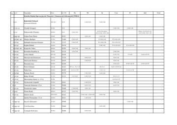
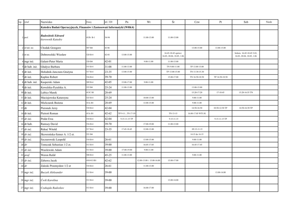
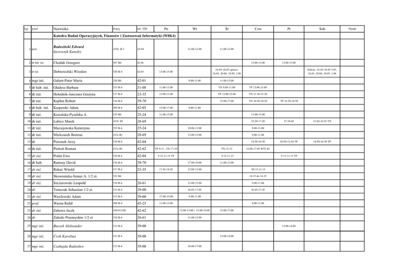
Radosiński Edward kierown - Wydział Informatyki i Zarządzania

Transkrypt

Radosiński Edward kierown - Wydział Informatyki i Zarządzania
Lp. tytuł
Nazwisko
Pokój
tel. 320
Pn
Wt
Śr
11.00-13.00
11.00-13.00
Czw
Pt
13.00-15.00
13.00-15.00
Sob
Katedra Badań Operacyjnych, Finansów i Zastosowań Informatyki (W8K4)
1 prof.
Radosiński Edward
kierownik Katedry
415b B-1
34-94
2 dr hab. inż.
Chodak Grzegorz
507 B4
42 06
16:45-18:45 oprócz:
16.03, 20.04, 18.05, 1.06
Sobota 16:45-18:45 5.03,
16.03, 20.04, 18.05, 1.06
3 dr inż.
Dobrowolski Wiesław
520 B-4
42-01
4 mgr inż.
Galant-Pater Maria
520 B4
42-01
5 dr hab. inż.
Gładysz Barbara
515 B-4
31-08
11.00-13.00
TN 9.00-11.00
TP 13.00-15.00
6 dr inż.
Hołodnik-Janczura Grażyna
517 B-4
23-35
13.00-15.00
TP 13.00-15.00
TN 13.30-15.30
7 dr inż.
Kapłon Robert
516 B-4
39-70
15.00-17.00
TN 16:50-18:50
8 dr hab. inż.
Kasperski Adam
509 B-4
42-05
15.00-17.00
9 dr inż.
Kowalska-Pyzalska A.
525 B4
25-24
11.00-13.00
10 dr inż.
Lubicz Marek
413C B1
28-69
11 dr inż.
Maciejowska Katarzyna
525 B-4
25-24
10.00-13.00
9.00-11.00
12 dr inż.
Mielczarek Bożena
413c B1
28-69
13.00-15.00
9.00-11.00
13 dr
Pieronek Jerzy
510 B-4
42-04
14 dr inż.
Pietroń Roman
413c B1
42-62
TP 9-11 , TN 17-19
15 dr inż.
Prałat Ewa
510 B-4
42-04
9.15-11.15 TP
16 dr hab.
Ramsey David
516 B-4
39-70
17 dr inż.
Rekuć Witold
517 B-4
23-35
18 dr inż.
Skowrońska-Szmer A. 1/2 et.
521 B4
19 dr inż.
Szczurowski Leopold
518 B-4
26-61
20 dr
Tomczak Sebastian 1/2 et.
513 B-4
39-00
21 dr inż.
Wasilewski Adam
513 B-4
39-00
17.00-19.00
22 prof.
Weron Rafał
508 B-4
45-25
11.00-13.00
23 dr inż.
Zabawa Jacek
410/413/B1
42-62
12.00-13.00 i 15.00-16.00
24 dr
Zaleski Przemysław 1/2 et
518 B-4
26-61
11.00-13.00
25 mgr inż.
Buczek Aleksander
513 B-4
39-00
26 mgr inż.
Ćwik Karolina
513 B-4
39-00
27 mgr inż.
Czahajda Radosław
513 B-4
39-00
13.00-15.00
9.00-11.00
11.00-13.00
9.00-11.00
13.00-15.00
15:20-17:20
14:50-16:50
TN 13-15
17-18:45
15:20-16:55 TN
10:50-12:50 TP
14:50-16:50 TP
16.00-17.05 WTI JG
9.15-11.15
17.00-19.00
17.45-18.45
TP 16:50-18:50
9.15-11.15 TP
11.00-13.00
12.00-13.00
09.15-11.15
14.15 do 16.15
13.00-15.00
9.00-11.00
16.05-17.05
16.45-17.45
9.00-11.00
9.00-11.00
15.00-17.00
13.00-14.00
13.00-14.00
16.00-17.00
Niedz
28 mgr inż.
Hrydziuszko Marta
507 B4
29 mgr inż.
Pawlicki Andrzej
521 B4
30 mgr inż.
Stawowy Andzelika
405A B1
13.00-14.00
17.45-18.45
29-27
TN 13-14,TP 11-12
Katedra Infrastruktury Zarządzania (W8K5)
1 prof.
Malara Zbigniew
kierownik Katedry
412/ B1
25-69
11.00-13.00 Jgóra
11.00-13.00
2 dr inż.
Balcerak Alicja
407 B1
28-53
12.50 - 14.50
11.00-13.00
3 dr
Dereń Aldona
406 B-1
42-40
4 dr hab. inż.
Fic Maria
524 B-4
25-67
13.10-15.10
11.00-13.00
5 dr inż.
Kroik Janusz
407 B1
39-70
17-18.30
6 prof.
Kulhanek Lumir
524 B-4
25-67
17.00-19.00
7 dr
Mrzygłocka-Chojnacka J.
407 B1
28-53
11.00-13.00
8 dr inż.
Parkitna Agnieszka
406a B-1
28-64
11.00-13.00
9 dr inż.
Ropuszyńska-Surma E.
523 B-4
21-78
11.00 – 13.00
9.00-11.00
12-13.30
12-13.30
9.00-11.00
10 dr inż.
Rutkowska-Podołowska M.
526 B-4
40-18
11 dr inż.
Ryńca Radosław
407 B1
28-53
12 dr inż.
Skonieczny Jan
406 B-1
42-40
13 dr hab. inż.
Szalbierz Zdzisław
519 B-4
41-97
14 dr inż.
Świda Adam
406a B-1
28-64
15 dr inż.
Węglarz Magdalena
526 B-4
40-18
9.15-11.15
16 dr
Zymonik Krzysztof
406a B-1
28-64
12.45 – 14.45
17 dr
Rudek Jadwiga
523 B-4
21-78
18 mgr
Gądek Magdalena
522 B-4
41-98
TP 10.00-11.00
19 mgr inż.
Miśko Rafał
522 B-4
41-98
10.00 do 11.00
20 mgr inż.
Sulich Adam
522 B-4
41-98
21 mgr inż.
Ziembicki Paweł
522 B-4
41-98
13.00-15.00
TN 11-13 TP 13-15
13.00 – 15.00
TN 11.00 – 13.00
9.00-11.00
10.00 -12.00
10.00 -12.00
11.00-13.00
9.00-11.00
15.00-17.00
10.03.16 TP 11-13;
TN 11.00-13.00
15.00-17.00
11.00-13.00
9.00-11.00
13.00-14.00
TP 10-12 Wałbrz.
12.00 – 14.00
9.00 – 11.00
14.00 – 15.00
TN 12.00-13.00
11.15-12.55
18.45 a 19.45
Katedra Systemów Zarządzania (W8K6)
1 prof.
Kuchta Dorota
kierownik Katedry
420 B-4
32-19
13.30-15.30
2 dr
Bajcar Beata
415c B-1
37 57
12.15 – 13.15
3 dr inż.
Betta Jan
317d B1
42-37
14.15-15.15 JGóra, 17.4518.45 Wrocł
14.45 - 15.45, 17.40 - 18.40
TP 15.00 - 17.00
zwolnienie lekarskie
4 dr inż.
Bieńkowska Agnieszka
315 B1/1a13B4
42-41
5 dr
Borkowska Anna
415c B-1
37 57
6 dr inż.
Brol Marian Waldemar
315 B1
42-41
Wtorek: 11.00-13.00 Dyżur dziekański - 1a13B4,
10.00-11.00 Konsultacje 421B4
15.00-17.00
11.00-13.00 Dyżur
dziekański - 1a13B4
18.30-19.30
13.00-15.00
TN 11-13. TP 1517
7 dr
Brycz Bogumiła
313b B-1
26-17
8 dr inż.
Chlebus Tomasz
317a B1
35-79
15.00-17.00
9 dr inż.
Ciurla Mieczysław
306C/B-1
34 95
17.00-19.00
10 dr inż.
Dobrowolska Anna
311a B1
42-81
9.00-11.00
9.15-11.15
11 prof.
Dudycz Tadeusz
405B B1/ 421 B4
29-27
TP 15-17, TN 11-13
13.15-15.15
12 dr inż.
Dzidowski Adam
415a/ B1
42-12
16.45-18.45
13 dr inż.
Górski Arkadiusz
420/B4
42-39
15.00-17.00
14 dr inż.
Greber Tomasz
311c B1
42-81
18.00-20.00
15 prof.
Grobelny Jerzy
P-2/ 43
348 50 50
320-37-57
16 prof.
Hopej Marian
309a B-1
34-95
17.00-18.00
13.00-15.00
14.00-16.00 Wałb. s. nr 4
13.00-15.00
17.00-19.00
13.00-15.00
TP 15.00-17.00
TN 17-19.00
9-10, 15-16
10.00-12.00
15.00-17.00
TN - 11.00-13.00
Konsultacje 421B4
17.00 - 19.00
17.00-19.00
17 dr inż.
Jach Katarzyna
415c B1
348 50 50
320-37-57
18 dr inż.
Kamiński Robert
306 B-1
34 95
19 dr inż.
Klaus-Rosińska Agata
317a B1
46-91
11.00-13.00
TP 15.00-17.00, (TN 15-17
8.03.16)
16.30-18.30
7.30 - 9.30
17.00 - 19.00
20 dr inż.
Kowalski Michał
313b B-1
26-17
21 dr inż.
Kubiński Piotr
309 B1
27-49
10.30-12.30 s. 415c bud.
B1
9-11 s. 43 bud. P2
12.00-14.00
13.00-15.00
TN 11-13 TP 9.05-11.05
13.00-15.00
22 dr inż.
Kuliński Marcin
415a B1
42-12
TP16:50-18:50
415a B1
23 dr inż.
Lipowicz Andrzej
306 B-1
34 95
7.30-9.30
24 dr
Małuszyński Wojciech
415c B-1
37 57
25 dr
Michalski Rafał
415c B1
348 50 50
320-37-57
26 dr inż.
Molasy Marian
423 B-4
42 37
27 prof.
Moszkowicz Mieczysław
310 B-4
28 57
28 dr inż.
Nowak Andrzej
311a, B1;
42-04
29 dr inż.
Nowak Milleniusz
307C B-1
29-58,34-95
30 dr inż.
Ptaszyńska Ewa
317a B1
46-91
TN 11-13, TP 9-11
31 dr inż.
Rudnicki Jacek
317a B1
35 79
13.00-15.00
13.00-15.00
32 dr inż.
Rzońca Waldemar
315 B1
42-41
15.00-17.00
13.00-15.00
33 dr inż.
Sibilski Wojciech
405a B-1
29-27
TN 17-19 P2/ 43
7.30-9.30
TN 11.00-13.00
11.15-13.00 zjazdy
11.00-13.00 P2/ 43
13.00 - 15.00 Wrocław, B1, 415c
12.15-14.15 J.Góra s.118
11.00-13.00
13.00-15.00
9.00-11.00
TN 11-13 TP 13-15
13.00-15.00
13.00-15.00
15.00-17.00
12.00-14.00
TP 13.30-14.30;
TN 17.20-19.20
17.00-19.00
9.00-11.00
9.00-11.00
12.30-14.30
34 dr inż.
Tutaj Jerzy
306 B1
42-38
11.00 -13.00 Wrocł.
9-11 Wałb. A1/104
35 dr inz.
Walecka-Jankowska K.
307C/B-1
45-25
9.00-11.00
11.00-13.00
36 dr hab. inż.
Wilimowska Zofia 3/4 et.
314 B1
35-55
37 dr inż.
Zabłocka-Kluczka Anna
315 B1
42-41
38 dr inż.
Zbroja Tadeusz
317a B1
35 79
TN 9.00-11.00
39 dr inż.
Anna Zgrzywa-Ziemak
307C/B-1
45-25
13.00-15.00
40 dr inż.
Zimmer Joanna
309b B1
27-49
15.10 -17.10
10.30-12.30
41 dr hab. inż.
Zymonik Zofia
311, B1;
42-82
17.00-19.00
TN 9.15-11.15
42 dr inż.
Żurawowicz Lidia
311c, B1;
42-04
9.00-11.00
43 dr inż.
Zymonik Janusz
311, B1;
42-82
44 mgr
Biliński Łukasz
405a B-1
29-27
45 mgr
Bielecka Urszula
46 mgr
Bogatko Piotr
405a B-1
29-28
47 mgr
Dyrcz Katarzyna
405a B-1
29-28
48 mgr
Krzos Paweł
415c B1
37-57
49 mgr
Malerek Karolina
405a B-1
29-27
50 mgr
Skomra Agnieszka
317b B1
20-81
51 mgr
Włodarczyk Anna
405a B-1
29-27
52 mgr
Żołędziowska Anna
405a B-2
29-28
10.00-11.00 i 13.0014.00
TN 10.00-12.00 i
(1.03.16 10.00-12.00)
15-17 po 19.04 13-15
13.00-15.00
10.00-12.00
TP 13.00-15.00
13-15 od maja. 9-11
soboty 12.00-14.00. 27.02; 19.03; 23.04;
21.05;11.06;
TP 9-11, TN 8-9 i 13-14
18,00-19,00
7.45-8.45
17.45 - 18.45
18.40-19.40
15.00-16.00
15.30-16.30
11.00-12.00
11.00-12.00.
14.00-15.00
15.30-16.30