Nowy Program (5-letni + 6. rok praktyczny) dla

Transkrypt

Nowy Program (5-letni + 6. rok praktyczny) dla
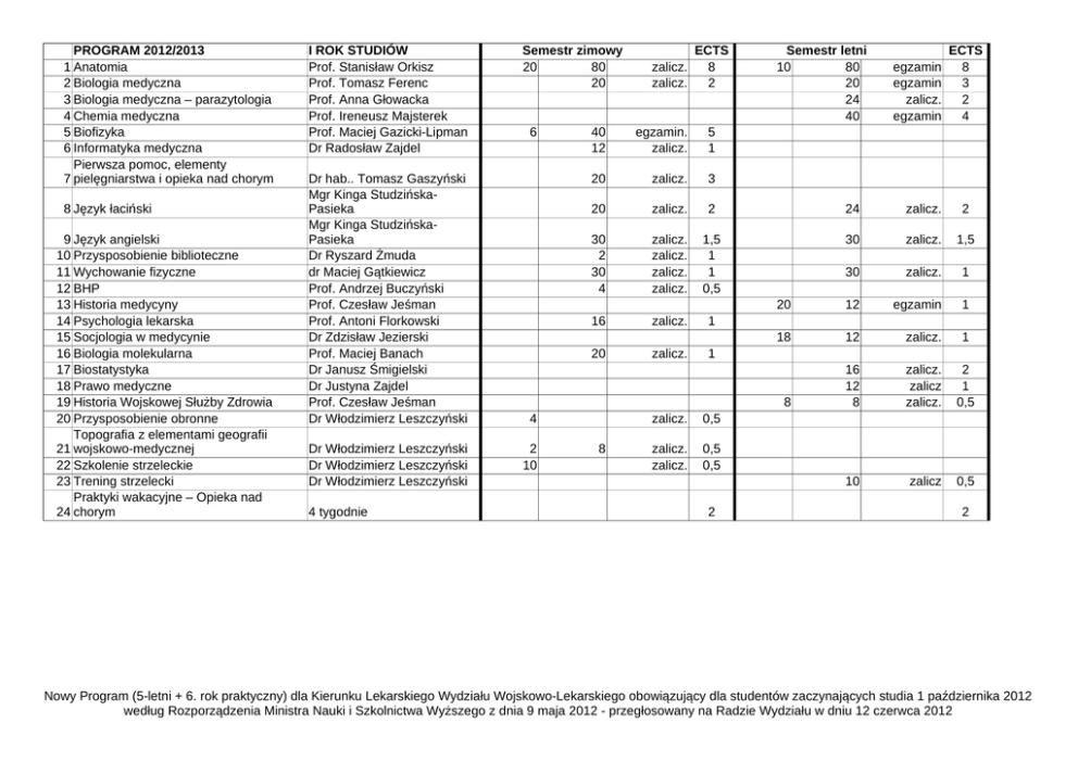
PROGRAM 2012/2013
1 Anatomia
2 Biologia medyczna
3 Biologia medyczna – parazytologia
4 Chemia medyczna
5 Biofizyka
6 Informatyka medyczna
Pierwsza pomoc, elementy
7 pielęgniarstwa i opieka nad chorym
8 Język łaciński
9 Język angielski
10 Przysposobienie biblioteczne
11 Wychowanie fizyczne
12 BHP
13 Historia medycyny
14 Psychologia lekarska
15 Socjologia w medycynie
16 Biologia molekularna
17 Biostatystyka
18 Prawo medyczne
19 Historia Wojskowej Służby Zdrowia
20 Przysposobienie obronne
Topografia z elementami geografii
21 wojskowo-medycznej
22 Szkolenie strzeleckie
23 Trening strzelecki
Praktyki wakacyjne – Opieka nad
24 chorym
I ROK STUDIÓW
Prof. Stanisław Orkisz
Prof. Tomasz Ferenc
Prof. Anna Głowacka
Prof. Ireneusz Majsterek
Prof. Maciej Gazicki-Lipman
Dr Radosław Zajdel
Dr hab.. Tomasz Gaszyński
Mgr Kinga StudzińskaPasieka
Mgr Kinga StudzińskaPasieka
Dr Ryszard Żmuda
dr Maciej Gątkiewicz
Prof. Andrzej Buczyński
Prof. Czesław Jeśman
Prof. Antoni Florkowski
Dr Zdzisław Jezierski
Prof. Maciej Banach
Dr Janusz Śmigielski
Dr Justyna Zajdel
Prof. Czesław Jeśman
Dr Włodzimierz Leszczyński
Dr Włodzimierz Leszczyński
Dr Włodzimierz Leszczyński
Dr Włodzimierz Leszczyński
4 tygodnie
Semestr zimowy
20
80
20
6
ECTS
8
2
Semestr letni
10
80
20
24
40
egzamin
egzamin
zalicz.
egzamin
ECTS
8
3
2
4
40
12
egzamin.
zalicz.
5
1
20
zalicz.
3
20
zalicz.
2
24
zalicz.
2
30
2
30
4
zalicz.
zalicz.
zalicz.
zalicz.
1,5
1
1
0,5
30
zalicz.
1,5
30
zalicz.
1
20
12
egzamin
1
16
zalicz.
1
18
12
zalicz.
1
20
zalicz.
1
8
16
12
8
zalicz.
zalicz
zalicz.
2
1
0,5
10
zalicz
0,5
4
2
10
zalicz.
zalicz.
8
zalicz.
0,5
zalicz.
zalicz.
0,5
0,5
2
2
Nowy Program (5-letni + 6. rok praktyczny) dla Kierunku Lekarskiego Wydziału Wojskowo-Lekarskiego obowiązujący dla studentów zaczynających studia 1 października 2012
według Rozporządzenia Ministra Nauki i Szkolnictwa Wyższego z dnia 9 maja 2012 - przegłosowany na Radzie Wydziału w dniu 12 czerwca 2012
PROGRAM 2012/2013
1 Biochemia
2 Fizjologia
3 Histologia, cytofizjologia i embriologia
4 Język angielski
5 Wychowanie fizyczne
6 Mikrobiologia
7 Immunologia - immunologia ogólna
8 Onkologia – propedeutyka onkologii
9 Etyka lekarska
Medycyna ratunkowa i medycyna
10 katastrof
11 Higiena i epidemiologia
12 Psychologia kliniczna
13 Neurochemia
14 Informacja o leku
15 Higiena i epidemiologia wojskowa
16 Bioterroryzm
17 Taktyka i zarządzanie kryzysowe
18 Współczesne bezpieczeństwo
Praktyki wakacyjne – Lecznictwo
19 otwarte (lekarz rodzinny)
20 Praktyki wakacyjne – Pomoc doraźna
II ROK STUDIÓW
Prof. Ireneusz Majsterek
Prof. Jan Błaszczyk
Prof. Stanisław Orkisz
Mgr Kinga StudzińskaPasieka
dr Maciej Gątkiewicz
Prof. Małgorzata Wasiela
Prof. Zbigniew Baj
Prof. Radzisław Kordek
Prof. Dariusz Moczulski
Prof. Tomasz Gaszyński
Prof. Andrzej Buczyński
Prof. Antoni Florkowski
Prof. Wiesława Agnieszka
Fogel
Prof. Andrzej Stańczak
Prof. Andrzej Buczyński
Prof. Andrzej Denys
Dr Włodzimierz Leszczyński
Dr Włodzimierz Leszczyński
3 tygodnie
1 tydzień
Semestr zimowy
10
48
10
60
10
48
10
30
30
40
12
16
12
zalicz.
zalicz.
zalicz.
zalicz.
zalicz.
egzamin
zalicz.
zalicz.
zalicz.
ECTS
4
5
4
Semestr letni
10
48
10
60
4
48
egzamin
egzamin
egzamin
ECTS
4
6
5
30
30
egzamin
zalicz.
1,5
1
6
28
zalicz.
3
6
24
egzamin
2
40
16
egzamin
egzamin
3
0,5
10
12
zalicz.
zalicz.
zalicz.
1
2
0,5
16
zalicz.
0,5
1,5
1
6
2
0,5
1
6
16
10
4
zalicz.
0,5
zalicz.
0,5
2
1
1
Nowy Program (5-letni + 6. rok praktyczny) dla Kierunku Lekarskiego Wydziału Wojskowo-Lekarskiego obowiązujący dla studentów zaczynających studia 1 października 2012
według Rozporządzenia Ministra Nauki i Szkolnictwa Wyższego z dnia 9 maja 2012 - przegłosowany na Radzie Wydziału w dniu 12 czerwca 2012
PROGRAM 2012/2013
1 Choroby wewn. - propedeutyka interny
2 Chirurgia - propedeutyka chirurgii
3 Pediatria - propedeutyka pediatrii
4 Patofizjologia
5 Farmakologia
6 Toksykologia
7 Patomorfologia
8 Endokrynologia
9 Diagnostyka zaburzeń hormonalnych
10 Chirurgia - chirurgia endokrynologiczna
11 Diagnostyka laboratoryjna
12 Radiologia
13 Dermatologia i wenerologia
Inwazyjne procedury medyczne ratujące
14 życie
15 Genetyka kliniczna
16 Medycyna sportowa
17 Chirurgia polowa
18 Interna polowa
19 Medycyna morska i tropikalna
20 Zajęcia Fakultatywne
Praktyki wakacyjne – Choroby
21 wewnętrzne
III ROK STUDIÓW
Prof. Jan Chojnacki
Prof. Adam Dziki
Prof. Krzysztof Zeman
Prof. Zbigniew Baj
Prof. Edward Kowalczyk
Prof. Edward Kowalczyk
Prof. Krzysztof Zieliński
Prof. Andrzej Lewiński
Prof. Katarzyna Wińczyk
Prof. Krzysztof Kuzdak
Prof. Marek Paradowski
Prof. Zbigniew Maziarz
Prof. Andrzej Kaszuba
Prof. Waldemar Machała
Prof. Tomasz Ferenc
Prof. Andrzej Buczyński
Prof. Marian Brocki
Prof. Jacek Rysz
Prof. Andrzej Buczyński
4 tygodnie
Semestr zimowy
40
12
15
16
zalicz.
ECTS
3
60
60
60
zalicz.
egzamin
zalicz.
4
6
5
15
zalicz.
2
20
zalicz.
2
10
40
zalicz.
egzamin
Semestr letni
25
zalicz.
14
8
12
10
60
8
60
30
10
egzamin
zalicz.
zalicz.
egzamin
zalicz.
5
1
9
2
0,5
8
32
egzamin
2
40
egzamin
3
10
zalicz.
1
8
zalicz
1
zalicz
0,5
zalicz.
1
1
3
6
8
zalicz.
8
20
zalicz.
zalicz.
2
0,5
6
8
ECTS
0,5
1
2
20
2
Nowy Program (5-letni + 6. rok praktyczny) dla Kierunku Lekarskiego Wydziału Wojskowo-Lekarskiego obowiązujący dla studentów zaczynających studia 1 października 2012
według Rozporządzenia Ministra Nauki i Szkolnictwa Wyższego z dnia 9 maja 2012 - przegłosowany na Radzie Wydziału w dniu 12 czerwca 2012
PROGRAM 2012/2013
1 Choroby wewn. - choroby metaboliczne
Choroby wewn. - choroby układu
2 oddechowego i ftyzjatria
Choroby wewn. - choroby układu
3 moczowego
4 Choroby wewn. - choroby układu ruchu
Choroby wewn. - choroby układu
5 pokarmowego
6 Chirurgia/Torakochirurgia
7 Pediatria
8 Laryngologia dziecięca
9 Choroby wewn. - hematologia
10 Choroby wewn. - diabetologia
11 Radiologia
12 Medycyna nuklearna
13 Ginekologia
14 Immunologia kliniczna i alergologia
15 Medycyna rodzinna
16 Choroby zakaźne
17 Ortopedia i traumatologia
18 Chirurgia - urologia
19 Ch. wewn. - choroby układu krążenia
20 Patomorfologia
21 Zasady prowadzenia badań naukowych
Patologia obrażeń i schorzeń wojennych
22 i terrorystycznych
23 Zajęcia Fakultatywne
IV ROK STUDIÓW
Prof. Marlena Broncel
Semestr zimowy
ECTS
Semestr letni
40
Prof. Paweł Górski
Prof. Dariusz Moczulski
Prof. Dariusz Moczulski
40
Prof. Jan Chojnacki
Prof. Marian Brocki
Prof. Krzysztof Zeman
Prof. Wiesław Konopka
Prof. Tadeusz Robak
Prof. Katarzyna Cypryk
Prof. Zbigniew Maziarz
Prof. Zbigniew Maziarz
Prof. Andrzej Malinowski
Prof. Krzysztof Zeman
Prof. Jacek Rysz
Prof. Maciej Jabłkowski
Prof. Krystian Żołyński
Prof. Marek Sosnowski
Prof. Andrzej Lubiński
Prof. Krzysztof Zieliński
Prof. Cezary Watała
40
40
zalicz
zalicz
zalicz.
6
10
20
2
1,5
20
20
36
20
zalicz
zalicz
zalicz.
zalicz.
2
2
2
1
30
40
50
egzamin
zalicz.
egzamin
2
2
4
30
60
zalicz
egzamin
2
4
8
Prof. Krzysztof Zieliński
24 Praktyki wakacyjne – Intensywna terapia 2 tygodnie
25 Praktyki wakacyjne – Chirurgia
2 tygodnie
ECTS
2
40
zalicz
2
15
zalicz
1
40
54
20
zalicz.
zalicz.
zalicz.
1,5
4
1
80
zalicz.
3
40
egzamin
2
40
40
30
egzamin
zalicz
zalicz
2
2
2
12
zalicz
1
zalicz.
2
2
2
16
4
zalicz
20
20
zalicz.
2
1
1
20
1
1
Nowy Program (5-letni + 6. rok praktyczny) dla Kierunku Lekarskiego Wydziału Wojskowo-Lekarskiego obowiązujący dla studentów zaczynających studia 1 października 2012
według Rozporządzenia Ministra Nauki i Szkolnictwa Wyższego z dnia 9 maja 2012 - przegłosowany na Radzie Wydziału w dniu 12 czerwca 2012
PROGRAM 2012/2013
Propedeutyka stomatologii/Chirurgia
1 szczękowo-twarzowa
2 Chirurgia - chirurgia kolorektalna
3 Pediatria
4 Neurologia
5 Neurochirurgia
6 Anestezjologia i intensywna terapia
Choroby wewn. – nefrologia i
7 nadciśnienie tętnicze
8 Rehabilitacja
9 Chirurgia - kardiochirurgia
10 Farmakologia kliniczna
11 Otolaryngologia
12 Okulistyka
13 Onkologia - onkologia kliniczna
14 Onkologia - onkologia kliniczna
15 Onkologia - onkologia kliniczna
16 Chirurgia - chirurgia plastyczna
17 Położnictwo
18 Psychiatria
19 Medycyna sądowa
20 Chirurgia - chirurgia dziecięca
Chirurgia - chirurgia dziecięca/ urologia
21 dziecięca
22 Zdrowie publiczne
23 Medycyna pracy/Ergonomia
Psychiatria i psychologia katastrof i
24 stanów nagłych
25 Zajęcia Fakultatywne
26 Praktyki wakacyjne – Pediatria
Praktyki wakacyjne – Ginekologia i
27 położnictwo
V ROK STUDIÓW
Semestr zimowy
ECTS
Prof. Marcin Kozakiewicz
Prof. Adam Dziki
Prof. Krzysztof Zeman
Prof. Andrzej Klimek
Prof. Andrzej Radek
Prof. Waldemar Machała
15
30
40
zalicz
2
Prof. Jacek Rysz
Prof. Jan Raczkowski
Prof. Ryszard Jaszewski
Prof. Marlena Broncel
Prof. Jurek Olszewski
Prof. Roman Goś
Prof. Marian Brocki
Prof. Elżbieta Zielińska
Prof. Piotr Potemski
Prof. Bogusław Antoszewski
Prof. Jan Wilczyński
Prof. Antoni Florkowski
Prof. Jarosław Berent
Prof. Anna PiasecznaPiotrowska
10
zalicz
0,5
20
30
50
50
zalicz.
zalicz.
egzamin
egzamin
Prof. Jerzy Niedzielski
Prof. Andrzej Buczyński
Prof. Andrzej Buczyński
10
10
10
80
40
zalicz.
zalicz.
zalicz.
egzamin
zalicz.
0,5
2
zalicz.
1,5
6
25
zalicz.
1,5
zalicz.
zalicz.
0,5
10
10
10
60
60
30
40
zalicz.
egazmin
zalicz.
egazmin
4
4
2
2
6
15
zalicz.
1
10
30
20
zalicz.
zalicz.
zalicz.
1
2
1
12
40
24
egzamin
egzamin
3
3
6
20
egzamin
2
8
16
20
zalicz.
zalicz.
1
Prof. Wojciech Gruszczyński
20
15
1
4
2
25
zalicz.
ECTS
1
3
3
3
6
20
Semestr letni
2 tygodnie
2
1
2 tygodnie
1
0,5
2
1
1
Nowy Program (5-letni + 6. rok praktyczny) dla Kierunku Lekarskiego Wydziału Wojskowo-Lekarskiego obowiązujący dla studentów zaczynających studia 1 października 2012
według Rozporządzenia Ministra Nauki i Szkolnictwa Wyższego z dnia 9 maja 2012 - przegłosowany na Radzie Wydziału w dniu 12 czerwca 2012
PROGRAM 2012/2013
Praktyczne nauczanie kliniczne –
1 Choroby wewnętrzne
Praktyczne nauczanie kliniczne –
2 Pediatria
Praktyczne nauczanie kliniczne –
3 Chirurgia
Praktyczne nauczanie kliniczne –
4 Ginekologia i położnictwo
Praktyczne nauczanie kliniczne –
5 Psychiatria
Praktyczne nauczanie kliniczne –
6 Medycyna ratunkowa
Praktyczne nauczanie kliniczne –
7 Medycyna rodzinna
Praktyczne nauczanie kliniczne –
8 Specjalność wybrana przez studenta
9 Egzamin z pediatrii
10 Egzamin z chorób wewnętrznych
11 Egzamin z chirurgii
VI ROK STUDIÓW
Semestr zimowy
ECTS
8 tygodni
240
zalicz.
16
4 tygodnie
120
zalicz.
8
4 tygodnie
120
zalicz.
8
Semestr letni
ECTS
2 tygodnie
60
zalicz.
4
2 tygodnie
60
zalicz.
4
2 tygodnie
60
zalicz.
4
2 tygodnie
60
zalicz.
4
6 tygodni
180
zalicz.
egzamin
egzamin
egzamin
12
Nowy Program (5-letni + 6. rok praktyczny) dla Kierunku Lekarskiego Wydziału Wojskowo-Lekarskiego obowiązujący dla studentów zaczynających studia 1 października 2012
według Rozporządzenia Ministra Nauki i Szkolnictwa Wyższego z dnia 9 maja 2012 - przegłosowany na Radzie Wydziału w dniu 12 czerwca 2012