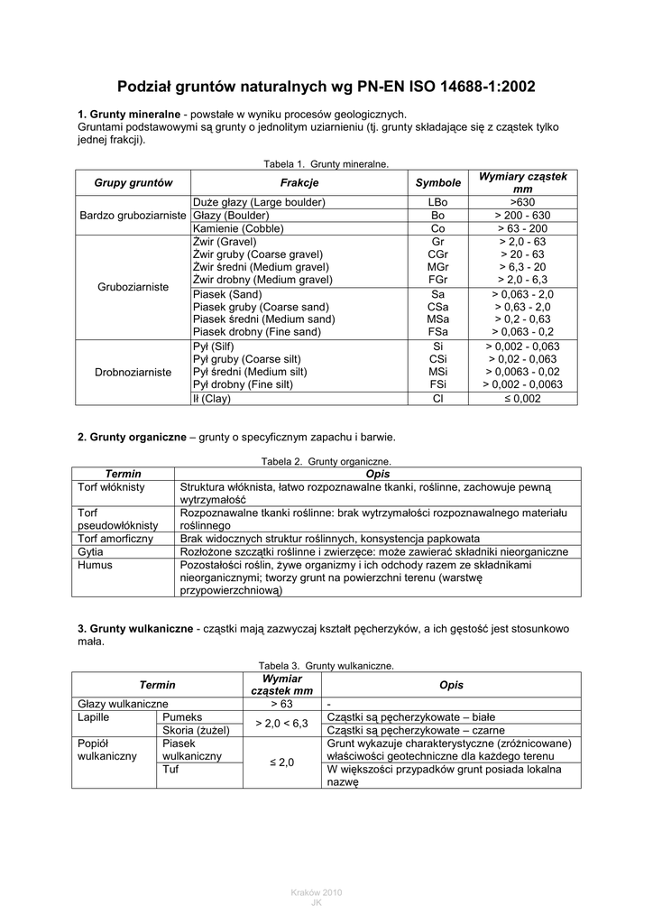
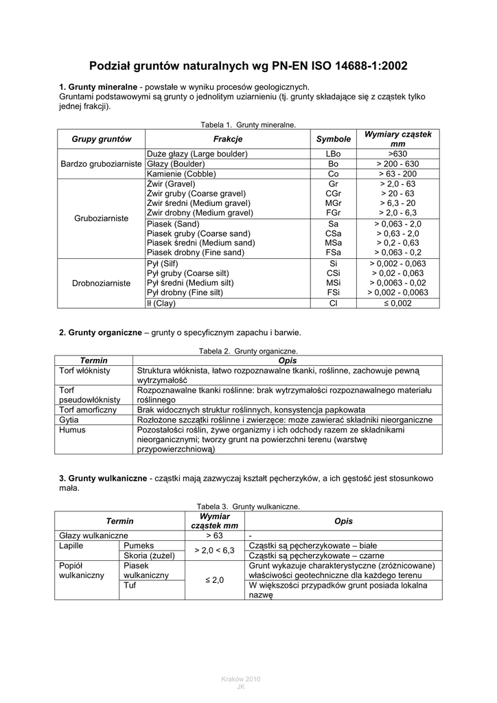
Podział gruntów naturalnych wg PN-EN ISO 14688

Transkrypt

Podział gruntów naturalnych wg PN-EN ISO 14688
Podział gruntów naturalnych wg PN-EN ISO 14688-1:2002
1. Grunty mineralne - powstałe w wyniku procesów geologicznych.
Gruntami podstawowymi są grunty o jednolitym uziarnieniu (tj. grunty składające się z cząstek tylko
jednej frakcji).
Tabela 1. Grunty mineralne.
Grupy gruntów
Frakcje
Symbole
Duże głazy (Large boulder)
Bardzo gruboziarniste Głazy (Boulder)
Kamienie (Cobble)
Żwir (Gravel)
Żwir gruby (Coarse gravel)
Żwir średni (Medium gravel)
Żwir drobny (Medium gravel)
Gruboziarniste
Piasek (Sand)
Piasek gruby (Coarse sand)
Piasek średni (Medium sand)
Piasek drobny (Fine sand)
Pył (Silf)
Pył gruby (Coarse silt)
Pył średni (Medium silt)
Drobnoziarniste
Pył drobny (Fine silt)
Ił (Clay)
LBo
Bo
Co
Gr
CGr
MGr
FGr
Sa
CSa
MSa
FSa
Si
CSi
MSi
FSi
Cl
Wymiary cząstek
mm
>630
> 200 - 630
> 63 - 200
> 2,0 - 63
> 20 - 63
> 6,3 - 20
> 2,0 - 6,3
> 0,063 - 2,0
> 0,63 - 2,0
> 0,2 - 0,63
> 0,063 - 0,2
> 0,002 - 0,063
> 0,02 - 0,063
> 0,0063 - 0,02
> 0,002 - 0,0063
≤ 0,002
2. Grunty organiczne – grunty o specyficznym zapachu i barwie.
Tabela 2. Grunty organiczne.
Termin
Torf włóknisty
Torf
pseudowłóknisty
Torf amorficzny
Gytia
Humus
Opis
Struktura włóknista, łatwo rozpoznawalne tkanki, roślinne, zachowuje pewną
wytrzymałość
Rozpoznawalne tkanki roślinne: brak wytrzymałości rozpoznawalnego materiału
roślinnego
Brak widocznych struktur roślinnych, konsystencja papkowata
Rozłożone szczątki roślinne i zwierzęce: może zawierać składniki nieorganiczne
Pozostałości roślin, żywe organizmy i ich odchody razem ze składnikami
nieorganicznymi; tworzy grunt na powierzchni terenu (warstwę
przypowierzchniową)
3. Grunty wulkaniczne - cząstki mają zazwyczaj kształt pęcherzyków, a ich gęstość jest stosunkowo
mała.
Tabela 3. Grunty wulkaniczne.
Termin
Głazy wulkaniczne
Lapille
Pumeks
Skoria (żużel)
Popiół
Piasek
wulkaniczny
wulkaniczny
Tuf
Wymiar
cząstek mm
> 63
> 2,0 < 6,3
≤ 2,0
Opis
Cząstki są pęcherzykowate – białe
Cząstki są pęcherzykowate – czarne
Grunt wykazuje charakterystyczne (zróżnicowane)
właściwości geotechniczne dla każdego terenu
W większości przypadków grunt posiada lokalna
nazwę
Kraków 2010
JK