stan 2012

Transkrypt

stan 2012
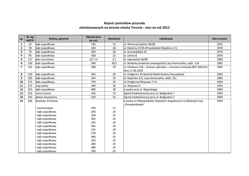
Rejestr pomników przyrody
zlokalizowanych na terenie miasta Torunia - stan na rok 2012
1
2
3
4
5
6
7
Nr wg
WRTP
23
78
79
95
117
130
131
8
9
10
11
12
13
14
15
159
183
271
272
323
324
325
326
Lp.
Rodzaj, gatunek
dąb szypułkowy
dąb szypułkowy
dąb szypułkowy
dąb szypułkowy
głaz narzutowy
dąb szypułkowy
dąb szypułkowy
Obwód pnia
(w cm)
530
434
420
420
12,7 m
566
438
Wysokość
Lokalizacja
Rok uznania
15
26
20
22
2,1
20,5
29
ul. Winnica/Lubicka 38/58
ul. Dekerta 27/35 (Przedszkole Miejskie nr 5)
ul. Grunwaldzka 63
ul. Letnia 8
ul. Lipnowska 56/60
ul. Rudacka (cmentarz ewangelicki) Lasy Komunalne, oddz. 216
ul. Działowa 13b – drzewo spłonęło – zniesione uchwałą RMT 820/10 z
dnia 17.06.2010
ul. Podgórna 76 (kościół Matki Boskiej Zwycięskiej)
ul. Rypińska 3/5, Lasy Komunalne, oddz. 22c
ul. Podgórna/Wiązowa 7-7a
ul. Wiązowa 5
w parku przy ul. Rapackiego
Ogród Zoobotaniczny przy ul. Bydgoskiej 7
Ogród Zoobotaniczny przy ul. Bydgoskiej 7
w parku za Wojewódzkim Szpitalem Zespolonym na Bielanach tzw.
„Prezydentówka”
1955
1970
1970
1978
1980
1982
1982
dąb szypułkowy
dąb szypułkowy
dąb szypułkowy
wiąz polny
dąb szypułkowy
sosna czarna
platan klonolistny
skupisko 13 drzew:
463
545
379
349
406
235
610
29
25
24
26
28
13
25
- kasztanowiec
- dąb szypułkowy
- dąb szypułkowy
- dąb szypułkowy
- dąb szypułkowy
- dąb szypułkowy
- dąb szypułkowy
- dąb szypułkowy
- dąb szypułkowy
- dąb szypułkowy
- dąb szypułkowy
- dąb szypułkowy
- dąb szypułkowy
359
290
259
365
325
365
225
270
400
263
280
380
350
21
23
23
25
25
20
20
20
25
25
25
25
25
1983
1985
1993
1993
1994
1994
1994
1994
Lp.
16
17
18
19
20
21
Nr wg
Rodzaj, gatunek
WRTP
327 topola czarna
328 dąb szypułkowy
329 skupisko 6 drzew:
- dąb szypułkowy
- dąb szypułkowy
- dąb szypułkowy
- dąb szypułkowy
- dąb szypułkowy
- dąb szypułkowy
374 dąb szypułkowy
375 skupisko 2 drzew:
- dąb bezszypułkowy
- wiąz polny
376 dąb bezszypułkowy
Obwód pnia
(w cm)
680
443
Wysokość
26
26
340
278
385
265
322
395
345
24
23
25
24
26
26
19,5
320
289
342
28
26
20
Lokalizacja
Rok uznania
przy moście drogowym i ul. Dybowskiej
na nieruchomości Pana Józefa Szmurło przy u;. Rudackiej 58
Lasy Komunalne przy posesji na ul. Rudackiej 46/50
1994
1994
1994
ul. Dwernickiego przy budynku nr 46/50
ul. Szosa Bydgoska - po wschodniej stronie oczyszczalni ścieków
1996
1996
ul. Szosa Bydgoska - przy pn.-wsch. wjeździe na teren oczyszczalni
ścieków
przy ul. Chopina i Al.. 500-lecia - w grupie drzew na skraju skweru
miejskiego
Ogród Zoobotaniczny przy ul. Bydgoskiej 7 - w centralnej części
w bezpośrednim sąsiedztwie budynku przy ul. Legionów 53,
przy ul. Wybickiego (przy budynku Kołłątaja 31)
1996
1998
1998
1998
22
377
dąb szypułkowy
337
30
23
24
25
378
421
422
368
385
28
25
26
27
28
423
424
425
dąb szypułkowy
dąb szypułkowy
skupisko 2 drzew:
- dąb szypułkowy
- dąb szypułkowy
dąb szypułkowy
dąb szypułkowy
dąb szypułkowy
341
309
230
420
480
20
20
15,5
24,5
25
29
30
31
-
cypryśnik błotny
klon srebrzysty
klon srebrzysty
205
301
327
18
15
19
ul. Kołłątaja 12
ul. Pawia, Leśnictwo Wrzosy, oddz. 147
Leśnictwo Rudak, oddz. 25, os. Czerniewice
(skarpa za Zespołem Szkół nr 34)
nad stawem w Dolinie Marzeń przy Placu Rapackiego
na skwerze w rejonie ulic: Plac Rapackiego - Bulwar Filadelfijski
na skwerze w rejonie ulic: Plac Rapackiego - Bulwar Filadelfijski
32
-
klon srebrzysty
385
20
na skwerze w rejonie ulic: Plac Rapackiego - Bulwar Filadelfijski
2006
33
-
klon srebrzysty
368
22
na skwerze w rejonie ulic: Plac Rapackiego - Bulwar Filadelfijski
2006
1996
1996
1998
1998
2006
2006
2006
Lp.
34
35
36
37
38
39
40
41
42
43
44
45
Nr wg
Rodzaj, gatunek
WRTP
buk zwyczajny odm. purpurowa
buk zwyczajny odm. purpurowa
dwupniowy
skupisko 3 drzew:
- miłorząb dwuklapowy
- miłorząb dwuklapowy
- miłorząb dwuklapowy, dwupniowy
dąb szypułkowy
dąb szypułkowy
leszczyna turecka
dąb szypułkowy „Wiktor”
skupisko 7 drzew „Dęby Barbary”
- dąb szypułkowy
- dąb szypułkowy
- dąb szypułkowy
- dąb szypułkowy
- dąb szypułkowy
- dąb szypułkowy
- dąb szypułkowy
skupisko 2 drzew:
- kasztanowiec zwyczajny
- kasztanowiec zwyczajny
skupisko 6 drzew
„Dęby 775-lecia Torunia”
- dąb szypułkowy
- dąb szypułkowy
- dąb szypułkowy
- dąb szypułkowy
- dąb szypułkowy
- dąb szypułkowy
dąb szypułkowy „Zbyszko”
lipa drobnolistna „Lipa Rabina
Kaliszera”
Obwód pnia
(w cm)
279
195, 164
Wysokość
15
14
171
137
71, 180
328
318
232
530
15
15
8, 16
14
16
9
30
298
179
287
273
310
267
248
11
11
12
12
13
12
11
266
320
257
311
254
265
305
274
363
276
15
17
30
29
28
26
25
25
29
22
Lokalizacja
Rok uznania
Ogród Zoobotaniczny przy ul. Bydgoskiej 7
Ogród Zoobotaniczny przy ul. Bydgoskiej 7
2006
2006
Ogród Zoobotaniczny przy ul. Bydgoskiej 7
2006
Ogród Zoobotaniczny przy ul. Bydgoskiej 7
Ogród Zoobotaniczny przy ul. Bydgoskiej 7
Ogród Zoobotaniczny przy ul. Bydgoskiej 7
Leśnictwo Łysomice, obręb leśny Olek, oddz. 196g
Osada Leśna Barbarka przy ul. Przysieckiej 13
2006
2006
2006
2007
2007
ul. Wały Gen. Wł. Sikorskiego 1-13/Al. J. Pawła II 9
2008
przy skrzyżowaniu ulic Chopina i Alei 500-lecia
2008
ul. Sz. Okrężna 108-120/Polna 2/H. Morycińskiego 25-31
Cmentarz Żydowski przy ul. Pułaskiego 18-22
2008
2009
Lp.
46
47
48
/-/
Nr wg
Rodzaj, gatunek
WRTP
dąb szypułkowy „Dąb Astronomii”
skupisko 3 drzew - dąb szypułkowy
„Dęby Kazimierz, Ludmiła i Olga”
dąb szypułkowy „Dąb Stanisława
Duszyńskiego”
Obwód pnia
(w cm)
325
408, 320, 244
300
Wysokość
Lokalizacja
Rok uznania
20
teren zieleni przy fontannie Cosmopolis u zbiegu Placu M.Rapackiego
na terenie prywatnej nieruchomości przy ul. Inowrocławskiej 1
2009
2010
na terenie należącym do Fundacji Ducha na Rzecz Rehabilitacji
Naturalnej Ludzi Niepełnosprawnych przy ul. Szosa Bydgoska 15
2010