EWIDENCJA ZAWARTYCH UMÓW SMT

Transkrypt

EWIDENCJA ZAWARTYCH UMÓW SMT
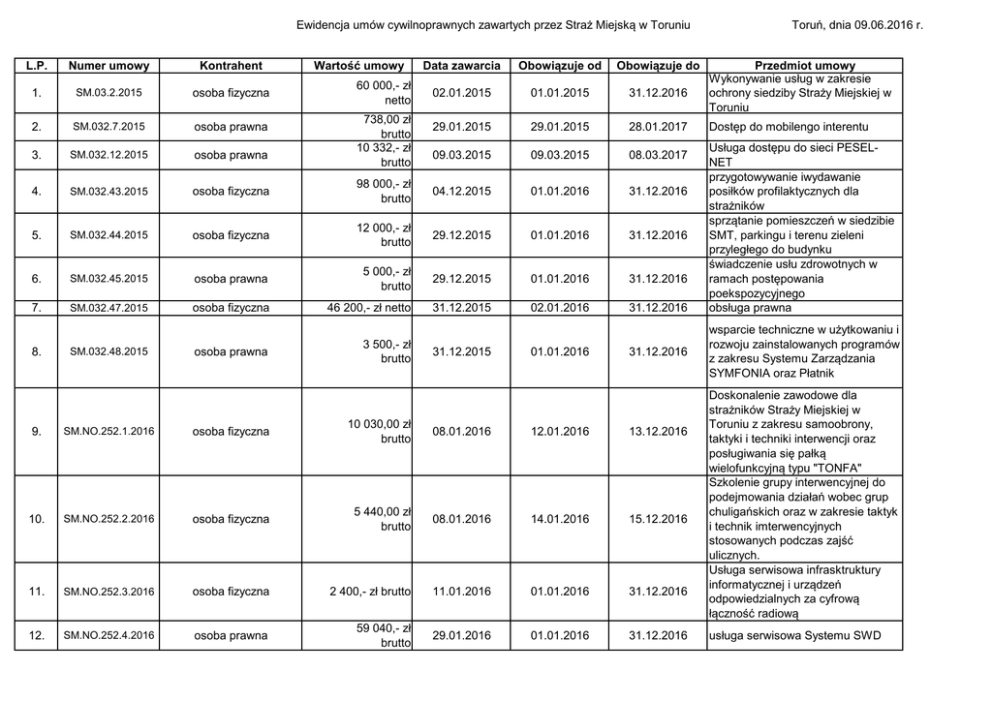
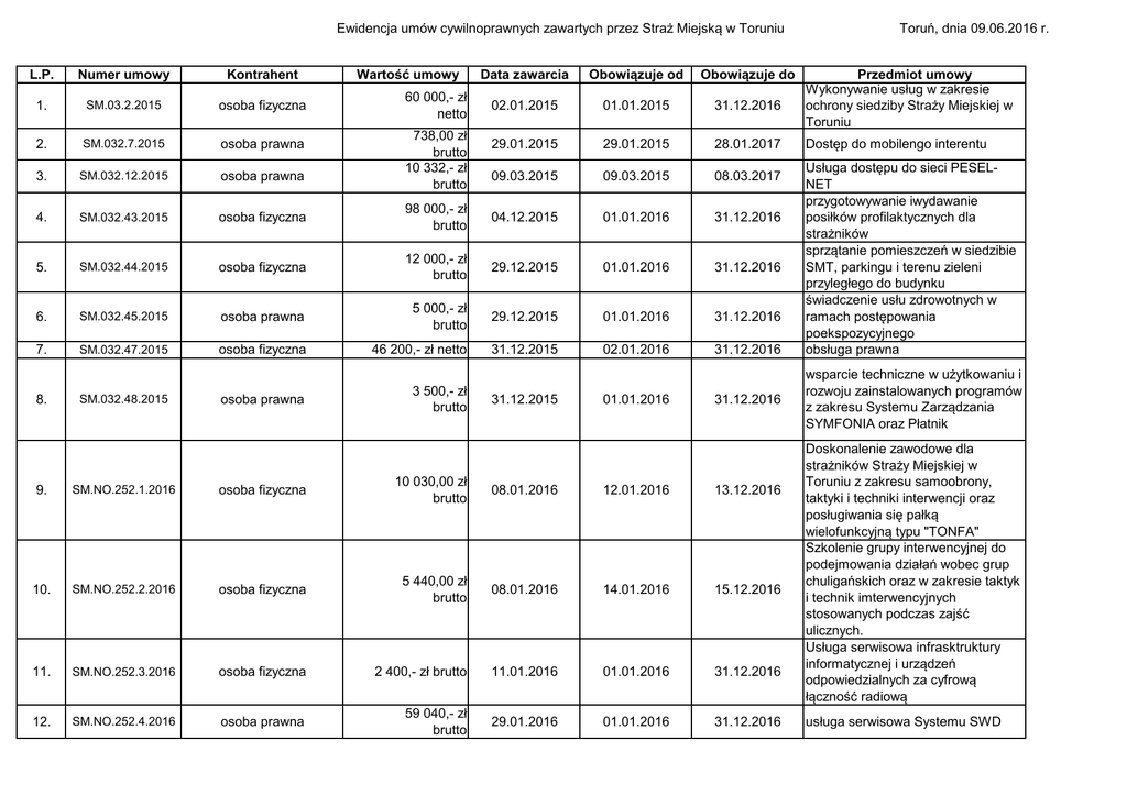
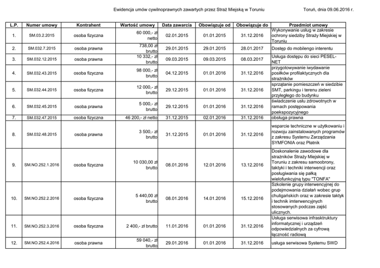
Ewidencja umów cywilnoprawnych zawartych przez Straż Miejską w Toruniu
L.P.
Numer umowy
Kontrahent
1.
SM.03.2.2015
osoba fizyczna
2.
SM.032.7.2015
osoba prawna
3.
SM.032.12.2015
osoba prawna
4.
SM.032.43.2015
osoba fizyczna
5.
SM.032.44.2015
6.
7.
8.
Data zawarcia
Obowiązuje od
Obowiązuje do
02.01.2015
01.01.2015
31.12.2016
29.01.2015
29.01.2015
28.01.2017
09.03.2015
09.03.2015
08.03.2017
98 000,- zł
brutto
04.12.2015
01.01.2016
31.12.2016
osoba fizyczna
12 000,- zł
brutto
29.12.2015
01.01.2016
31.12.2016
SM.032.45.2015
osoba prawna
5 000,- zł
brutto
29.12.2015
01.01.2016
31.12.2016
SM.032.47.2015
osoba fizyczna
46 200,- zł netto
31.12.2015
02.01.2016
31.12.2016
osoba prawna
3 500,- zł
brutto
SM.032.48.2015
Wartość umowy
60 000,- zł
netto
738,00 zł
brutto
10 332,- zł
brutto
31.12.2015
01.01.2016
31.12.2016
9.
SM.NO.252.1.2016
osoba fizyczna
10 030,00 zł
brutto
08.01.2016
12.01.2016
13.12.2016
10.
SM.NO.252.2.2016
osoba fizyczna
5 440,00 zł
brutto
08.01.2016
14.01.2016
15.12.2016
11.
SM.NO.252.3.2016
osoba fizyczna
2 400,- zł brutto
11.01.2016
01.01.2016
31.12.2016
12.
SM.NO.252.4.2016
osoba prawna
59 040,- zł
brutto
29.01.2016
01.01.2016
31.12.2016
Toruń, dnia 09.06.2016 r.
Przedmiot umowy
Wykonywanie usług w zakresie
ochrony siedziby Straży Miejskiej w
Toruniu
Dostęp do mobilengo interentu
Usługa dostępu do sieci PESELNET
przygotowywanie iwydawanie
posiłków profilaktycznych dla
strażników
sprzątanie pomieszczeń w siedzibie
SMT, parkingu i terenu zieleni
przyległego do budynku
świadczenie usłu zdrowotnych w
ramach postępowania
poekspozycyjnego
obsługa prawna
wsparcie techniczne w użytkowaniu i
rozwoju zainstalowanych programów
z zakresu Systemu Zarządzania
SYMFONIA oraz Płatnik
Doskonalenie zawodowe dla
strażników Straży Miejskiej w
Toruniu z zakresu samoobrony,
taktyki i techniki interwencji oraz
posługiwania się pałką
wielofunkcyjną typu "TONFA"
Szkolenie grupy interwencyjnej do
podejmowania działań wobec grup
chuligańskich oraz w zakresie taktyk
i technik imterwencyjnych
stosowanych podczas zajść
ulicznych.
Usługa serwisowa infrasktruktury
informatycznej i urządzeń
odpowiedzialnych za cyfrową
łączność radiową
usługa serwisowa Systemu SWD
Ewidencja umów cywilnoprawnych zawartych przez Straż Miejską w Toruniu
L.P.
Numer umowy
Kontrahent
13.
SM.NO.252.6.2016
osoba prawna
14.
SM.NO.252.7.2016
osoba fizyczna
15.
SM.NO.252.8.2016
osoba prawna
16.
SM.NO.252.9.2016
osoba fizyczna
17.
SM.NO.0611.12.2016
osoba prawna
18.
SM.NO.252.10.2016
osoba prawna
19.
SM.NO.252.11.2016
osoba prawna
20.
SM.NO.252.12.2016
osoba fizyczna
21.
SM.NO.252.14.2016
osoba prawna
22.
SM.NO.252.16.2016
osoba fizyczna
23.
SM.NO.252.17.2016
osoba fizyczna
24.
SM.NO.252.18.2016
osoba prawna
25.
SM.NO.252.19.2016
osoba fizyczna
26.
SM.NO.0611.14.2016
osoba prawna
Wartość umowy
12 000,- zł
netto
73 800,- zł
brutto
25 000,- zł
netto
102 702,54 zł
brutto
8 300,- zł
netto
56 181,85 zł
brutto
749,10 zł
brutto
19 120,- zł
brutto
5 915,07 zł
brutto
2 031,36 zł
brutto
3 388,65 zł
brutto
762,0- zł
brutto
2 767,50 zł
brutto
800,- zł
brutto
Data zawarcia
Obowiązuje od
Obowiązuje do
01.02.2016
01.02.2016
31.12.2016
11.04.2016
11.04.2016
10.04.2017
10.02.2016
10.02.2016
31.12.2016
27.04.2016
01.05.2016
30.04.2017
07.04.2016
12.05.2016
11.05.2019
24.05.2016
24.05.2016
31.12.2016
25.05.2016
25.05.2016
31.12.2016
25.05.2016
25.05.2016
31.12.2016
01.06.2016
01.06.2016
31.12.2016
31.05.2016
31.05.2016
31.12.2016
25.05.2016
25.05.2016
31.12.2016
01.06.2016
01.06.2016
31.12.2016
25.05.2016
25.05.2016
31.12.2016
20.06.2016
20.06.2016
20.11.2016
Toruń, dnia 09.06.2016 r.
Przedmiot umowy
zakup środków czystości
Naprawy bieżące pojazdów
służbowych Straży Miejskiej
Sprzedaż tuszy i tonerów do
drukarek znajdujących się na
wyposażeniu Straży Miejskiej w
Toruniu
Sprzedaż paliw do pojazdów
służbowych Straży Miejskiej
usługi pocztowe
zakup elementów umundurowania
zgodnie z zawartą umową
zakup elementów umundurowania
zgodnie z zawartą umową
zakup elementów umundurowania
zgodnie z zawartą umową
zakup elementów umundurowania
zgodnie z zawartą umową
zakup elementów umundurowania
zgodnie z zawartą umową
zakup elementów umundurowania
zgodnie z zawartą umową
zakup elementów umundurowania
zgodnie z zawartą umową
zakup elementów umundurowania
zgodnie z zawartą umową
szkolenie w zakresie mediacji