Informacja o regionach geograficznych, które są objęte II rundą

Transkrypt

Informacja o regionach geograficznych, które są objęte II rundą
Informacja o regionach geograficznych, które są objęte II rundą składania wniosków
o mobilność z krajami partnerskimi (projekty KA-107)
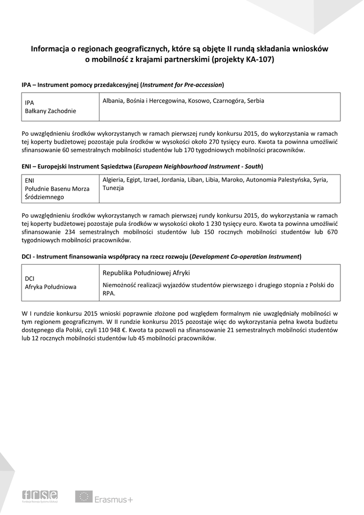
IPA – Instrument pomocy przedakcesyjnej (Instrument for Pre-accession)
IPA
Bałkany Zachodnie
Albania, Bośnia i Hercegowina, Kosowo, Czarnogóra, Serbia
Po uwzględnieniu środków wykorzystanych w ramach pierwszej rundy konkursu 2015, do wykorzystania w ramach
tej koperty budżetowej pozostaje pula środków w wysokości około 270 tysięcy euro. Kwota ta powinna umożliwić
sfinansowanie 60 semestralnych mobilności studentów lub 170 tygodniowych mobilności pracowników.
ENI – Europejski Instrument Sąsiedztwa (European Neighbourhood Instrument - South)
ENI
Południe Basenu Morza
Śródziemnego
Algieria, Egipt, Izrael, Jordania, Liban, Libia, Maroko, Autonomia Palestyńska, Syria,
Tunezja
Po uwzględnieniu środków wykorzystanych w ramach pierwszej rundy konkursu 2015, do wykorzystania w ramach
tej koperty budżetowej pozostaje pula środków w wysokości około 1 230 tysięcy euro. Kwota ta powinna umożliwić
sfinansowanie 234 semestralnych mobilności studentów lub 150 rocznych mobilności studentów lub 670
tygodniowych mobilności pracowników.
DCI - Instrument finansowania współpracy na rzecz rozwoju (Development Co-operation Instrument)
DCI
Afryka Południowa
Republika Południowej Afryki
Niemożność realizacji wyjazdów studentów pierwszego i drugiego stopnia z Polski do
RPA.
W I rundzie konkursu 2015 wnioski poprawnie złożone pod względem formalnym nie uwzględniały mobilności w
tym regionem geograficznym. W II rundzie konkursu 2015 pozostaje więc do wykorzystania pełna kwota budżetu
dostępnego dla Polski, czyli 110 948 €. Kwota ta pozwoli na sfinansowanie 21 semestralnych mobilności studentów
lub 12 rocznych mobilności studentów lub 45 mobilności pracowników.