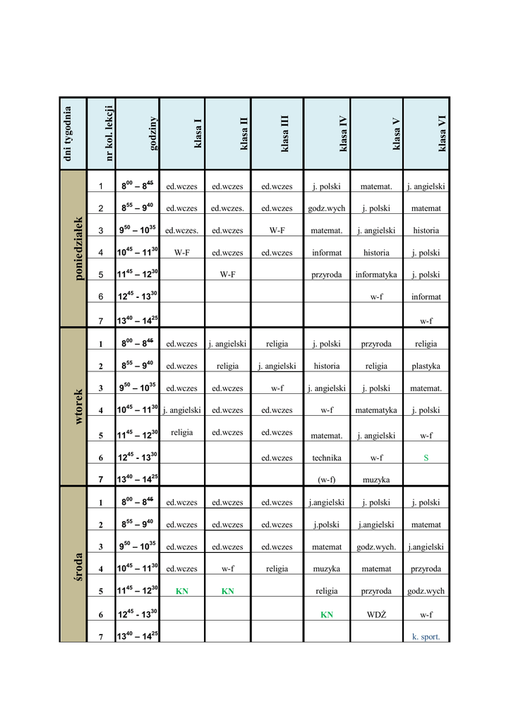
p on ied ziałek w torek środ a

Transkrypt

p on ied ziałek w torek środ a
klasa VI
klasa V
klasa IV
klasa III
klasa II
klasa I
godziny
nr kol. lekcji
dni tygodnia
poniedziałek
wtorek
środa
1
800 – 845
ed.wczes
ed.wczes
ed.wczes
j. polski
matemat.
j. angielski
2
855 – 940
ed.wczes
ed.wczes.
ed.wczes
godz.wych
j. polski
matemat
3
950 – 1035
ed.wczes.
ed.wczes
W-F
matemat.
j. angielski
historia
4
1045 – 1130
W-F
ed.wczes
ed.wczes
informat
historia
j. polski
5
11 – 12
przyroda
informatyka
j. polski
6
1245 - 1330
w-f
informat
7
1340 – 1425
1
800 – 845
ed.wczes
j. angielski
religia
j. polski
przyroda
religia
2
855 – 940
ed.wczes
religia
j. angielski
historia
religia
plastyka
3
950 – 1035
ed.wczes
ed.wczes
w-f
j. angielski
j. polski
matemat.
4
1045 – 1130 j. angielski
ed.wczes
ed.wczes
w-f
matematyka
j. polski
5
1145 – 1230
ed.wczes
ed.wczes
matemat.
j. angielski
w-f
6
1245 - 1330
ed.wczes
technika
w-f
S
7
13 – 14
(w-f)
muzyka
1
800 – 845
2
45
30
40
W-F
w-f
religia
25
ed.wczes
ed.wczes
ed.wczes
j.angielski
j. polski
j. polski
8 –9
ed.wczes
ed.wczes
ed.wczes
j.polski
j.angielski
matemat
3
950 – 1035
ed.wczes
ed.wczes
ed.wczes
matemat
godz.wych.
j.angielski
4
1045 – 1130 ed.wczes
w-f
religia
muzyka
matemat
przyroda
5
1145 – 1230
KN
religia
przyroda
godz.wych
6
12 - 13
KN
WDŻ
w-f
7
1340 – 1425
55
45
40
30
KN
k. sport.
czwartek
piątek
1
800 – 845
2
ed.wczes
religia
ed.wczes.
przyroda
w-f
historia
8 –9
ed.wczes
ed.wczes
ed.wczes
j. polski
w-f
religia
3
950 – 1035
w.f./ ed.w
ed.wczes
ed.wczes
W-F
j. polski
przyroda
4
10 – 11
5
11 – 12
6
1245 – 1330
7
1340 –1425
8
1435–1520
1
800 – 845
ed.wczes
ed.wczes
2
855 – 940
ed.wczes
3
950 – 1035
4
1045 – 1130
5
1145 – 1230 j.angielski
6
1245 - 1330
7
1340 – 1425
55
40
45
30
zaj. komp
ed.wczes
ed.wczes
matemat.
historia
muzyka
45
30
KN
w-f
KN
religia
plastyka
matemat.
KN
KN
z..rozw/wyr
technika
j. polski
lek. śpiewu
KNzaj. wyr,
lek. śpiewu
j. angielski
j. polski
matemat
przyroda
ed.wczes
ed.wczes
j. angielski
j. polski
matemat.
ed.wczes
ed.wczes
ed.wczes
w-f
j. polski
j. angielski
religia
j. angielski
ed.wczes
plastyka
przyroda
w-f
w-f
przyroda
religia
j. polski
liczba godzin
szkolny zespół muzyczny
22
23
23
27
30/29
30
Godziny pracy świetlicy szkolnej
dni tyg.
od
poniedziałek
9
30
wtorek
10
00
środa
9
30
czwartek
10
00
piątek
930
45
30
prace organiza.
konsultacje
muzyka
muzyka
prace organiza.
45
30
zajęcia ruchowe
zajęcia ruchowe
zajęcia ruchowe
zajęcia ruchowe
zajęcia ruchowe
45
30
odrabianie zadań
rytmika
odrabianie zadań
rytmika
zespół muzyczny
40
25
nauka gry-gitara
muzyka
nauka gry-pianino
lekcja śpiewu
nauka gry-pianino
30
00
gry, rysowanie
10 – 11
11 – 12
12 - 13
13 – 14
14 – 15
do
15
00
gry, rysowanie
15
00
gry, rysowanie
15
00
gry, rysowanie
15
00
gry, rysowanie
1500