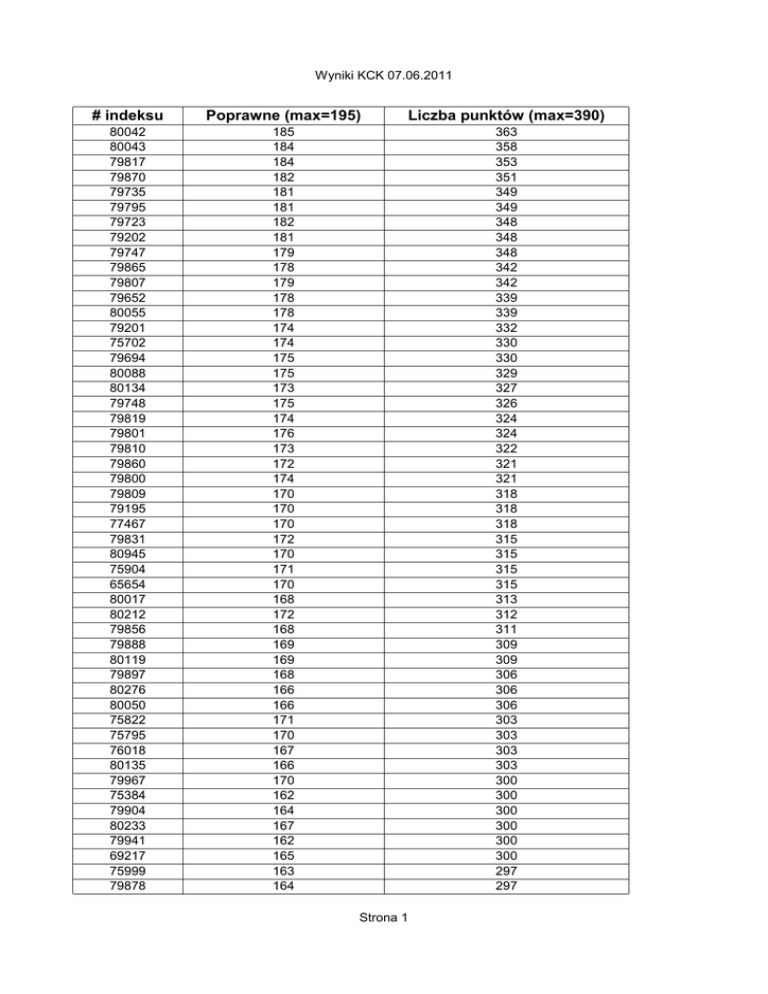
# indeksu Poprawne (max=195) Liczba punktów (max=390)

Transkrypt

# indeksu Poprawne (max=195) Liczba punktów (max=390)
Wyniki KCK 07.06.2011
# indeksu
Poprawne (max=195)
Liczba punktów (max=390)
80042
80043
79817
79870
79735
79795
79723
79202
79747
79865
79807
79652
80055
79201
75702
79694
80088
80134
79748
79819
79801
79810
79860
79800
79809
79195
77467
79831
80945
75904
65654
80017
80212
79856
79888
80119
79897
80276
80050
75822
75795
76018
80135
79967
75384
79904
80233
79941
69217
75999
79878
185
184
184
182
181
181
182
181
179
178
179
178
178
174
174
175
175
173
175
174
176
173
172
174
170
170
170
172
170
171
170
168
172
168
169
169
168
166
166
171
170
167
166
170
162
164
167
162
165
163
164
363
358
353
351
349
349
348
348
348
342
342
339
339
332
330
330
329
327
326
324
324
322
321
321
318
318
318
315
315
315
315
313
312
311
309
309
306
306
306
303
303
303
303
300
300
300
300
300
300
297
297
Strona 1
Wyniki KCK 07.06.2011
79803
79685
80287
75894
80366
79944
69239
79798
79738
79899
79832
79900
73173
72887
80019
80290
75830
79953
80065
79645
80047
79488
75896
75774
75724
79796
79969
80289
79875
75868
79833
79650
80131
69969
79751
79883
80137
79963
79754
72932
79693
75933
81657
80286
80018
80130
80094
79902
79965
79695
79818
72997
79681
165
163
164
160
170
164
161
167
161
159
164
159
160
163
159
160
159
159
160
155
155
158
158
156
157
157
156
154
154
156
157
156
155
154
157
153
157
151
152
151
158
151
150
151
146
147
149
152
148
153
163
147
153
294
294
294
293
291
291
288
288
288
287
287
287
287
285
285
285
285
282
281
281
279
279
278
276
276
276
275
273
272
270
270
270
270
270
269
266
266
264
264
261
261
261
258
258
254
252
252
252
252
251
249
249
249
Strona 2
Wyniki KCK 07.06.2011
80129
79753
75888
79793
79755
79752
77964
79733
80092
80060
79718
79820
79858
80231
75722
79750
79688
79757
80101
79970
75773
80279
80097
79990
79758
79648
79756
79905
144
147
147
148
151
155
151
155
153
140
140
139
139
136
135
140
156
140
133
134
133
131
123
122
138
138
113
119
248
247
242
240
240
240
237
237
237
237
231
228
227
227
225
225
225
222
216
213
204
204
195
186
183
165
155
152
Strona 3