9 tt+soc I ootoz i zoog I zoog

Transkrypt

9 tt+soc I ootoz i zoog I zoog
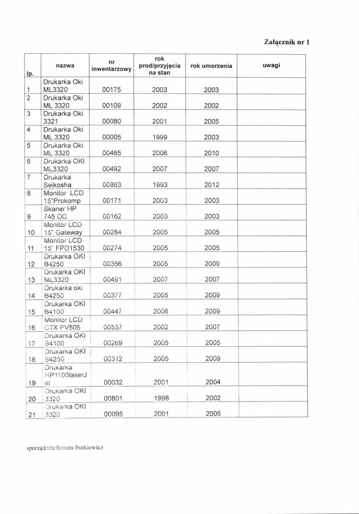
Zalqczniknr
nazwa
lo.
1
2
3
4
5
6
7
I
Drukarka Oki
M13320
Drukarka Oki
ML 3320
Drukarka Oki
3321
Drukarka Oki
ML 3320
Drukarka Oki
ML 3320
Drukarka OKI
M13320
lDrukarka
:Seikosha
Monitor LCD
l5"Prokomp
I Skaner HP
nr
inwentarzowy
rok
prod/prryjgcia
na stan
rok umozenia
00175
2003
2003
001 09
2002
2002
00080
2001
2005
00005
1999
2003
00465
2006
2010
00492
2007
2007
00863
1
993
2012
r
9 tt+soc I
iMoniior LCt)
00171
I
zoog I
zoog
00284 |
ZOOS
2005
i
00356 ,
ZOOS I
2005
ootoz
i
I
11 15" FPD1530 ' 00274
'Monitor LCD
13
r
Drukarra OKI
I
:
Drukarka
OKI
|
l-l-SruraiGori i
i
Jrukarra OKI
15 84100
rMonitor
16
I
irviiggzo i oo+et ',
14 84250
CrX
i
'
0037'7
'
00447
I
LCD i
PV505
Drirkarka
2003
i
i
10 i l5" Gatewav
12 F.4250
2003
OKI i
i7 3410C
, Drurarra OKI
pg- '
':p-:lDrukarxa
2oo7 ',
sporz4dzila: Rcnata Butkiewtcz
2oo7
I
2005
2009
2006
00537
2002
00269 ,
2005
2oo9
'
2007
I
2005
00312
i
i
19 et
a dKl,3320_
I
tzj
-lirrrtan
|
-,lrukaika OKI
21 3320
ZOOS
'
I
HPl i 00laserJ
r
ZOOS
i
00032
008_01
_ryg1______A9l
ru
2001
2005
uwagi
1