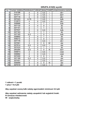
GRUPA A10(9) wyniki

Transkrypt

GRUPA A10(9) wyniki
GRUPA A10(9) wyniki
Lp. numer indeksu kolokwium referat plusy braki proponowana ocena
314196
1
4
0
0,5
\
db+
307271
2
3
0
0,5
\
dst+
307116
3
4
0
0,5
\
db+
307443
4
4,75
1
0,5
\
bdb
312673
5
4
0
0,5
\
db+
306886
6
4
1
1
\
bdb
307132
7
4
0
0
\
db
307151
8
2
1
1
\
db
307547
9
5
0
0,5
\
bdb
307163
10
2
1
1
\
db
307165
11
4,5
1
0
\
bdb
309892
12
3
0
1
\
db
308212
13
3
0
0
\
dst
307176
14
4
0
0,5
\
db+
307561
15
3
0
0
W
dst
307914
16
2,5
0
0,5
\
dst
307433
17
3
0
1
\
db
260284
18
3,5
0
0
N
dst+
306873
19
2
0
0,5
\
ndst
306882
2
0
0,5
\
ndst
20
307400
4
0
0
\
db
21
307189
2,5
0
0,5
\
dst
22
307451
3
1
0,5
\
db+
23
306999
3
0
0
N
dst
24
25
307019
4
0
0,5
\
db+
1 referat = 1 punkt
1 plus = 0,5 pkt
Aby uzyskać ocenę bdb należy zgormadzić minimum 5,5 pkt
Aby uzyskać zaliczenie należy uzupełnić lub wyjaśnić braki.
N oznacza nieobecność
W - wejściówkę