tutaj

Transkrypt

tutaj
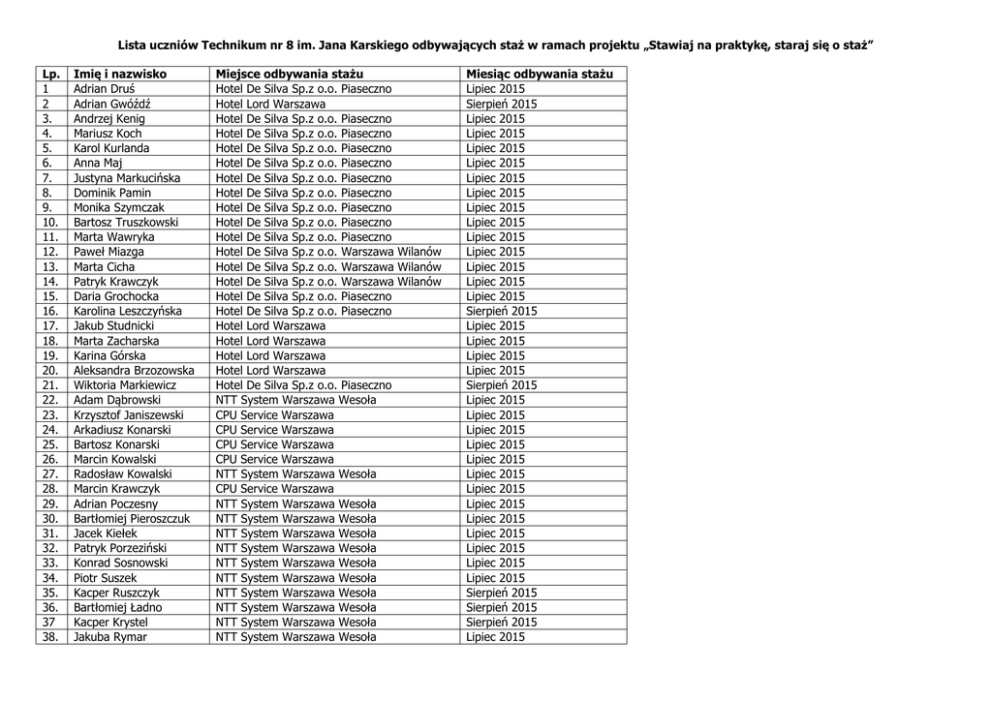
Lista uczniów Technikum nr 8 im. Jana Karskiego odbywających staż w ramach projektu „Stawiaj na praktykę, staraj się o staż”
Lp.
1
2
3.
4.
5.
6.
7.
8.
9.
10.
11.
12.
13.
14.
15.
16.
17.
18.
19.
20.
21.
22.
23.
24.
25.
26.
27.
28.
29.
30.
31.
32.
33.
34.
35.
36.
37
38.
Imię i nazwisko
Adrian Druś
Adrian Gwóźdź
Andrzej Kenig
Mariusz Koch
Karol Kurlanda
Anna Maj
Justyna Markucińska
Dominik Pamin
Monika Szymczak
Bartosz Truszkowski
Marta Wawryka
Paweł Miazga
Marta Cicha
Patryk Krawczyk
Daria Grochocka
Karolina Leszczyńska
Jakub Studnicki
Marta Zacharska
Karina Górska
Aleksandra Brzozowska
Wiktoria Markiewicz
Adam Dąbrowski
Krzysztof Janiszewski
Arkadiusz Konarski
Bartosz Konarski
Marcin Kowalski
Radosław Kowalski
Marcin Krawczyk
Adrian Poczesny
Bartłomiej Pieroszczuk
Jacek Kiełek
Patryk Porzeziński
Konrad Sosnowski
Piotr Suszek
Kacper Ruszczyk
Bartłomiej Ładno
Kacper Krystel
Jakuba Rymar
Miejsce odbywania stażu
Hotel De Silva Sp.z o.o. Piaseczno
Hotel Lord Warszawa
Hotel De Silva Sp.z o.o. Piaseczno
Hotel De Silva Sp.z o.o. Piaseczno
Hotel De Silva Sp.z o.o. Piaseczno
Hotel De Silva Sp.z o.o. Piaseczno
Hotel De Silva Sp.z o.o. Piaseczno
Hotel De Silva Sp.z o.o. Piaseczno
Hotel De Silva Sp.z o.o. Piaseczno
Hotel De Silva Sp.z o.o. Piaseczno
Hotel De Silva Sp.z o.o. Piaseczno
Hotel De Silva Sp.z o.o. Warszawa Wilanów
Hotel De Silva Sp.z o.o. Warszawa Wilanów
Hotel De Silva Sp.z o.o. Warszawa Wilanów
Hotel De Silva Sp.z o.o. Piaseczno
Hotel De Silva Sp.z o.o. Piaseczno
Hotel Lord Warszawa
Hotel Lord Warszawa
Hotel Lord Warszawa
Hotel Lord Warszawa
Hotel De Silva Sp.z o.o. Piaseczno
NTT System Warszawa Wesoła
CPU Service Warszawa
CPU Service Warszawa
CPU Service Warszawa
CPU Service Warszawa
NTT System Warszawa Wesoła
CPU Service Warszawa
NTT System Warszawa Wesoła
NTT System Warszawa Wesoła
NTT System Warszawa Wesoła
NTT System Warszawa Wesoła
NTT System Warszawa Wesoła
NTT System Warszawa Wesoła
NTT System Warszawa Wesoła
NTT System Warszawa Wesoła
NTT System Warszawa Wesoła
NTT System Warszawa Wesoła
Miesiąc odbywania stażu
Lipiec 2015
Sierpień 2015
Lipiec 2015
Lipiec 2015
Lipiec 2015
Lipiec 2015
Lipiec 2015
Lipiec 2015
Lipiec 2015
Lipiec 2015
Lipiec 2015
Lipiec 2015
Lipiec 2015
Lipiec 2015
Lipiec 2015
Sierpień 2015
Lipiec 2015
Lipiec 2015
Lipiec 2015
Lipiec 2015
Sierpień 2015
Lipiec 2015
Lipiec 2015
Lipiec 2015
Lipiec 2015
Lipiec 2015
Lipiec 2015
Lipiec 2015
Lipiec 2015
Lipiec 2015
Lipiec 2015
Lipiec 2015
Lipiec 2015
Lipiec 2015
Sierpień 2015
Sierpień 2015
Sierpień 2015
Lipiec 2015