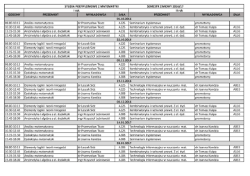
rozkład zajęć na semestr zimowy 2016/17

Transkrypt

rozkład zajęć na semestr zimowy 2016/17
GODZINY
08.00-10.15
10.30-12.45
13.15-15.30
15.45-18.00
08.00-10.15
10.30-12.45
13.15-15.30
15.45-18.00
08.00-10.15
10.30-12.45
13.15-15.30
15.45-18.00
08.00-10.15
10.30-12.45
13.15-15.30
15.45-18.00
08.00-10.15
10.30-12.45
13.15-15.30
15.45-18.00
08.00-10.15
10.30-12.45
13.15-15.30
15.45-18.00
08.00-10.15
10.30-12.45
13.15-15.30
15.45-18.00
STUDIA PODYPLOMOWE Z MATEMATYKI
SEMESTR ZIMOWY 2016/17
I rok
II rok
PRZEDMIOT
WYKŁADOWCA
SALA
PRZEDMIOT
01.10.2016
Analiza matematyczna
dr Przemysław Tkacz
A225 Seminarium dyplomowe
Analiza matematyczna
dr Przemysław Tkacz
A225 Kombinatoryka i rachunek prawd. z el. dyd.
Arytmetyka i algebra z el. dydaktyki
mgr Krzysztof Leśniewski
A231 Kombinatoryka i rachunek prawd. z el. dyd.
Arytmetyka i algebra z el. dydaktyki
mgr Krzysztof Leśniewski
A231 Kombinatoryka i rachunek prawd. z el. dyd.
22.10.2016
Elementy logiki i teorii mnogości
dr Leszek Sidz
A225 Seminarium dyplomowe
Elementy logiki i teorii mnogości
dr Leszek Sidz
A225 Seminarium dyplomowe
Arytmetyka i algebra z el. dydaktyki
mgr Krzysztof Leśniewski
A308 Seminarium dyplomowe
Arytmetyka i algebra z el. dydaktyki
mgr Krzysztof Leśniewski
A308 Seminarium dyplomowe
05.11.2016
Analiza matematyczna
dr Przemysław Tkacz
A225 Kombinatoryka i rachunek prawd. z el. dyd.
Analiza matematyczna
dr Przemysław Tkacz
A225 Kombinatoryka i rachunek prawd. z el. dyd.
Dydaktyka matematyki
dr Joanna Kandzia
A308 Kombinatoryka i rachunek prawd. z el. dyd.
Dydaktyka matematyki
dr Joanna Kandzia
A308 Seminarium dyplomowe
19.11.2016
Elementy logiki i teorii mnogości
dr Leszek Sidz
A225 Technologia Informacyjna w nauczaniu mat.
Elementy logiki i teorii mnogości
dr Leszek Sidz
A225 Technologia Informacyjna w nauczaniu mat.
Dydaktyka matematyki
dr Joanna Kandzia
A308 Seminarium dyplomowe
Dydaktyka matematyki
dr Joanna Kandzia
A308 Seminarium dyplomowe
03.12.2016
Elementy logiki i teorii mnogości
dr Leszek Sidz
A225 Kombinatoryka i rachunek prawd. Z el. dyd.
Elementy logiki i teorii mnogości
dr Leszek Sidz
A225 Kombinatoryka i rachunek prawd. Z el. dyd.
Arytmetyka i algebra z el. dydaktyki
mgr Krzysztof Leśniewski
A308 Kombinatoryka i rachunek prawd. z el. dyd.
Arytmetyka i algebra z el. dydaktyki
mgr Krzysztof Leśniewski
A308 Seminarium dyplomowe
14.01.2017
Analiza matematyczna
dr Przemysław Tkacz
A225 Technologia Informacyjna w nauczaniu mat.
Analiza matematyczna
dr Przemysław Tkacz
A225 Technologia Informacyjna w nauczaniu mat.
Dydaktyka matematyki
dr Joanna Kandzia
A308 Seminarium dyplomowe
Dydaktyka matematyki
dr Joanna Kandzia
A308 Seminarium dyplomowe
28.01.2017
Elementy logiki i teorii mnogości
dr Leszek Sidz
A106 Technologia Informacyjna w nauczaniu mat.
Dydaktyka matematyki
dr Joanna Kandzia
A106 Kombinatoryka i rachunek prawd. Z el. dyd.
Analiza matematyczna
dr Przemysław Tkacz
A106 Technologia Informacyjna w nauczaniu mat.
Arytmetyka i algebra z el. dydaktyki
mgr Krzysztof Leśniewski
A106 Technologia Informacyjna w nauczaniu mat.
WYKŁADOWCA
promotorzy
dr Tomasz Kulpa
dr Tomasz Kulpa
dr Tomasz Kulpa
SALA
A116
A116
A116
promotorzy
promotorzy
promotorzy
promotorzy
dr Tomasz Kulpa
dr Tomasz Kulpa
dr Tomasz Kulpa
promotorzy
A116
A116
A116
dr Joanna Kandzia
dr Joanna Kandzia
promotorzy
promotorzy
A033
A033
dr Tomasz Kulpa
dr Tomasz Kulpa
dr Tomasz Kulpa
promotorzy
A116
A116
A116
dr Joanna Kandzia
dr Joanna Kandzia
promotorzy
promotorzy
A033
A033
dr Joanna Kandzia
dr Tomasz Kulpa
dr Joanna Kandzia
dr Joanna Kandzia
A033
A116
A033
A033