Załącznik Nr 6 do SIWZ – Specyfikacja Techniczna

Transkrypt

Załącznik Nr 6 do SIWZ – Specyfikacja Techniczna
Projekt współfinansowany przez Unię Europejską ze środków Europejskiego Funduszu Rozwoju Regionalnego
w ramach Programu Infrastruktura i Środowisko
Z
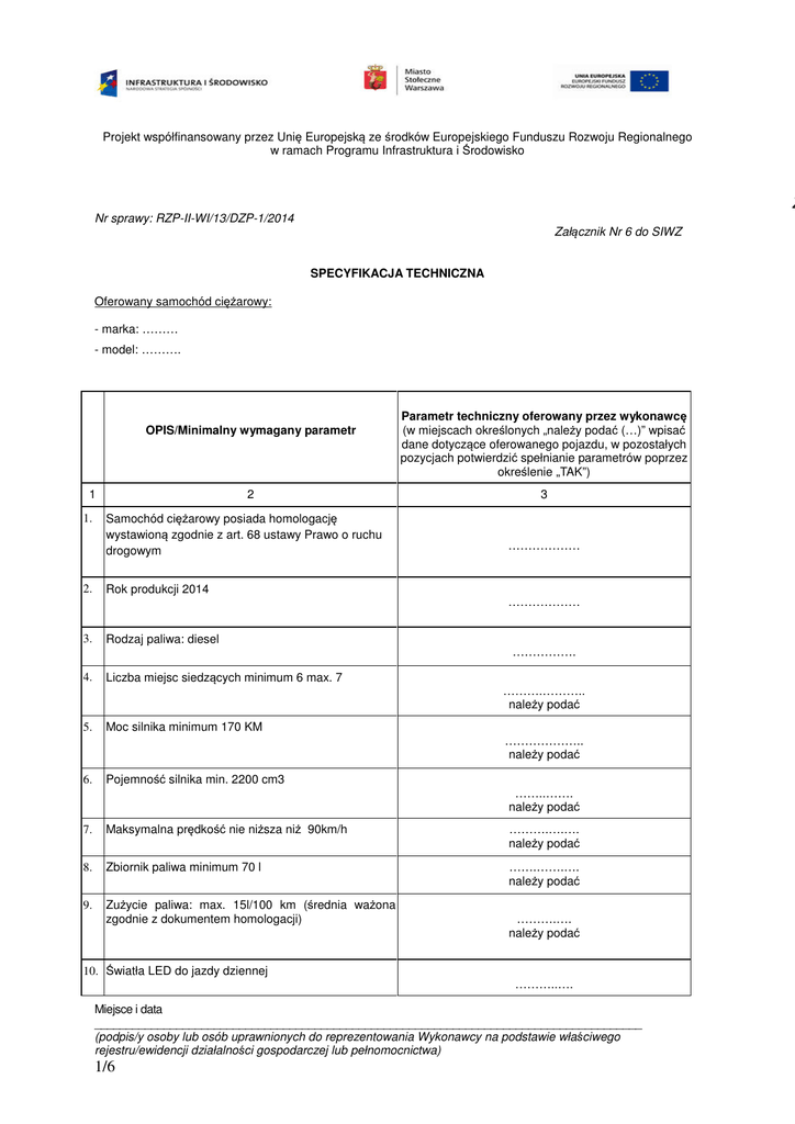
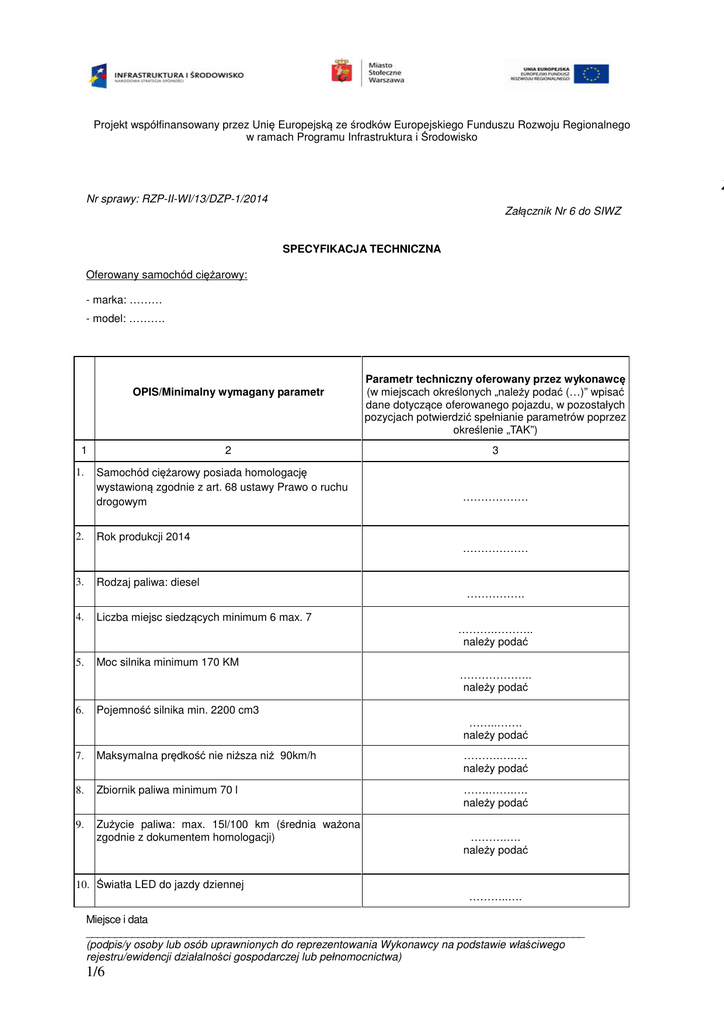
Nr sprawy: RZP-II-WI/13/DZP-1/2014
Załącznik Nr 6 do SIWZ
SPECYFIKACJA TECHNICZNA
Oferowany samochód ciężarowy:
- marka: ………
- model: ……….
OPIS/Minimalny wymagany parametr
1
1.
2.
2
Samochód ciężarowy posiada homologację
wystawioną zgodnie z art. 68 ustawy Prawo o ruchu
drogowym
Parametr techniczny oferowany przez wykonawcę
(w miejscach określonych „należy podać (…)” wpisać
dane dotyczące oferowanego pojazdu, w pozostałych
pozycjach potwierdzić spełnianie parametrów poprzez
określenie „TAK”)
3
………………
Rok produkcji 2014
………………
3.
Rodzaj paliwa: diesel
…………….
4.
Liczba miejsc siedzących minimum 6 max. 7
……….………..
należy podać
5.
Moc silnika minimum 170 KM
………………..
należy podać
6.
Pojemność silnika min. 2200 cm3
……..…….
należy podać
7.
Maksymalna prędkość nie niższa niż 90km/h
……….….….
należy podać
8.
Zbiornik paliwa minimum 70 l
…….…….….
należy podać
9.
Zużycie paliwa: max. 15l/100 km (średnia ważona
zgodnie z dokumentem homologacji)
……….….
należy podać
10. Światła LED do jazdy dziennej
………..….
Miejsce i data
_______________________________________________________________________________________
(podpis/y osoby lub osób uprawnionych do reprezentowania Wykonawcy na podstawie właściwego
rejestru/ewidencji działalności gospodarczej lub pełnomocnictwa)
1/6
Projekt współfinansowany przez Unię Europejską ze środków Europejskiego Funduszu Rozwoju Regionalnego
w ramach Programu Infrastruktura i Środowisko
11. Manualna skrzynia biegów
…………….
12. Liczba drzwi – min. 4
………..….
13. Dopuszczalna masa całkowita - do 3500 kg
………..…..
należy podać
14. Dwa rzędy siedzeń
……….…..
15. Kanapa tylna minimum 3 osoby
……………
16. Fotel kierowcy amortyzowany
……………
17. Układ ABS
…………..
18. Układ stabilizacji toru jazdy ESP
…………….
19. System kontroli trakcji
…………..
20. System elektronicznego rozdziału sił hamowania EBD
……………
21. Poduszka powietrzna minimum kierowcy i pasażera
(podwójna z przodu)
……………..
22. Czujnik parkowania tylny
……………
23. Immobiliser + alarm obejmujący również część
towarową
…………….
24. Tempomat
…………….
25. Pasy
bezpieczeństwa
napinającej z przodu
z
ograniczeniem
siły
…………….
26. Kolor – biały
……………
27. Klimatyzacja
……………
28. Osłona pod silnikiem
……………
Miejsce i data
_______________________________________________________________________________________
(podpis/y osoby lub osób uprawnionych do reprezentowania Wykonawcy na podstawie właściwego
rejestru/ewidencji działalności gospodarczej lub pełnomocnictwa)
2/6
Projekt współfinansowany przez Unię Europejską ze środków Europejskiego Funduszu Rozwoju Regionalnego
w ramach Programu Infrastruktura i Środowisko
29. Elektryczne
boczne
regulowane
i
podgrzewane
lusterka
……………
30. Centralny zamek drzwi zdalnie sterowany z podziałem
na część przestrzeni ładunkowej i część do przewozu
osób.
……………
31. Elektrycznie regulowane szyby boczne w pierwszym
rzędzie siedzeń
……………
32. Podwójny
siedzeń
……………
fotel
pasażera
w
pierwszym
rzędzie
33. Tapicerka siedzeń materiałowa
……………
34. Fotel kierowcy z regulacją wysokości w dwóch
płaszczyznach
……………
35. Radio/CD – zamontowane fabrycznie,
zestawem głośnomówiącym Bluetooth
……………
wraz
z
36. Nawigacja w języku polskim wraz z mapą Europy –
zamontowane fabrycznie
……………
37. Interpack podwójny
……………
38. Ogrzewanie postojowe z rozprowadzeniem ciepła w
przestrzeni ładunkowej i pasażerskiej.
39. Zawieszenie pneumatyczne tylnej osi umożliwiające
na postoju obniżenie progu załadunku i zwiększające
skuteczność resorowania (komfort) podczas jazdy –
montowane fabrycznie.
……………
……………
40. Przetwornica 12/230V
……………
41. Wymagania dot. przestrzeni ładunkowej:
……………
•
wydzielona przestrzeń ładunkowa w kolorze
białym
•
chłodnia/izoterma o wymiarach wewnątrz
minimum: 3 m długość x 2.10 m wysokość x
1,90 m szerokość.
……………
•
drzwi załadunkowe tylko z tyłu bez bocznych
…………….
•
tylne drzwi dwuskrzydłowe, dzielone pół na
pół
……………
•
oświetlenie przestrzeni
punkty świetlne)
(dwa
……………
•
listwy do mocowania ładunku - minimum 3
szt. na każdej ze ścian – łącznie minimum 9
szt.
…………….
ładunkowej
Miejsce i data
_______________________________________________________________________________________
(podpis/y osoby lub osób uprawnionych do reprezentowania Wykonawcy na podstawie właściwego
rejestru/ewidencji działalności gospodarczej lub pełnomocnictwa)
3/6
Projekt współfinansowany przez Unię Europejską ze środków Europejskiego Funduszu Rozwoju Regionalnego
w ramach Programu Infrastruktura i Środowisko
•
mocowania ładunku nie mogą wystawać
poza płaszczyznę ściany, muszą być
wpuszczone w środek
……………..
•
powierzchnia
ściany
płaska,
pokryta
wykładziną syntetyczną z polipropylenu
podgumowaną o grubości całkowitej 5,5 mm
(łatwo zmywalną), w kolorze szarym
…………….
•
agregat
do
schładzania
przestrzeni
ładunkowej wraz z rejestratorem temperatury
i wilgotności oraz kilku punktowym
nawiewem
……………..
•
podłoga płaska bez żadnych wypustów
antypoślizgowa, pokryta laminatem
……………
•
podsufitka pokryta wykładziną syntetyczną z
polipropylenu, podgumowaną o grubości
całkowitej 5,5 mm (łatwo zmywalną), w
kolorze szarym
•
gniazdo 12V i 230V, umiejscowione na
ścianie lewej
……………..
……………..
42. Wymagania dot. bezpieczeństwa:
samochodowy
system
alarmowy
Modułowy
spełniający wymagania dyrektywy 74/61/EWG lub
regulaminu nr 116 EKG ONZ,
posiadający co najmniej następujące właściwości:
…..…..…….
•
funkcję "panika" włączaną i wyłączaną
jednym przyciskiem pilota radiowego i
dodatkowym
wyłącznikiem
wewnątrz
przedziału osobowego,
•
rezerwowe zasilanie,
……………..
•
dodatkową syrenę alarmową,
…………….
•
czujniki ochrony wnętrza,
…………….
•
blokadę pracy silnika,
……………..
•
tryb serwisowy,
……………..
•
sygnalizację alarmową wszystkimi światłami
kierunkowskazów;
…………….
Monitorowany z zewnątrz system
satelitarnej i system sygnalizacji napadu
lokalizacji
…………….
……………
Miejsce i data
_______________________________________________________________________________________
(podpis/y osoby lub osób uprawnionych do reprezentowania Wykonawcy na podstawie właściwego
rejestru/ewidencji działalności gospodarczej lub pełnomocnictwa)
4/6
Projekt współfinansowany przez Unię Europejską ze środków Europejskiego Funduszu Rozwoju Regionalnego
w ramach Programu Infrastruktura i Środowisko
System transmisji alarmu przekazujący co najmniej
informacje o:
….…..…….
•
położeniu i prędkości pojazdu,
•
otwarciu i zamknięciu drzwi
ładunkowego i osobowego,
•
stanie
alarmowania
systemu alarmowego,
•
włączeniu i wyłączeniu silnika pojazdu;
przedziału
samochodowego
System odblokowujący zamknięcie przestrzeni
ładunkowej - zdalnie z siedziby Użytkownika wraz z
możliwością dezaktywacji systemu - zdalnie z siedziby
Użytkownika
43 Urządzenia elektroniczne i elektryczne zamontowane
w pojeździe spełniają, w zakresie kompatybilności
elektromagnetycznej, wymagania:
- dyrektywy Rady nr 72/245/EWG z dnia 20 czerwca
1972 r. w sprawie zbliżenia ustawodawstw Państw
Członkowskich odnoszących się do tłumienia
zakłóceń radioelektrycznych wywoływanych przez
silniki z zapłonem iskrowym stosowane w pojazdach
silnikowych Dz. Urz. UE Polskie wydanie specjalne,
rozdz. 13, t. 1, str. 226)
lub
- regulaminu nr 10 Europejskiej Komisji Gospodarczej
Organizacji Narodów Zjednoczonych - Jednolite
przepisy dotyczące homologacji pojazdów w zakresie
kompatybilności elektromagnetycznej.
…………..
……………
……………
……………
…………….
44
Dodatkowa instalacja elektryczna pojazdu (po
zabudowie) spełnia wymagania normy PN-S 76021
(rodzaje i zakres badań według punktu 4.1.b tablica 2
kolumna 4 ww. normy), zgodnie z Rozporządzeniem
MSWiA z 07.09.2010 r. w sprawie wymagań jakim
powinna odpowiadać ochrona wartości pieniężnych
przechowywanych
i
transportowanych
przez
przedsiębiorstwa i jednostki organizacyjne (Dz. U. z
2010 r., poz. 166 z późn. zm.)
…………….
45 Agregat w przestrzeni ładunkowej:
Utrzymuje wewnątrz stałą temperaturę bez względu
na temperaturę na zewnątrz w przedziale od 18°C do
22°C – nie mniej niż 2024 W.
…………….
Miejsce i data
_______________________________________________________________________________________
(podpis/y osoby lub osób uprawnionych do reprezentowania Wykonawcy na podstawie właściwego
rejestru/ewidencji działalności gospodarczej lub pełnomocnictwa)
5/6
Projekt współfinansowany przez Unię Europejską ze środków Europejskiego Funduszu Rozwoju Regionalnego
w ramach Programu Infrastruktura i Środowisko
Wentylacja – nie mniej niż 910m³/h.
Agregat - wyposażony w sterownik kabinowy,
przewody elektryczne i freonowe, sprężarkę,
skraplacz, parownik oraz akcesoria instalacyjne.
Agregat do schładzania lub podgrzewania przestrzeni
ładunkowej wraz z rejestratorem temperatury i
wilgotności.
46 Winda:
winda załadunkowa hydrauliczna o udźwigu minimum
500 kg, wymiary minimum 1,60 m długości
pozwalająca korzystać z całej szerokości progu
załadunku
47 Wyposażenie dodatkowe:
• CB radio
3
……………. m /h
należy podać
……………..
……………..
…………………... kg / ………………….. m
należy podąć odpowiednio udźwig / długość
….………..
•
rejestrator trasy (wideo) Full HD wraz z
pamięcią przynajmniej 32 Gb
…………..
•
komplet 4 opon zimowych wraz z felgami
stalowymi (ogumienie fabrycznie nowe z
2014 r., rozmiar opon oraz ich parametry
muszą
być
zgodne
z
zaleceniami
producenta)
……………
•
koło zapasowe pełnowymiarowe
…………….
•
komplet dywaników gumowych
•
komplet dywaników welurowych
…………….
………………
48. Norma emisji gazów spalinowych minimum EURO V.
…………….
należy podać
Miejsce i data
_______________________________________________________________________________________
(podpis/y osoby lub osób uprawnionych do reprezentowania Wykonawcy na podstawie właściwego
rejestru/ewidencji działalności gospodarczej lub pełnomocnictwa)
6/6