstrzygnięcie – uchwała została podjęta.
Ad.9.
Projekt nr 56
w sprawie przyjęcia oceny zasobów pomocy społecznej za rok 2015
Forma głosowania: (głosowanie
(głosowanie jawne za pomoca terminali elektronicznych )
Wymagana większość: (zwykła większość głosów )
Wynik głosowania:
Głosów „Za
Za”-13
Głosów „Przeciw
Przeciw” -0
Głosów „Wstrzymujących
Wstrzymujących się”
się -1
Obecnych na sali w trakcie głosowania -14
Rozstrzygnięcie – uchwała została podjęta.
14/19
SE-RM.0002.1.2016
Ad. 10.
10.
Projekt nr 57
w sprawie przyjęcia sprawozdania z działalności Miejskiego Ośrodka Pomocy Społecznej w Czeladzi
Forma głosowania: (głosowanie
(głosowanie jawne za pomoca terminali elektronicznych )
Wymagana większość: (zwykła większość głosów )
Wynik głosowania:
Głosów „Za
Za”-13
Głosów „Przeciw
Przeciw” -0
Głosów „Wstrzymujących
Wstrzymujących się”
się -1
Obecnych na sali w trakcie głosowania -14
Rozstrzygnięcie – uchwała została podjęta.
Ad.11.
Projekt nr 58
w sprawie przyjęcia Gminnego Programu Wspierania Rodziny na lata 2016-2018
Forma głosowania: (głosowanie
(głosowanie jawne za pomoca terminali elektronicznych )
Wymagana większość: (zwykła większość głosów )
Wynik głosowania:
Głosów „Za
Za”-13
Głosów „Przeciw
Przeciw” -0
Głosów „Wstrzymujących
Wstrzymujących się”
się -1
Obecnych na sali w trakcie głosowania -14
Rozstrzygnięcie – uchwała została podjęta.
Ad. 12.
Projekt nr 59 B (EAPM)
w sprawie nadania statutu Miejskiej Biblioteki Publicznej im. Marii Nogajowej w Czeladzi
Forma głosowania: (głosowanie
(głosowanie jawne za pomoca terminali elektronicznych )
Wymagana większość: (zwykła większość głosów )
Wynik głosowania:
Głosów „Za
Za”-14
Głosów „Przeciw
Przeciw” -0
Głosów „Wstrzymujących
Wstrzymujących się”
się -0
Obecnych na sali w trakcie głosowania -14
Rozstrzygnięcie – uchwała została podjęta.
Ad. 13.
Projekt nr 61 A (EAPM)
w sprawie wprowadzenia opłaty prolongacyjnej na terenie Miasta Czeladź
Forma głosowania: (głosowanie
(głosowanie jawne za pomoca terminali elektronicznych )
Wymagana większość: (zwykła większość głosów )
Wynik głosowania:
15/19
SE-RM.0002.1.2016
Głosów „Za
Za”-13
Głosów „Przeciw
Przeciw” -0
Głosów „Wstrzymujących
Wstrzymujących się”
się -1
Obecnych na sali w trakcie głosowania -14
Rozstrzygnięcie – uchwała została podjęta.
Ad. 14
Projekt nr 63
w sprawie wyrażenia zgody na przystąpienie do partnerstwa z Powiatem Będzińskim oraz na udzielenie
pomocy finansowej na realizację zadania, którego liderem jest Powiat Będziński, polegającego na
przygotowaniu kompletnej dokumentacji projektowej dla zadania "Przebudowa ciągu drogowego na odcinku
rondo ul. Nowopogońska w Czeladzi - ul. Grota Roweckiego w Sosnowcu do skrzyżowania z DK 86"
W. MAĆKOWSKI- OPINIA KOMISJI POZYTYWNA.
Sprawa ta pojawiła się w 2013 r. Była to kwestia odbdowy nakładki. W tej kadencji udało się zaplanować
kompleksową budowę i włączyła się do tego gmina Sosnowiec. Przez pół roku zwodzono nas przez
Sosnowiec. Postawa Sosnowca jest zaskakująca i żałosna. Będziemy musieli sami wykonać ten projekt
i wykonać to zadanie w zakresie obejmującym nasze maisto i wykonać fragment ul. Sosnowieckiej.
I. Owczarz- dzisiaj miała być sesja w Sosnowcu, czy Rada Sosnowca nie przyjeła takiej uchwały.
Z-ca Burmistrza- porządek ich sesji nie obejmował takiego punktu.
W. Maćkowski- jest tu dyrektor zarządu dróg więc może się wypowiedzieć.
Z. Bazańska- w projekcie jest ul. Grota Roweckiego w Sosnowcu i jak to ma wyglądać.
Dyrektor Tomasz Kotuła- od pewnego czasu była koncepcja przebudowy tej drogi. Ta koncepcja obejmuje
odcinek od ronda na piaskach do drogi krajowej w Sosnowcu. Chodziło o dołożenie się przez Sosnowiec do
tych działań bo częśc drogi jest na jej terenie.
Z-ca Burmstrza- w pierwszej wersji odcinek od ronda do ronda na Orzeszkowej + 50 m na terenie
Sosnowca. Padła propozycja od powiatu że oni pokryją 50% 40 my i 10 Sosnowiec. Sosnowiec się wycofał
wiec uznaliśmy, że pokryjemy to po 50% z powiatem.
Forma głosowania: (głosowanie
(głosowanie jawne za pomocą terminali elektronicznych )
Wymagana większość: (zwykła większość głosów )
Wynik głosowania:
Głosów „Za
Za”-14
Głosów „Przeciw
Przeciw” -0
Głosów „Wstrzymujących
Wstrzymujących się”
się -0
Obecnych na sali w trakcie głosowania -14
Rozstrzygnięcie – uchwała została podjęta.
Ad. 15.
Projekt nr 67
w sprawie wyrażenia zgody na przeniesienie na rzecz gminy prawa własności do nieruchomości
oznaczonej nr działek 132/20 i 132/47 arkusz mapy 50 o powierzchni 921 m2, położonej przy ul.
Małobądzkiej w Czeladzi, w rozliczeniu opłaty adiacenckiej i zaległości z tego tytułu
16/19
SE-RM.0002.1.2016
Forma głosowania: (głosowanie
(głosowanie jawne za pomoca terminali elektronicznych )
Wymagana większość: (zwykła większość głosów )
Wynik głosowania:
Głosów „Za
Za”-14
Głosów „Przeciw
Przeciw” -0
Głosów „Wstrzymujących
Wstrzymujących się”
się -0
Obecnych na sali w trakcie głosowania -14
Rozstrzygnięcie – uchwała została podjęta.
Ad. 16.
Projekt nr 71 A (EAPM)
w sprawie przyjęcia „Regulaminu targowisk miejskich przy ul. Miasta Auby i ul. Grodzieckiej w Czeladzi”
Forma głosowania: (głosowanie
(głosowanie jawne za pomoca terminali elektronicznych )
Wymagana większość: (zwykła większość głosów )
Wynik głosowania:
Głosów „Za
Za”-14
Głosów „Przeciw
Przeciw” -0
Głosów „Wstrzymujących
Wstrzymujących się”
się -0
Obecnych na sali w trakcie głosowania -14
Rozstrzygnięcie – uchwała została podjęta.
Ad. 17.
Projekt nr 72 A (EAPM)
w sprawie zmiany uchwały nr XVII/253/2015 Rady Miejskiej w Czeladzi z dnia 26 listopada 2015 r w sprawie
ustalenia dziennych stawek opłaty targowej na terenie Miasta Czeladź na 2016 rok
Forma głosowania: (głosowanie
(głosowanie jawne za pomoca terminali elektronicznych )
Wymagana większość: (zwykła większość głosów )
Wynik głosowania:
Głosów „Za
Za”-14
Głosów „Przeciw
Przeciw” -0
Głosów „Wstrzymujących
Wstrzymujących się”
się -0
Obecnych na sali w trakcie głosowania -14
Rozstrzygnięcie – uchwała została podjęta.
Ad. 18.
Projekt nr 73 (EAPM)
sprawie zmiany Uchwały Nr V/40/2011 Rady Miejskiej w Czeladzi w sprawie trybu i sposobu powołania
i odwołania członków zespołu interdyscyplinarnego oraz szczegółowych warunków jego funkcjonowania
Forma głosowania: (głosowanie
(głosowanie jawne za pomoca terminali elektronicznych )
Wymagana większość: (zwykła większość głosów )
Wynik głosowania:
Głosów „Za
Za”-13
17/19
SE-RM.0002.1.2016
Głosów „Przeciw
Przeciw” -0
Głosów „Wstrzymujących
Wstrzymujących się”
się -0
Obecnych na sali w trakcie głosowania -13
Rozstrzygnięcie – uchwała została podjęta.
Ad 18 a
Dodane do porządku
Projekt nr 75
w sprawie wyrażenia zgody na zamianę części nieruchomości oznaczonej nr działki 62 arkusz mapy 18,
stanowiącej własność Gminy Czeladź na części nieruchomości oznaczonych numerami działek 60 i 61
arkusz mapy 18, stanowiących własność osób fizycznych
Forma głosowania: (głosowanie
(głosowanie jawne za pomoca terminali elektronicznych )
Wymagana większość: (zwykła większość głosów )
Wynik głosowania:
Głosów „Za
Za”-13
Głosów „Przeciw
Przeciw” -0
Głosów „Wstrzymujących
Wstrzymujących się”
się -0
Obecnych na sali w trakcie głosowania -13
Rozstrzygnięcie – uchwała została podjęta.
Ad. 18 b
Dodane do porządku
Projekt nr 76
w sprawie wyrażenia zgody na sprzedaż części niezabudowanej nieruchomości oznaczonej numerem działki
85 arkusz mapy 2, o powierzchni 18k. 10 000 m2, położonej w Czeladzi przy ulicy Przełajskiej
Anna MłodeckaMłodecka- pokazuje teren na mapie.
S. PisarekPisarek- prosze o zastanowienie się. Mieliśmy przedstawione strategiczne cele i była mowa o rzece.
Dzisiaj ta rzeka jest zniewolona ale to nie znaczy że tak ma być. Niesprzedajmy go teraz.
Forma głosowania: (głosowanie
(głosowanie jawne za pomoca terminali elektronicznych )
Wymagana większość: (zwykła większość głosów )
Wynik głosowania:
Głosów „Za
Za”-12
Głosów „Przeciw
Przeciw” -1
Głosów „Wstrzymujących
Wstrzymujących się”
się -1
Obecnych na sali w trakcie głosowania -14
Rozstrzygnięcie – uchwała została podjęta.
J. Moćko- w protokole będzemy odnotowywać o której radni opuszczają sesję.
Ad.
Ad 19 a.
Skarga Pana Stanisława W. (SE-RM. 1510.2.2016)
Projekt nr 74
w sprawie przekazania według właściwości skargi Pana Stanisława W. na działalność Czeladzkiego
18/19
SE-RM.0002.1.2016
Towarzystwa Budownictwa Społecznego
Forma głosowania: (głosowanie
(głosowanie jawne za pomoca terminali elektronicznych )
Wymagana większość: (zwykła większość głosów )
Wynik głosowania:
Głosów „Za
Za”-11
Głosów „Przeciw
Przeciw” -0
Głosów „Wstrzymujących
Wstrzymujących się”
się -0
Obecnych na sali w trakcie głosowania -11
Rozstrzygnięcie – uchwała została podjęta.
Ad. 20
Interpelacje/wnioski Radnych
S. Pisarek- co z dokumentem, co ze strategią rozwoju miasta przedstawioną na sesji w kwietniu?
Skarbnik- prace nad strategią trfają. Wnioski z Rady Gospodarczej zostąły przekazane firmie, która to
opracowuje.
S.Pisarek – sa sprawy, które nas dzielą ale są rzeczy ponad podziałami. Jako redaktor gazety złożyłem
propozycje by uczestniczyć w plebiscycie sportowca w Czeladzi. Mamy w Celadzi cięzarówców, szermierzy.
Lekkoatletów. Warto zrobić plebiscyt. Zaprosiłem do kapituły różnych ludzi w tym Pana Michalskiego.
Posiedzenie się odbyło, wyłoniono bardzo ciekawych ludzi. Zapraszam wszystkich kto czuje się
zainteresowany tematem. Druga część kapituły odbędzie sie w Cafe dessa. Mam apel i prośbę bo dobrze
byłoby dać tym osobom gratyfikację finansową. Gdyby cała rada dała po 100 zł. To juz byłoby coś. Moje
stowarzyszenie organizuje spływ rzeką więc zapraszam do udziału.
M. Kita- co do obecności na sesji. W wielu kadencjach byłem ale takie sprawy się nie zdarzały by radni
wychodzili z sesji bez zgłaszania tego przewodniczącej radny.
Ad. 21
Korespondencja/ informacje do wiadomości i do rozpatrzenia Rady
 Pismo posła Pawła Bańkowskiego dot. Rekompensaty utraconych dochodóa w przypadku
podniesienia kwoty wolnej od podatku dochodowego od osób fizycznych- odpowiedż Ministra
Finansów.
 Pismo od wicewojewody dot. pomników i grobów wojennych
 Sprawozdanie finansowo budzetowe z wykonania budzetu za okres od 01.01.2016 do 30.04.2016
 Uchwała Rady Miejskiej Ruda Śląska, Lędziny, w Żarnowcu, Bestwina, powiatu Gliwickiego,
Czerwionice- Leszczynach, Psary, powiat Wodzisławski, Goszowice, Toszku, Nedza, Niegowa,
w sprawie poparcia działań mających na celu utworzenie niezależnego Śląskiego Instytutu Onkologii
Ad. 22.
Zamkniecie obrad sesji.
Prowadzący obrady :
Przewodnicząca Rady Miejskiej
Jolanta Moćko
W załaczneniu:
1. Porządek obrad
2. Lista obecności.
3. Karty z wynikami z głosowania uchwał.
4. Korespondencja do wiadomości Rady.
5. Wnioski i interpelacje radnych (kserokopie)
--------------------- Protokół został napisany, dnia: 25 maja 2016 r.
 Protokolant : Katarzyna Gierat
 Protokół, został przedstawiony Radzie na sesji, dnia 23 czerwca 2016 r. Brak uwag do protokołu.
Protokół został przyjęty w przedstawionej formie.
19/19