wewmK I Gi wbqš¿Yvaxb cÖwZôvbmg~‡ni `vwqZ¡ cÖvß Kg©KZ©vM

Transkrypt

wewmK I Gi wbqš¿Yvaxb cÖwZôvbmg~‡ni `vwqZ¡ cÖvß Kg©KZ©vM
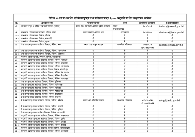
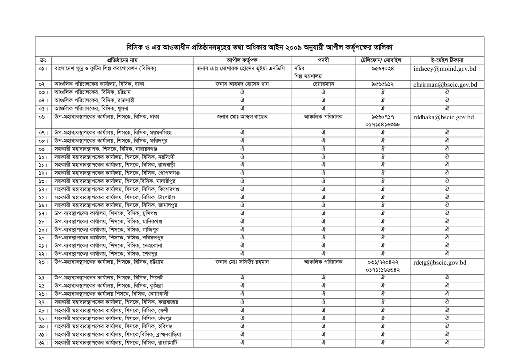
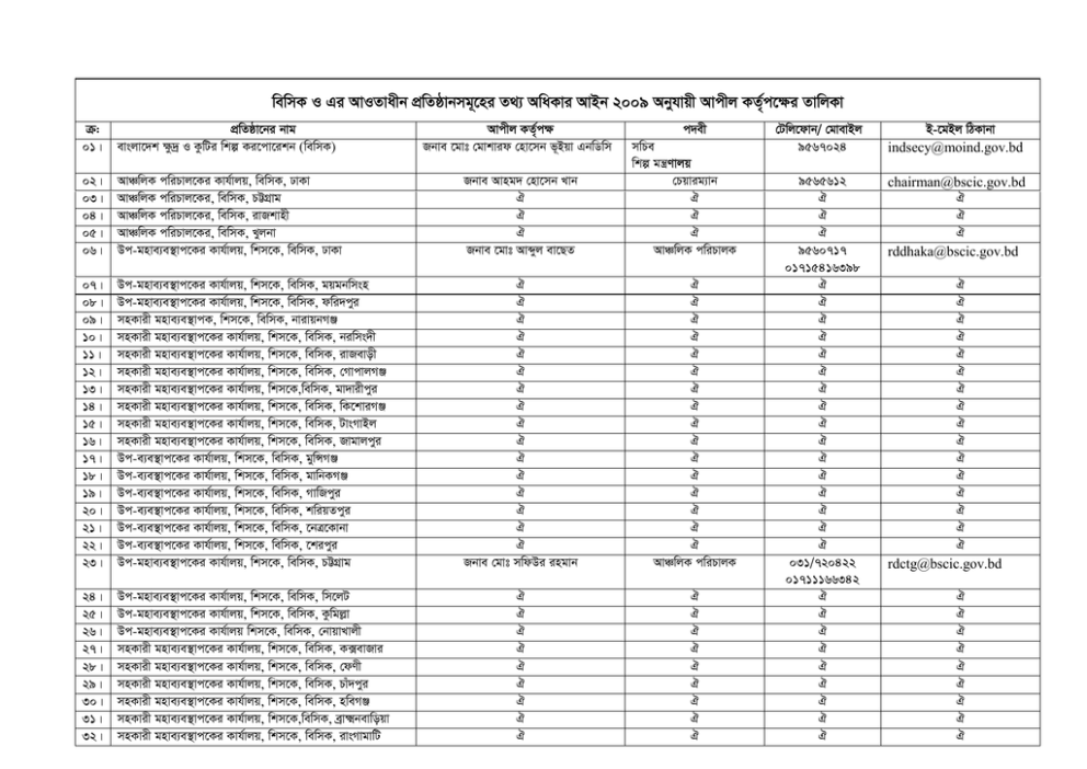
wewmK I Gi AvIZvaxb cÖwZôvbmg~‡ni Z_¨ AwaKvi AvBb 2009 Abyhvqx Avcxj KZ©„c‡ÿi ZvwjKv
µ:
01|
cÖwZôv‡bi bvg
evsjv‡`k ÿz`ª I KzwUi wkí Ki‡cv‡ikb (wewmK)
Avcxj KZ©„cÿ
Rbve ‡gvt †gvkvid †nv‡mb f~Bqv GbwWwm
02|
03|
04|
05|
06|
AvÂwjK cwiPvj‡Ki Kvh©vjq, wewmK, XvKv
AvÂwjK cwiPvj‡Ki, wewmK, PÆMÖvg
AvÂwjK cwiPvj‡Ki, wewmK, ivRkvnx
AvÂwjK cwiPvj‡Ki, wewmK, Lyjbv
Dc-gnve¨e¯’vc‡Ki Kvh©vjq, wkm‡K, wewmK, XvKv
Rbve Avng` †nv‡mb Lvb
H
H
H
Rbve ‡gvt Avãyj ev‡QZ
c`ex
mwPe
wkí gš¿Yvjq
†Pqvig¨vb
H
H
H
AvÂwjK cwiPvjK
07|
08|
09|
10|
11|
12|
13|
14|
15|
16|
17|
18|
19|
20|
21|
22|
23|
Dc-gnve¨e¯’vc‡Ki Kvh©vjq, wkm‡K, wewmK, gqgbwmsn
Dc-gnve¨e¯’vc‡Ki Kvh©vjq, wkm‡K, wewmK, dwi`cyi
mnKvix gnve¨e¯’vcK, wkm‡K, wewmK, bvivqbMÄ
mnKvix gnve¨e¯’vc‡Ki Kvh©vjq, wkm‡K, wewmK, biwms`x
mnKvix gnve¨e¯’vc‡Ki Kvh©vjq, wkm‡K, wewmK, ivRevox
mnKvix gnve¨e¯’vc‡Ki Kvh©vjq, wkm‡K, wewmK, †MvcvjMÄ
mnKvix gnve¨e¯’vc‡Ki Kvh©vjq, wkm‡K,wewmK, gv`vixcyi
mnKvix gnve¨e¯’vc‡Ki Kvh©vjq, wkm‡K, wewmK, wK‡kviMÄ
mnKvix gnve¨e¯’vc‡Ki Kvh©vjq, wkm‡K, wewmK, UvsMvBj
mnKvix gnve¨e¯’vc‡Ki Kvh©vjq, wkm‡K, wewmK, Rvgvjcyi
Dc-e¨e¯’vc‡Ki Kvh©vjq, wkm‡K, wewmK, gywÝMÄ
Dc-e¨e¯’vc‡Ki Kvh©vjq, wkm‡K, wewmK, gvwbKMÄ
Dc-e¨e¯’vc‡Ki Kvh©vjq, wkm‡K, wewmK, MvwRcyi
Dc-e¨e¯’vc‡Ki Kvh©vjq, wkm‡K, wewmK, kwiqZcyi
Dc-e¨e¯’vc‡Ki Kvh©vjq, wkm‡K, wewmK, ‡b·Kvbv
Dc-e¨e¯’vc‡Ki Kvh©vjq, wkm‡K, wewmK, ‡kicyi
Dc-gnve¨e¯’vc‡Ki Kvh©vjq, wkm‡K, wewmK, PÆMÖvg
H
H
H
H
H
H
H
H
H
H
H
H
H
H
H
H
Rbve †gvt mwdDi ingvb
H
H
H
H
H
H
H
H
H
H
H
H
H
H
H
H
AvÂwjK cwiPvjK
24|
25|
26|
27|
28|
29|
30|
31|
32|
Dc-gnve¨e¯’vc‡Ki Kvh©vjq, wkm‡K, wewmK, wm‡jU
Dc-gnve¨e¯’vc‡Ki Kvh©vjq, wkm‡K, wewmK, Kzwgjøv
Dc-gnve¨e¯’vc‡Ki Kvh©vjq wkm‡K, wewmK, †bvqvLvjx
mnKvix gnve¨e¯’vc‡Ki Kvh©vjq, wkm‡K, wewmK, K·evRvi
mnKvix gnve¨e¯’vc‡Ki Kvh©vjq, wkm‡K, wewmK, †dYx
mnKvix gnve¨e¯’vc‡Ki Kvh©vjq, wkm‡K, wewmK, Pvu`cyi
mnKvix gnve¨e¯’vc‡Ki Kvh©vjq, wkm‡K, wewmK, nweMÄ
mnKvix gnve¨e¯’vc‡Ki Kvh©vjq, wkm‡K,wewmK, eªv²bevwoqv
mnKvix gnve¨e¯’vc‡Ki Kvh©vjq, wkm‡K, wewmK, ivsMvgvwU
H
H
H
H
H
H
H
H
H
H
H
H
H
H
H
H
H
H
†Uwj‡dvb/ †gvevBj
9567024
B-‡gBj wVKvbv
[email protected]
9565612
H
H
H
9560717
01715416398
H
H
H
H
H
H
H
H
H
H
H
H
H
H
H
H
031/720422
01711166342
H
H
H
H
H
H
H
H
H
[email protected]
H
H
H
[email protected]
H
H
H
H
H
H
H
H
H
H
H
H
H
H
H
H
[email protected]
H
H
H
H
H
H
H
H
H
33|
34|
35|
36|
37|
38|
Dc-e¨e¯’vc‡Ki Kvh©vjq, wkm‡K, wewmK, ev›`ievb
Dc-e¨e¯’vc‡Ki Kvh©vjq, wkm‡K, wewmK, jÿxcyi
Dc-e¨e¯’vc‡Ki Kvh©vjq, wkm‡K, wewmK, LvMovQwo
Dc-e¨e¯’vc‡Ki Kvh©vjq, wkm‡K, wewmK, mybvgMÄ
Dc-e¨e¯’vc‡Ki Kvh©vjq, wkm‡K, wewmK, ‡gŠjfxevRvi
Dc-gnve¨e¯’vc‡Ki Kvh©vjq, wkm‡K, wewmK, ivRkvnx
H
H
H
H
H
Rbve †gvt AvjZvd †nv‡mb
H
H
H
H
H
AvÂwjK cwiPvjK
39|
40|
41|
42|
43|
44|
45|
46|
47|
48|
49|
50|
51|
52|
53|
54|
Dc-gnve¨e¯’vc‡Ki Kvh©vjq, wkm‡K, wewmK, e¸ov
Dc-gnve¨e¯’vc‡Ki Kvh©vjq, wkm‡K, wewmK, iscyi
Dc-gnve¨e¯’vc‡Ki Kvh©vjq, wkm‡K, wewmK, w`bvRcyi
Dc-gnve¨e¯’vc‡Ki Kvh©vjq, wkm‡K, wewmK,cvebv
mnKvix gnve¨e¯’vc‡Ki Kvh©vjq,wkm‡K, wewmK, wmivRMÄ
mnKvix gnve¨e¯’vc‡Ki Kvh©vjq, wkm‡K, wewmK,MvBevÜv
mnKvix gnve¨e¯’vc‡Ki Kvh©vjq, wkm‡K, wewmK, PvcvBbeveMÄ
Dc-e¨e¯’vc‡Ki Kvh©vjq, wkm‡K, wewmK,bv‡Uvi
Dc-e¨e¯’vc‡Ki Kvh©vjq, wkm‡K, wewmK,RqcyinvU
Dc-e¨e¯’vc‡Ki Kvh©vjq, wkm‡K, wewmK, cÂMo
Dc-e¨e¯’vc‡Ki Kvh©vjq, wkm‡K, wewmK, VvKziMvuI
D Dc-e¨e¯’vc‡Ki Kvh©vjq, wkm‡K, wewmK,buIqv
Dc-e¨e¯’vc‡Ki Kvh©vjq, wkm‡K, wewmK,KzwoMÖvg
Dc-e¨e¯’vc‡Ki Kvh©vjq, wkm‡K, wewmK,bxjdvgvix
Dc-e¨e¯’vc‡Ki Kvh©vjq, wkm‡K, wewmK,jvjgwinvU
Dc-gnve¨e¯’vc‡Ki Kvh©vjq, wkm‡K, wewmK,Lyjbv
H
H
H
H
H
H
H
H
H
H
H
H
H
H
H
Rbve AvKZvi †nv‡mb †eM
H
H
H
H
H
H
H
H
H
H
H
H
H
H
H
AvÂwjK cwiPvjK
55|
56|
57|
58|
59|
60|
61|
62|
63|
64|
65|
66|
67|
68|
69|
Dc-gnve¨e¯’vc‡Ki Kvh©vjq, wkm‡K, wewmK,Kzwóqv
Dc-gnve¨e¯’vc‡Ki Kvh©vjq, wkm‡K, wewmK, h‡kvi
Dc-gnve¨e¯’vc‡Ki Kvh©vjq, wkm‡K, wewmK, ewikvj
mnKvix gnve¨e¯’vc‡Ki Kvh©vjq, wkm‡K, wewmK, cUzqvLvjx
Dc-e¨e¯’vc‡Ki Kvh©vjq, wkm‡K, wewmK,SvjKvwV
Dc-e¨e¯’vc‡Ki Kvh©vjq, wkm‡K, wewmK,mvZÿxiv
Dc-e¨e¯’vc‡Ki Kvh©vjq, wkm‡K, wewmK, wSbvB`n
Dc-e¨e¯’vc‡Ki Kvh©vjq, wkm‡K, wewmK, ei¸bv
Dc-e¨e¯’vc‡Ki Kvh©vjq, wkm‡K, wewmK, PzqvWvsMv
Dc-e¨e¯’vc‡Ki Kvh©vjq, wkm‡K, wewmK, †g‡nicyi
Dc-e¨e¯’vc‡Ki Kvh©vjq, wkm‡K, wewmK, ev‡MinvU
Dc-e¨e¯’vc‡Ki Kvh©vjq, wkm‡K, wewmK, bovBj
Dc-e¨e¯’vc‡Ki Kvh©vjq, wkm‡K, wewmK, †fvjv
Dc-e¨e¯’vc‡Ki Kvh©vjq, wkm‡K, wewmK, wc‡ivRcyi
Dc-e¨e¯’vc‡Ki Kvh©vjq, wkm‡K, wewmK, gv¸ov
H
H
H
H
H
H
H
H
H
H
H
H
H
H
H
H
H
H
H
H
H
H
H
H
H
H
H
H
H
H
H
H
H
H
H
0721/761122
01715181366
H
H
H
H
H
H
H
H
H
H
H
H
H
H
H
041/732125
01726026090
H
H
H
H
H
H
H
H
H
H
H
H
H
H
H
H
H
H
H
H
rdrajshahi.gov.bd
H
H
H
H
H
H
H
H
H
H
H
H
H
H
H
[email protected]
H
H
H
H
H
H
H
H
H
H
H
H
H
H
H