Zasady opracowywania programów szkolenia

Transkrypt

Zasady opracowywania programów szkolenia
5. Zasady opracowywania programów szkolenia
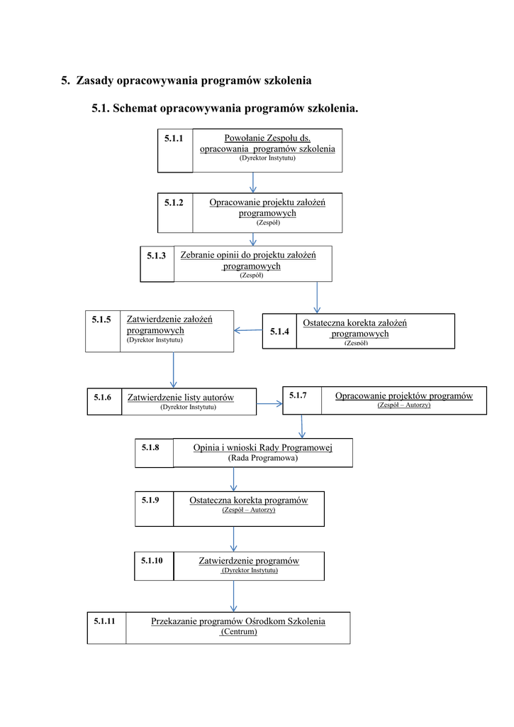
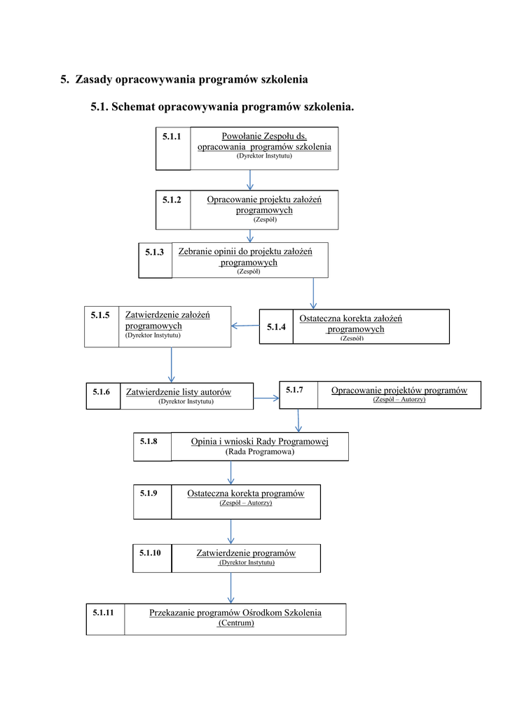
5.1. Schemat opracowywania programów szkolenia.
5.1.1
Powołanie Zespołu ds.
opracowania programów szkolenia
(Dyrektor Instytutu)
5.1.2
Opracowanie projektu założeń
programowych
(Zespół)
5.1.3
Zebranie opinii do projektu założeń
programowych
(Zespół)
5.1.5
Zatwierdzenie założeń
programowych
Ostateczna korekta założeń
programowych
5.1.4
(Dyrektor Instytutu)
5.1.6
(Zespół)
Zatwierdzenie listy autorów
5.1.7
(Dyrektor Instytutu)
5.1.8
Opinia i wnioski Rady Programowej
(Rada Programowa)
5.1.9
Ostateczna korekta programów
(Zespół – Autorzy)
5.1.10
Zatwierdzenie programów
(Dyrektor Instytutu)
5.1.11
Przekazanie programów Ośrodkom Szkolenia
(Centrum)
Opracowanie projektów programów
(Zespół – Autorzy)
Wyjaśnienia do schematu opracowywania programów szkolenia
5.1.1. Powołanie Zespołu ds. opracowania programów szkolenia.
Zarządzeniem nr 15/2011 z dnia 21 listopada 2011r., Dyrektor Instytutu powołał - na
podstawie propozycji Dyrektora Centrum, skład zespołu ds. opracowania programów
szkolenia.
5.1.2. Opracowanie projektu założeń programowych.
Zespół opracowuje projekt założeń programowych biorąc pod uwagę konieczność ustalenia:
- ogólnych wymagań kwalifikacyjnych dla zawodów, o których mowa w rozporządzeniu,
- zakresu wiedzy niezbędnej oraz umiejętności do wykonywania określonego zawodu,
- ogólnego zakresu treści programowych z propozycją czasu realizacji zagadnień teoretycznych jak również ćwiczeń praktycznych a także propozycji dla autorów programów w
zakresie formy programów oraz założeń organizacyjnych szkolenia.
5.1.3. Zebranie opinii do projektu założeń programowych.
Przewodniczący Zespołu przekazuje projekt założeń programowych do zaopiniowania
specjalistom pracującym oraz współpracującym z Centrum Koordynacji Szkolenia
Operatorów Maszyn oraz Zakładem Kształcenia Ustawicznego Instytutu Mechanizacji
Budownictwa i Górnictwa Skalnego.
5.1.4. Ostateczna korekta założeń programowych.
Po zebraniu opinii, przygotowywana jest ostateczna wersja założeń programowych.
5.1.5. Zatwierdzenie założeń programowych.
Przewodniczący Zespołu przedkłada Dyrektorowi Instytutu skorygowane założenia
programowe do zatwierdzenia.
5.1.6. Zatwierdzenie listy autorów.
Pierwszym z zadań jest ustalenie składu osobowego zespołu autorskiego do opracowania
programów dla poszczególnych specjalności, a następnie zatwierdzenie tego składu przez
Dyrektora Instytutu.
Zespół autorski tworzą pracownicy Instytutu jak również mogą być doproszone osoby nie
będące jego pracownikami.
5.1.7.
Opracowanie projektów programów.
Autorzy otrzymują zatwierdzone przez Dyrektora Instytutu założenia programowe i zgodnie
z ustalonym zakresem specjalności przygotowują projekty programów. Programy muszą być
zgodne z merytorycznym zakresem szkolenia określonym w założeniach jak również forma
programów musi być zgodna z ustaloną w założeniach programowych.
5.1.8. Opinia i wnioski Rady Programowej.
Projekty programów szkolenia dla poszczególnych specjalności są przedmiotem dyskusji na
posiedzeniu Rady Programowej.
W wyniku dyskusji Rada formułuje wnioski oraz propozycje zmian i uzupełnień i przekazuje
je zespołowi Autorów do wykorzystania przy opracowywaniu ostatecznej wersji programów.
5.1.9. Ostateczna korekta programów
Na podstawie omówionych wyżej opinii, zespół (Autorzy) opracowuje ostateczną wersję
programów dla poszczególnych specjalności.
5.1.10. Zatwierdzenie programów
Skorygowane programy są zatwierdzane przez Dyrektora Instytutu i przekazywane do
realizacji technicznej, polegającej na pracach wydawniczych i wdrożeniowych.
5.1.11. Przekazanie programów Ośrodkom Szkolenia
Programy szkolenia przekazywane są ośrodkom posiadającym „Potwierdzenie…” do
szkolenia w tym zakresie i stanowią podstawę szkolenia.