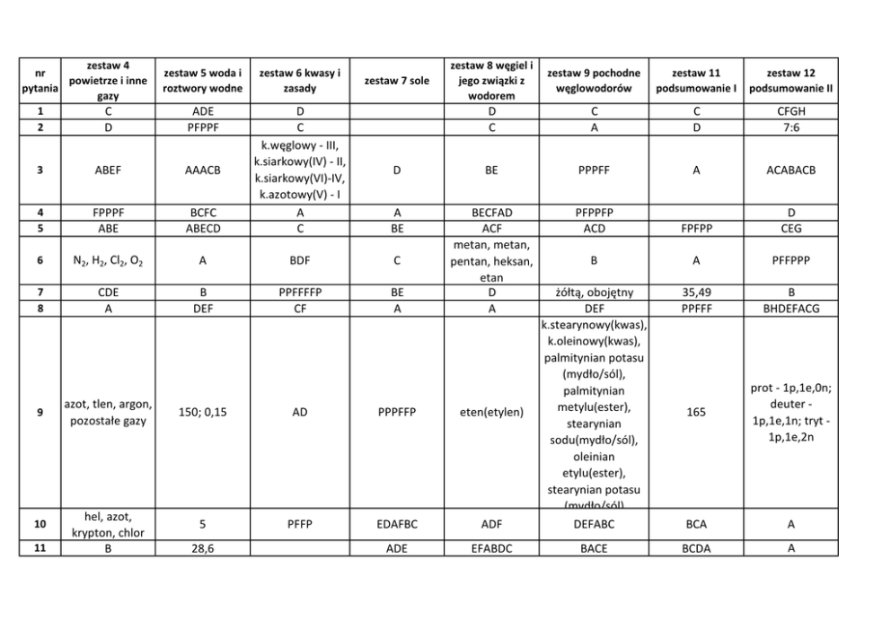
odp chemia.xlsx

Transkrypt

odp chemia.xlsx
zestaw 4
nr
powietrze i inne
pytania
gazy
1
C
2
D
zestaw 5 woda i
roztwory wodne
zestaw 6 kwasy i
zasady
ADE
PFPPF
zestaw 8 węgiel i
jego związki z
wodorem
zestaw 9 pochodne
węglowodorów
zestaw 11
podsumowanie I
zestaw 12
podsumowanie II
D
C
C
A
C
D
CFGH
7:6
D
BE
PPPFF
A
ACABACB
A
BE
BECFAD
ACF
metan, metan,
pentan, heksan,
etan
D
A
PFPPFP
ACD
FPFPP
D
CEG
B
A
PFFPPP
35,49
PPFFF
B
BHDEFACG
165
prot - 1p,1e,0n;
deuter 1p,1e,1n; tryt 1p,1e,2n
BCA
A
BCDA
A
zestaw 7 sole
3
ABEF
AAACB
4
5
FPPPF
ABE
BCFC
ABECD
D
C
k.węglowy - III,
k.siarkowy(IV) - II,
k.siarkowy(VI)-IV,
k.azotowy(V) - I
A
C
6
N2, H2, Cl2, O2
A
BDF
C
7
8
CDE
A
B
DEF
PPFFFFP
CF
BE
A
9
10
11
azot, tlen, argon,
pozostałe gazy
hel, azot,
krypton, chlor
B
150; 0,15
AD
PPPFFP
eten(etylen)
5
PFFP
EDAFBC
ADF
żółtą, obojętny
DEF
k.stearynowy(kwas),
k.oleinowy(kwas),
palmitynian potasu
(mydło/sól),
palmitynian
metylu(ester),
stearynian
sodu(mydło/sól),
oleinian
etylu(ester),
stearynian potasu
(mydło/sól)
DEFABC
ADE
EFABDC
BACE
28,6
12
13
BC
D
14
15
DACB
A
ADE
DCFBEA
BCDG
DEBCFA
D
I-kwasowy,
II-obojętny,
III-zasadowy
PFFP
A
siarczek potasu,
siarczan(VI)
miedzi(II),
chlorek
żelaza(III),
azotan(V) glinu,
węglan
ołowiu(II),
fosforan(V) sodu
PPPFF
FFFPPP
ACF
BBDC
CEGFH
BA
DABC
butan
BDE
ABC
C
FPFPP
B
B
ACBBA