nazwa produktu gramatura 1 rodzynki 100g 2 budyń czekoladowy

Transkrypt

nazwa produktu gramatura 1 rodzynki 100g 2 budyń czekoladowy
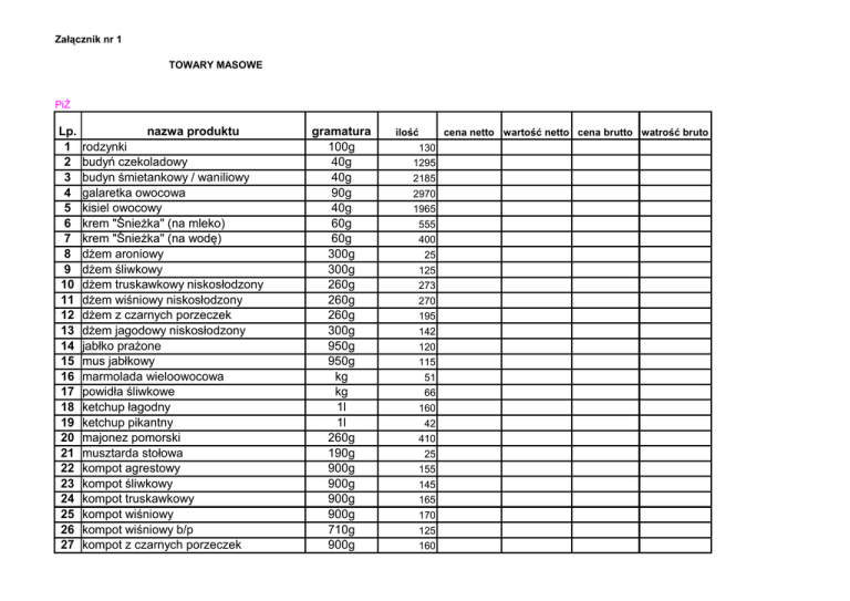
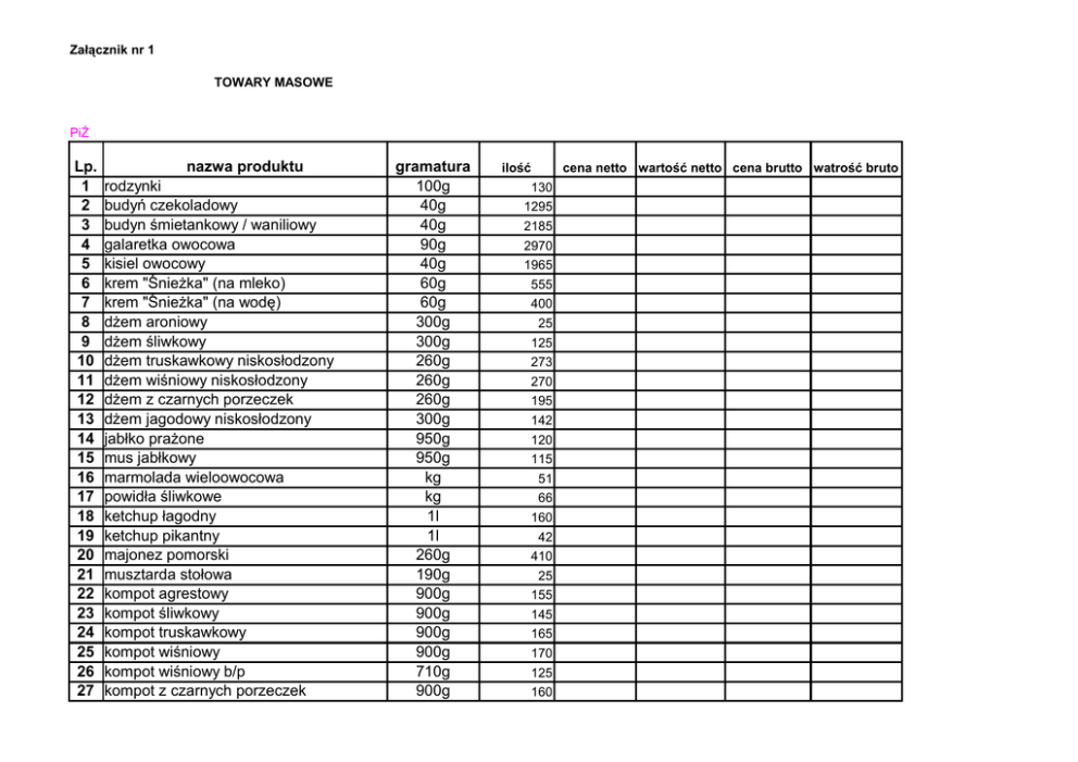
Załącznik nr 1
TOWARY MASOWE
PiŻ
Lp.
1
2
3
4
5
6
7
8
9
10
11
12
13
14
15
16
17
18
19
20
21
22
23
24
25
26
27
nazwa produktu
rodzynki
budyń czekoladowy
budyn śmietankowy / waniliowy
galaretka owocowa
kisiel owocowy
krem "Śnieżka" (na mleko)
krem "Śnieżka" (na wodę)
dżem aroniowy
dżem śliwkowy
dżem truskawkowy niskosłodzony
dżem wiśniowy niskosłodzony
dżem z czarnych porzeczek
dżem jagodowy niskosłodzony
jabłko prażone
mus jabłkowy
marmolada wieloowocowa
powidła śliwkowe
ketchup łagodny
ketchup pikantny
majonez pomorski
musztarda stołowa
kompot agrestowy
kompot śliwkowy
kompot truskawkowy
kompot wiśniowy
kompot wiśniowy b/p
kompot z czarnych porzeczek
gramatura
100g
40g
40g
90g
40g
60g
60g
300g
300g
260g
260g
260g
300g
950g
950g
kg
kg
1l
1l
260g
190g
900g
900g
900g
900g
710g
900g
ilość
cena netto wartość netto cena brutto watrość bruto
130
1295
2185
2970
1965
555
400
25
125
273
270
195
142
120
115
51
66
160
42
410
25
155
145
165
170
125
160
28
29
30
31
32
33
34
35
36
37
38
39
40
41
42
43
44
45
46
47
48
49
50
51
52
53
54
55
56
57
58
59
60
61
napój herbaciany owocowy
sok BOBOFRUIT (bez cukru)
sok owocowy
syrop owocowy "HERBAPOL"
bułka tarta
cukier kryształ
cukier puder
fasola drobna
fasola Jaś
groch łuskany
kasza jęczmienna wiejska
kasza manna
makaron gniazdka wstążki (jajeczny)
makaron łazanki (jajeczny)
makaron muszelki (jajeczny)
makaron nitka cięta (jajeczny)
makaron świderki (jajeczny)
makaron spaghetti (jajeczny)
mąka pszenna typ 500 wrocławska
mąka tortowa
mąka ziemniaczana
paluszki słone wyborowe
płatki kukurydziane
płatki kukurydziane (8 witamin)
płatki kukurydziane z owocami FRUTINA
płatki NESQUIK
płatki owsiane zwykłe
płatki śniadaniowe Cini Minis
ryż długoziarnisty
sól jodowana
margaryna KASIA
margaryna RAMA
olej rzepakowy
olej słonecznikowy
300g
300ml
900g
550ml
kg
kg
500g
kg
kg
kg
kg
kg
500g
500g
kg
kg
kg
500g
kg
kg
kg
85g
250g
250g
500g
250g
kg
250g
kg
kg
250g
500g
1l
1l
340
2980
1010
2315
410
2650
102
125
16
136
286
223
320
215
300
295
510
260
1210
490
147
180
330
170
55
410
25
325
390
550
219
60
355
323
62
63
64
65
66
67
68
69
70
71
72
73
74
75
76
77
78
79
80
81
82
83
84
85
86
87
88
89
90
91
92
93
94
95
masło roślinne
ananas plastry
brzoskwinie połówki
mandarynki w segmentach
mieszanka owoców tropikalnych
cukier waniliowy
kwasek cytrynowy
liść laurowy
papryka ostra
papryka słodka
pieprz naturalny mielony
proszek do pieczenia
przyprawa VEGETA
przyprawa w płynie "MAGGI"
żelatyna spożywcza
baton LION
wafel Princessa
baton NESQUIK
czekolada mleczna
czekolada nadziewana
herbata indyjska granulowana
kakao holenderskie
kawa zbozowa
rosół drobiowy kostka
NUTELLA
koncentrat barszczu czerwonego
Delicje
Biszkopty ciastka
Biszkopty ciastka
fasolka szparagowa cięta
groszek konserwowy
koncentrat pomiodorowy
kukurydza konserwowa
przecier ogórkowy
250g
565g
850g
312g
560g
16g
20g
7g
20g
20g
20g
18g
75g
200ml
50g
43g
36g
21g
100g
100g
100g
100g
500g
6szt
200g
200ml
kg
36
275
325
190
85
930
498
170
65
75
370
343
1055
320
60
1350
1750
1550
1290
900
196
320
283
2140
443
330
129
kg
65
500g
850g
300g
200g
400g
900g
220
190
213
1370
175
70
96
97
98
99
100
101
102
103
104
105
106
107
108
109
110
111
112
drożdże
herbatniki BB
lizak serduszka
ciastka kruche luzem
wafle suche
wafelki owocowe luzem
wafelki prince polo w czekoladzie
wafelki teatralne
batony Milky WAY
baton MARS
baton TWIKS
baton grześki
papryka konserwowa
chrzan
miód naturalny
chrupki
czeko-dżem
100g
16g
szt
kg
260g
kg
40g
50g
23,5g
53g
58g
39g
700g
200g
400g
200g
200g
razem
186
4640
1030
160
125
110
1450
800
2950
640
1000
1670
70
15
157
660
45
Załącznik nr 1
PIECZYWO
PiŻ
Lp.
1.
2.
3.
4.
5.
6.
7.
8.
Nazwa towaru
bułki wodne
bułka paryska-bagietka
bułki mleczne
bułki z makiem
rogale
chleb zwykły
chleb razowy
chleb zwykły krojony
gramatura
ilość
0,05
0,40
0,05
0,05
0,10
0,60
0,60
0,50
7450
razem
2040
2750
1930
2580
220
2220
3270
cena netto
wartość netto
cena brutto
wartość brutto
Załącznik nr 1
MLEKO I JEGO PRZETWORY
PiŻ
Lp.
1.
2.
3.
4.
5.
6.
7.
8.
9.
10.
11.
12.
13.
14.
Nazwa towaru
Masło stołowe
Masło śmietankowe 200g
Mleko pełne 3,2% w folii 0,9l
Sery krojone: rózne
Serki topione: różne
Śmietana 18% w kubkach
Śmietana 30% w kubkach
Śmietana 12% w kartoniku
Śmietana zakwaszana
Twaróg tłusty
Twaróg półtłusty
Jogurty owocowe małe w kubkach
Jogurty naturalne w kubkach
Twarożki homogenizowane
razem
jednostka
masy
szt
szt
szt
kg
kg
szt
szt
0,5 l
szt
kg
kg
szt.
szt.
szt.
ilość
180
5130
15990
283
78
2220
2350
110
580
60
1350
8880
570
2070
cena netto
wartość netto
cena brutto
wartość brutto
Załącznik nr 1
MIĘSO
PiŻ
lp.
Nazwa towaru
gramatura
1
2
3
4
5
6
7
8
9
10
Biodrówka
Karkówka bez kości
Łopatka bez kości i bez skóry
Schab bez kości
Szynka świeża bez kości
Podroby: wątroba
Podroby: nerki
Podroby: ozory
Żeberka
Wieprzowina chuda bez kości
razem
kg
kg
kg
kg
kg
kg
kg
kg
kg
kg
ilość
60
645
1430
355
430
52
30
40
60
205
cena netto
wartość netto
cena brutto
wartość brutto
Załacznik nr 1
KIEŁBASA - WĘDLINY
PiŻ
Lp.
1.
2.
3.
4.
5.
6.
7.
8.
9.
10.
11.
12.
13.
14.
15.
16.
17.
18.
19.
20.
21.
22.
23.
24.
25.
26.
27.
Nazwa towaru
Szynka gotowana
Polędwica gotowana
Pasztetowa
Parówki w foli
Parówki w flaku
Parówki baltonowskie
Ogonówka
Szynkowa
Szynkówka
Krakowska parzona
Tatrzańska
Żywiecka
Łopatkowa
Dębicka
Śląska
Podwawelska
Boczek wędzony
Kiełbasa złota
Królewska z indyka
Mielona z indyka
Oławska
Polędwica z indyka
Serdelki
Szynka drobiowa
Szynkóweczka z indyka
Pasztet z indyka pieczony
Rolada z drobiu
jednostka
masy
razem
kg
kg
kg
kg
kg
kg
kg
kg
kg
kg
kg
kg
kg
kg
kg
kg
kg
kg
kg
kg
kg
kg
kg
kg
kg
kg
kg
ilość
168
133
77
114
10
293
84
65
53
50
21
23
27
44
37
75
102
50
84
19
14
89
8
66
34
86
26
cena netto
wartość netto
cena brutto
wartość brutto
Załacznik nr 1
DRÓB I JEGO PRZETWORY
PiŻ
Lp.
1.
2.
3.
4.
5.
6.
7.
8.
9.
Nazwa towaru
Kurczak świeży
Kurczak: udka
Kurczak: piersi
Kurczak: filet
Porcje rosołowe
Indyk: piersi
Podroby drobiowe: wątróbki
Podroby drobiowe: żołądki
Kurczak: piersi z/k
razem
jednostka
masy
ilość
kg
kg
kg
kg
kg
kg
kg
kg
kg
440
158
115
710
375
95
219
50
195
cena netto
wartość netto
cena brutto
wartość brutto