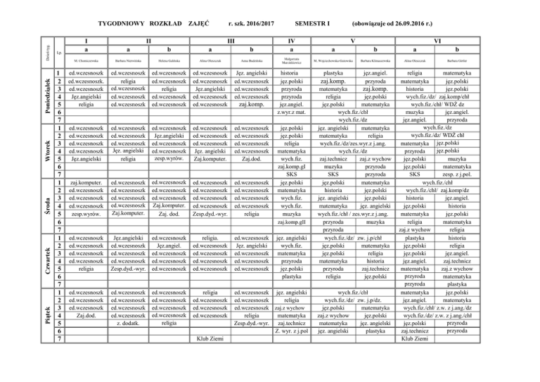
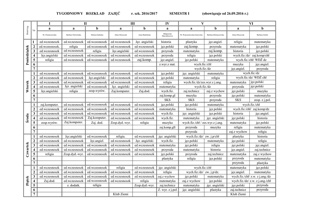
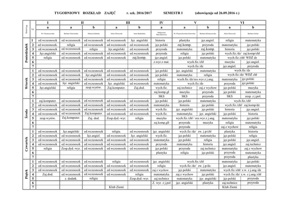
Plan lekcji

Transkrypt

Plan lekcji
Piątek
Czwartek
Środa
Wtorek
Poniedziałek
Dzień tyg.
TYGODNIOWY ROZKŁAD
Lp.
1
2
3
4
5
6
7
1
2
3
4
5
6
7
1
2
3
4
5
6
7
1
2
3
4
5
6
7
1
2
3
4
5
6
7
I
a
ZAJĘĆ
II
a
r. szk. 2016/2017
III
b
a
b
(obowiązuje od 26.09.2016 r.)
SEMESTR I
IV
a
M. Chomiczewska
Barbara Nierwińska
Helena Galińska
Alina Oleszczuk
Anna Budzińska
Małgorzata
Marcinkiewicz
ed.wczesnoszk
ed.wczesnoszk.
ed.wczesnoszk
Jęz.angielski
religia
ed.wczesnoszk
religia
ed.wczesnoszk
ed.wczesnoszk
ed.wczesnoszk
ed.wczesnoszk
ed.wczesnoszk
religia
ed.wczesnoszk
ed.wczesnoszk
ed.wczesnoszk
ed.wczesnoszk
Jęz.angielski
ed.wczesnoszk
ed.wczesnoszk
Jęz. angielski
ed.wczesnoszk
ed.wczesnoszk
ed.wczesnoszk
historia
jęz.polski
przyroda
przyroda
jęz.angiel.
z.wyr.z mat.
ed.wczesnoszk
ed.wczesnoszk
ed.wczesnoszk
ed.wczesnoszk
Jęz.angielski
ed.wczesnoszk
ed.wczesnoszk
ed.wczesnoszk
Jęz. angielski
religia
ed.wczesnoszk
Jęz.angielski
ed.wczesnoszk
ed.wczesnoszk
zesp.wyrów.
ed.wczesnoszk
ed.wczesnoszk
ed.wczesnoszk
Jęz. angielski
Zaj.komputer.
ed.wczesnoszk
ed.wczesnoszk
ed.wczesnoszk
ed.wczesnoszk
Zaj.dod.
zaj.komputer.
ed.wczesnoszk
ed.wczesnoszk
ed.wczesnoszk
zesp.wyrów.
ed.wczesnoszk
ed.wczesnoszk
ed.wczesnoszk
ed.wczesnoszk
Zaj.komputer.
ed.wczesnoszk
ed.wczesnoszk
ed.wczesnoszk
Zaj.komputer.
Zaj. dod.
ed.wczesnoszk
ed.wczesnoszk
ed.wczesnoszk
ed.wczesnoszk
Zesp.dyd.-wyr.
ed.wczesnoszk
ed.wczesnoszk
ed.wczesnoszk
ed.wczesnoszk
religia
V
VI
a
b
a
b
M..Wojciechowska-Gutowska
Barbara Klimaszewska
Alina Oleszczuk
Barbara Girtler
plastyka
jęz.angiel.
przyroda
zaj.komp.
ed.wczesnoszk
ed.wczesnoszk
ed.wczesnoszk
ed.wczesnoszk
religia
Jęz.angielski
ed.wczesnoszk
ed.wczesnoszk
ed.wczesnoszk
Zesp.dyd.-wyr.
ed.wczesnoszk
Jęz.angiel.
ed.wczesnoszk
ed.wczesnoszk
ed.wczesnoszk
religia.
ed.wczesnoszk
ed.wczesnoszk
ed.wczesnoszk
ed.wczesnoszk
ed.wczesnoszk
Jęz. angielski
ed.wczesnoszk
ed.wczesnoszk
ed.wczesnoszk
jęz. angielski
wych.fiz.
matematyka
przyroda
jęz.polski
plastyka
matematyka
zaj.komp.
religia
jęz.polski
jęz.polski
matematyka
wych.fiz./chł
wych.fiz./dz
jęz. angielski
matematyka
matematyka
religia
wych.fiz./dz/zes.wyr.z j.ang.
wych.fiz./dz
zaj.technicz
zaj.z wychow
muzyka
przyroda
SKS
przyroda
jęz.polski
matematyka
historia
jęz.polski
jęz. angielski
jęz.polski
matematyka
jęz. angielski
wych.fiz./chł / zes.wyr.z j.ang.
przyroda
muzyka
przyroda
wych.fiz./dz/ zw. j.p/chł
jęz.polski
matematyka
jęz.polski
religia
matematyka
historia
przyroda
zaj.technicz
religia
jęz.polski
ed.wczesnoszk
ed.wczesnoszk
ed.wczesnoszk
Zaj.dod.
ed.wczesnoszk
ed.wczesnoszk
ed.wczesnoszk
ed.wczesnoszk
z. dodatk.
ed.wczesnoszk
ed.wczesnoszk
ed.wczesnoszk
ed.wczesnoszk
religia
religia
ed.wczesnoszk
ed.wczesnoszk
ed.wczesnoszk
ed.wczesnoszk jęz. angielski
ed.wczesnoszk
religia
ed.wczesnoszk zaj.z wychow
religia
matematyka
Zesp.dyd.-wyr.
zaj.technicz
Z. wyr. z j.pol
wych.fiz./chł
wych.fiz./dz/ zw. j.p/dz.
jęz.polski
matematyka
zaj.z wychow
jęz.polski
matematyka
jęz. angielski
jęz. angielski
plastyka
zaj.komp.
jęz.polski
jęz.polski
religia
matematyka
wych.fiz.
zaj.komp.gI
SKS
jęz.polski
matematyka
wych.fiz.
wych.fiz.
muzyka
zaj.komp.gII
Klub Ziemi
religia
matematyka
matematyka
jęz.polski
historia
jęz.polski
wych.fiz./dz/ zaj.komp/chł
wych.fiz./chł/ WDŻ dz
muzyka
jęz.angiel.
jęz.angiel.
przyroda
wych.fiz./dz
wych.fiz./dz/ WDŻ chł
matematyka jęz.polski
jęz.polski
przyroda
jęz.polski
muzyka
jęz.polski
matematyka
SKS
zesp. z j.pol.
wych.fiz./chł
wych.fiz./chł/ zaj.komp/dz
historia
jęz.angiel.
jęz.polski
historia
matematyka
jęz.polski
religia
matematyka
zaj.z wychow
religia
plastyka
historia
jęz.polski
religia
jęz.polski
jęz.angiel.
jęz.angiel.
zaj.technicz
matematyka
zaj.z wychow
przyroda
matematyka
przyroda
plastyka
matematyka
jęz.polski
jęz.angiel.
matematyka
wych.fiz./chł/ z.w. z j.ang./dz
wych.fiz./dz/ z.w. z j.ang./chł
przyroda
jęz.polski
przyroda
zaj.technicz
Klub Ziemi