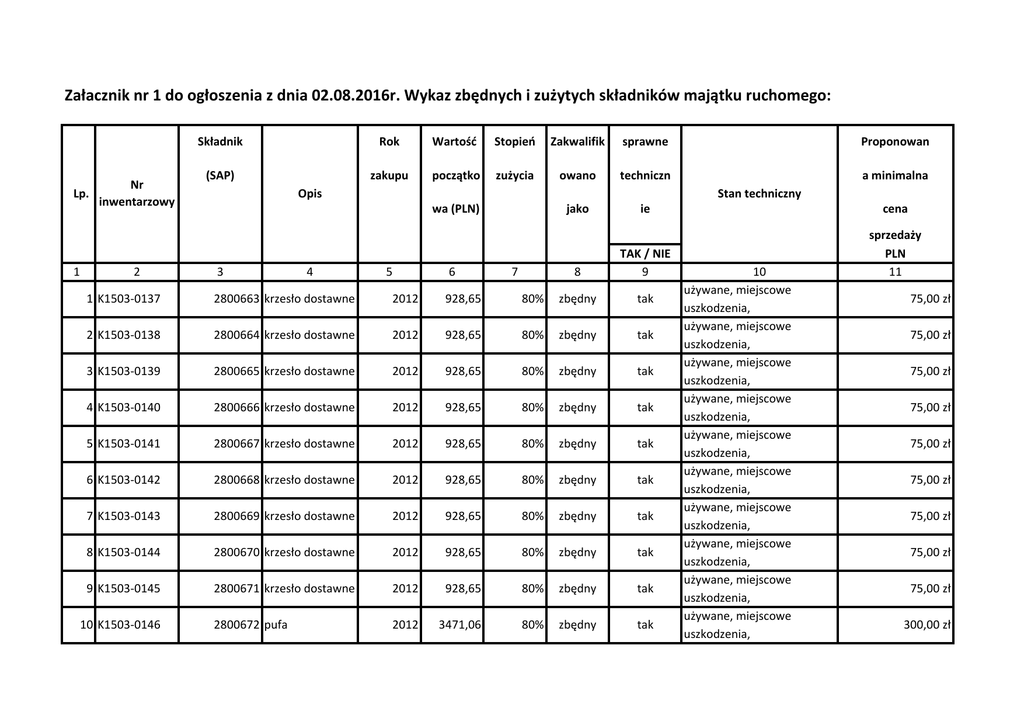
Załacznik nr 1 do ogłoszenia z dnia 02.08.2016r. Wykaz zbędnych i

Transkrypt

Załacznik nr 1 do ogłoszenia z dnia 02.08.2016r. Wykaz zbędnych i
Załacznik nr 1 do ogłoszenia z dnia 02.08.2016r. Wykaz zbędnych i zużytych składników majątku ruchomego:
Nr
Lp.
inwentarzowy
1
2
Składnik
Rok
Wartość
Stopień
Zakwalifik
sprawne
Proponowan
(SAP)
zakupu
początko
zużycia
owano
techniczn
a minimalna
jako
ie
cena
8
TAK / NIE
9
sprzedaży
PLN
11
Opis
Stan techniczny
wa (PLN)
3
4
5
6
7
1 K1503-0137
2800663 krzesło dostawne
2012
928,65
80%
zbędny
tak
2 K1503-0138
2800664 krzesło dostawne
2012
928,65
80%
zbędny
tak
3 K1503-0139
2800665 krzesło dostawne
2012
928,65
80%
zbędny
tak
4 K1503-0140
2800666 krzesło dostawne
2012
928,65
80%
zbędny
tak
5 K1503-0141
2800667 krzesło dostawne
2012
928,65
80%
zbędny
tak
6 K1503-0142
2800668 krzesło dostawne
2012
928,65
80%
zbędny
tak
7 K1503-0143
2800669 krzesło dostawne
2012
928,65
80%
zbędny
tak
8 K1503-0144
2800670 krzesło dostawne
2012
928,65
80%
zbędny
tak
9 K1503-0145
2800671 krzesło dostawne
2012
928,65
80%
zbędny
tak
2800672 pufa
2012
3471,06
80%
zbędny
tak
10 K1503-0146
10
używane, miejscowe
uszkodzenia,
używane, miejscowe
uszkodzenia,
używane, miejscowe
uszkodzenia,
używane, miejscowe
uszkodzenia,
używane, miejscowe
uszkodzenia,
używane, miejscowe
uszkodzenia,
używane, miejscowe
uszkodzenia,
używane, miejscowe
uszkodzenia,
używane, miejscowe
uszkodzenia,
używane, miejscowe
uszkodzenia,
75,00 zł
75,00 zł
75,00 zł
75,00 zł
75,00 zł
75,00 zł
75,00 zł
75,00 zł
75,00 zł
300,00 zł