Pobierz plan zajęć KKZ A.62

Transkrypt

Pobierz plan zajęć KKZ A.62
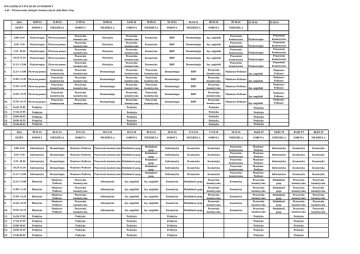
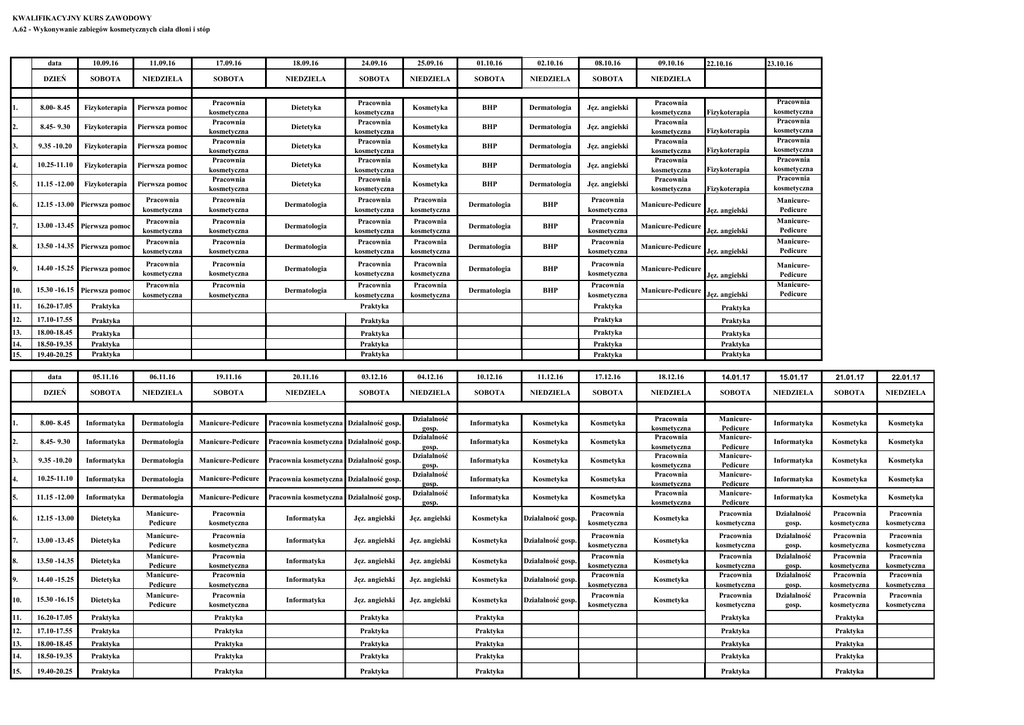
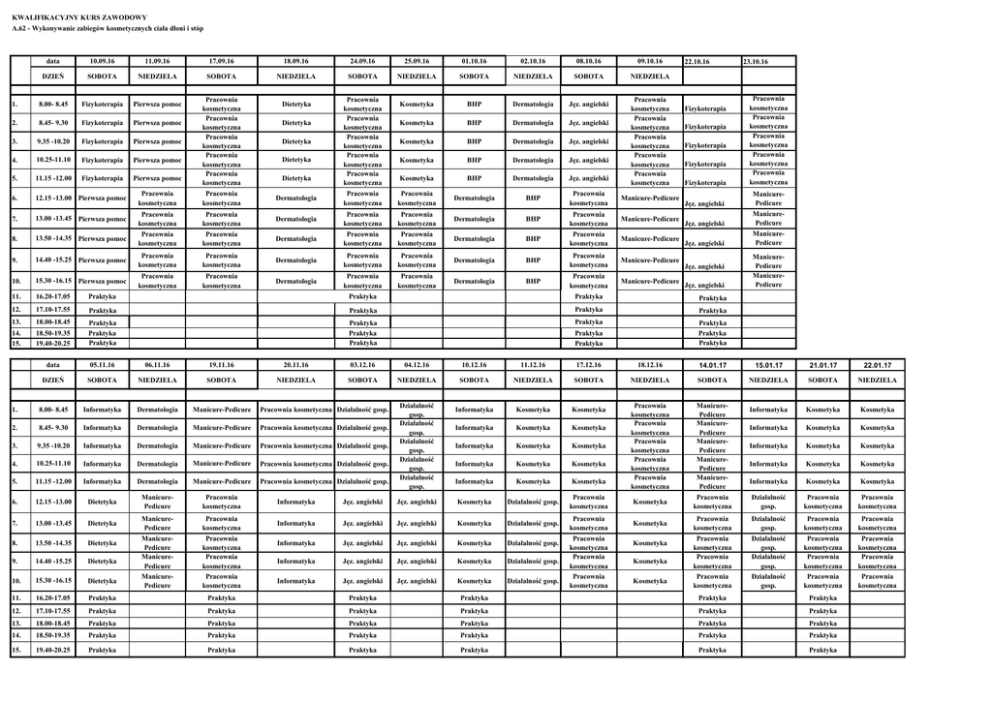
KWALIFIKACYJNY KURS ZAWODOWY
A.62 - Wykonywanie zabiegów kosmetycznych ciała dłoni i stóp
data
10.09.16
11.09.16
17.09.16
18.09.16
24.09.16
25.09.16
01.10.16
02.10.16
08.10.16
09.10.16
DZIEŃ
SOBOTA
NIEDZIELA
SOBOTA
NIEDZIELA
SOBOTA
NIEDZIELA
SOBOTA
NIEDZIELA
SOBOTA
NIEDZIELA
1.
8.00- 8.45
Fizykoterapia
Pierwsza pomoc
Kosmetyka
BHP
Dermatologia
Jęz. angielski
2.
8.45- 9.30
Fizykoterapia
Pierwsza pomoc
Kosmetyka
BHP
Dermatologia
Jęz. angielski
3.
9.35 -10.20
Fizykoterapia
Pierwsza pomoc
Kosmetyka
BHP
Dermatologia
Jęz. angielski
4.
10.25-11.10
Fizykoterapia
Pierwsza pomoc
Kosmetyka
BHP
Dermatologia
Jęz. angielski
5.
11.15 -12.00
Fizykoterapia
Pierwsza pomoc
Kosmetyka
BHP
Dermatologia
Jęz. angielski
Pracownia
kosmetyczna
Pracownia
kosmetyczna
Pracownia
kosmetyczna
Pracownia
kosmetyczna
Pracownia
kosmetyczna
6.
12.15 -13.00 Pierwsza pomoc
Pracownia
kosmetyczna
Pracownia
kosmetyczna
Dermatologia
BHP
Pracownia
kosmetyczna
7.
13.00 -13.45 Pierwsza pomoc
BHP
13.50 -14.35 Pierwsza pomoc
Pracownia
kosmetyczna
Pracownia
kosmetyczna
Dermatologia
8.
Pracownia
kosmetyczna
Pracownia
kosmetyczna
Dermatologia
BHP
Pracownia
kosmetyczna
Dermatologia
Pracownia
kosmetyczna
Dermatologia
Pracownia
kosmetyczna
Pracownia
kosmetyczna
Pracownia
kosmetyczna
Pracownia
kosmetyczna
Pracownia
kosmetyczna
Dietetyka
Dietetyka
Dietetyka
Dietetyka
Dietetyka
Pracownia
kosmetyczna
Pracownia
kosmetyczna
Pracownia
kosmetyczna
Pracownia
kosmetyczna
Pracownia
kosmetyczna
Pracownia
kosmetyczna
Pracownia
kosmetyczna
Pracownia
kosmetyczna
Pracownia
kosmetyczna
Pracownia
kosmetyczna
Pracownia
kosmetyczna
Pracownia
kosmetyczna
Dermatologia
Pracownia
kosmetyczna
Pracownia
kosmetyczna
Dermatologia
Pracownia
kosmetyczna
Dermatologia
Dermatologia
Dermatologia
Pracownia
kosmetyczna
Pracownia
kosmetyczna
Manicure-Pedicure
22.10.16
Fizykoterapia
Fizykoterapia
Fizykoterapia
Fizykoterapia
Fizykoterapia
Jęz. angielski
Manicure-Pedicure
Jęz. angielski
Manicure-Pedicure
Jęz. angielski
BHP
Pracownia
kosmetyczna
Manicure-Pedicure
BHP
Pracownia
kosmetyczna
Manicure-Pedicure
23.10.16
Pracownia
kosmetyczna
Pracownia
kosmetyczna
Pracownia
kosmetyczna
Pracownia
kosmetyczna
Pracownia
kosmetyczna
ManicurePedicure
ManicurePedicure
ManicurePedicure
9.
14.40 -15.25 Pierwsza pomoc
Pracownia
kosmetyczna
10.
15.30 -16.15 Pierwsza pomoc
Pracownia
kosmetyczna
11.
16.20-17.05
Praktyka
Praktyka
Praktyka
Praktyka
12.
17.10-17.55
Praktyka
Praktyka
Praktyka
Praktyka
13.
18.00-18.45
18.50-19.35
19.40-20.25
Praktyka
Praktyka
Praktyka
Praktyka
14.
15.
Praktyka
Praktyka
Praktyka
Praktyka
Praktyka
Praktyka
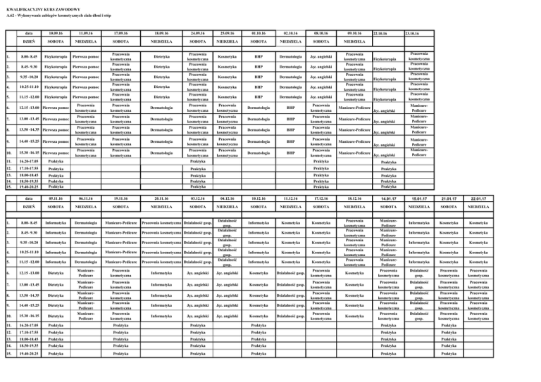
data
05.11.16
06.11.16
19.11.16
20.11.16
03.12.16
04.12.16
10.12.16
11.12.16
17.12.16
18.12.16
14.01.17
15.01.17
21.01.17
22.01.17
DZIEŃ
SOBOTA
NIEDZIELA
SOBOTA
NIEDZIELA
SOBOTA
NIEDZIELA
SOBOTA
NIEDZIELA
SOBOTA
NIEDZIELA
SOBOTA
NIEDZIELA
SOBOTA
NIEDZIELA
1.
8.00- 8.45
Informatyka
Dermatologia
Manicure-Pedicure
Pracownia kosmetyczna Działalność gosp.
Informatyka
Kosmetyka
Kosmetyka
Kosmetyka
Kosmetyka
8.45- 9.30
Informatyka
Dermatologia
Manicure-Pedicure
Pracownia kosmetyczna Działalność gosp.
Informatyka
Kosmetyka
Kosmetyka
Informatyka
Kosmetyka
Kosmetyka
3.
9.35 -10.20
Informatyka
Dermatologia
Manicure-Pedicure
Pracownia kosmetyczna Działalność gosp.
Informatyka
Kosmetyka
Kosmetyka
Informatyka
Kosmetyka
Kosmetyka
4.
10.25-11.10
Informatyka
Dermatologia
Manicure-Pedicure
Pracownia kosmetyczna Działalność gosp.
Informatyka
Kosmetyka
Kosmetyka
Informatyka
Kosmetyka
Kosmetyka
5.
11.15 -12.00
Informatyka
Dermatologia
Manicure-Pedicure
Pracownia kosmetyczna Działalność gosp.
Informatyka
Kosmetyka
Kosmetyka
ManicurePedicure
ManicurePedicure
ManicurePedicure
ManicurePedicure
ManicurePedicure
Informatyka
2.
Pracownia
kosmetyczna
Pracownia
kosmetyczna
Pracownia
kosmetyczna
Pracownia
kosmetyczna
Pracownia
kosmetyczna
Informatyka
Kosmetyka
Kosmetyka
6.
12.15 -13.00
Dietetyka
ManicurePedicure
Pracownia
kosmetyczna
Kosmetyka
Pracownia
kosmetyczna
Działalność
gosp.
Pracownia
kosmetyczna
Pracownia
kosmetyczna
7.
13.00 -13.45
Dietetyka
8.
13.50 -14.35
Dietetyka
9.
14.40 -15.25
Dietetyka
10.
15.30 -16.15
Dietetyka
ManicurePedicure
ManicurePedicure
ManicurePedicure
ManicurePedicure
Pracownia
kosmetyczna
Pracownia
kosmetyczna
Pracownia
kosmetyczna
Pracownia
kosmetyczna
Pracownia
kosmetyczna
Pracownia
kosmetyczna
Pracownia
kosmetyczna
Pracownia
kosmetyczna
Działalność
gosp.
Działalność
gosp.
Działalność
gosp.
Działalność
gosp.
Pracownia
kosmetyczna
Pracownia
kosmetyczna
Pracownia
kosmetyczna
Pracownia
kosmetyczna
Pracownia
kosmetyczna
Pracownia
kosmetyczna
Pracownia
kosmetyczna
Pracownia
kosmetyczna
11.
16.20-17.05
Praktyka
Praktyka
Praktyka
Praktyka
Praktyka
Praktyka
12.
17.10-17.55
Praktyka
Praktyka
Praktyka
Praktyka
Praktyka
Praktyka
13.
18.00-18.45
Praktyka
Praktyka
Praktyka
Praktyka
Praktyka
Praktyka
14.
18.50-19.35
Praktyka
Praktyka
Praktyka
Praktyka
Praktyka
Praktyka
15.
19.40-20.25
Praktyka
Praktyka
Praktyka
Praktyka
Praktyka
Praktyka
Praktyka
Praktyka
Działalność
gosp.
Działalność
gosp.
Działalność
gosp.
Działalność
gosp.
Działalność
gosp.
Informatyka
Jęz. angielski
Jęz. angielski
Kosmetyka
Działalność gosp.
Pracownia
kosmetyczna
Informatyka
Jęz. angielski
Jęz. angielski
Kosmetyka
Działalność gosp.
Informatyka
Jęz. angielski
Jęz. angielski
Kosmetyka
Działalność gosp.
Informatyka
Jęz. angielski
Jęz. angielski
Kosmetyka
Działalność gosp.
Informatyka
Jęz. angielski
Jęz. angielski
Kosmetyka
Działalność gosp.
Pracownia
kosmetyczna
Pracownia
kosmetyczna
Pracownia
kosmetyczna
Pracownia
kosmetyczna
Kosmetyka
Kosmetyka
Kosmetyka
Kosmetyka
Jęz. angielski
Jęz. angielski
ManicurePedicure
ManicurePedicure