załącznik nr 41 ds. 20/14

Transkrypt

załącznik nr 41 ds. 20/14
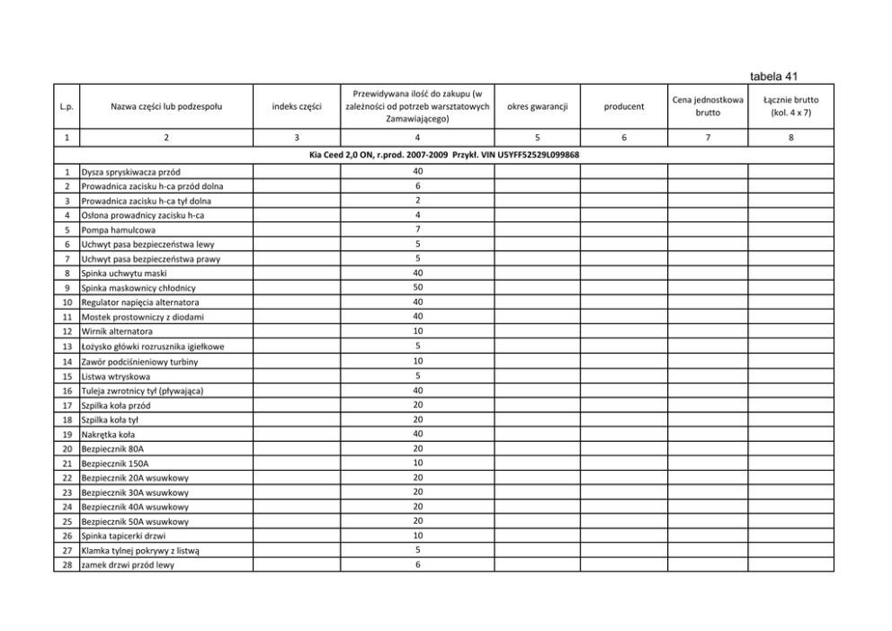
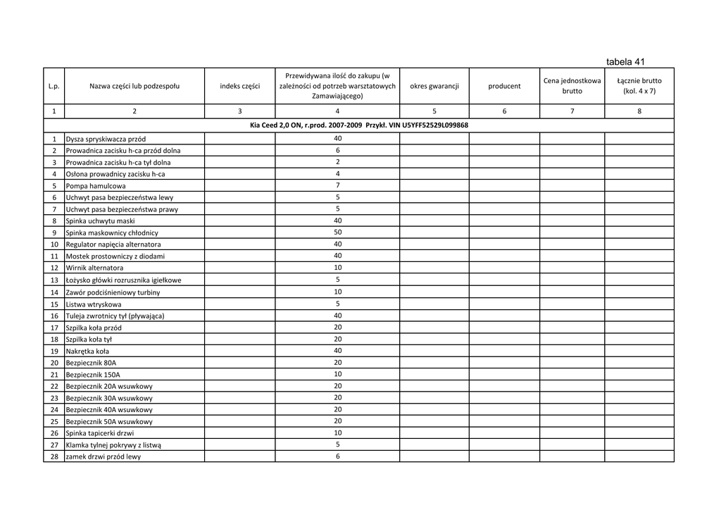
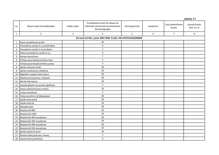
tabela 41
L.p.
Nazwa części lub podzespołu
indeks części
Przewidywana ilość do zakupu (w
zależności od potrzeb warsztatowych
Zamawiającego)
okres gwarancji
producent
Cena jednostkowa
brutto
Łącznie brutto
(kol. 4 x 7)
1
2
3
4
5
6
7
8
Kia Ceed 2,0 ON, r.prod. 2007-2009 Przykł. VIN U5YFF52529L099868
1
Dysza spryskiwacza przód
40
2
Prowadnica zacisku h-ca przód dolna
6
3
Prowadnica zacisku h-ca tył dolna
2
4
Osłona prowadnicy zacisku h-ca
4
5
Pompa hamulcowa
7
6
Uchwyt pasa bezpieczeństwa lewy
5
7
Uchwyt pasa bezpieczeństwa prawy
5
8
Spinka uchwytu maski
40
9
Spinka maskownicy chłodnicy
50
10 Regulator napięcia alternatora
40
11 Mostek prostowniczy z diodami
40
12 Wirnik alternatora
10
13 Łożysko główki rozrusznika igiełkowe
5
14 Zawór podciśnieniowy turbiny
10
15 Listwa wtryskowa
5
16 Tuleja zwrotnicy tył (pływająca)
40
17 Szpilka koła przód
20
18 Szpilka koła tył
20
19 Nakrętka koła
40
20 Bezpiecznik 80A
20
21 Bezpiecznik 150A
10
22 Bezpiecznik 20A wsuwkowy
20
23 Bezpiecznik 30A wsuwkowy
20
24 Bezpiecznik 40A wsuwkowy
20
25 Bezpiecznik 50A wsuwkowy
20
26 Spinka tapicerki drzwi
10
27 Klamka tylnej pokrywy z listwą
5
28 zamek drzwi przód lewy
6
29 zamek drzwi przód prawy
5
30 ogranicznik drzwi przód lewy
5
31 ogranicznik drzwi przód prawy
3
32 wspornik amortyzatora tył
40
33 silnik wentylatora chłodnicy
15
34 silnik wentylatora dmuchawy
35
35 uszczelka miedziana wtrysku
100
36 reflektor prawy
10
37 reflektor lewy
10
38 uszczelka turbosprężarki
Przewód gumowy (sprężarka -filtr
39 powietrza)
30
40 Przewód gumowy (sprężarka -intercooler)
10
41 spręzyna zawieszenia przód
15
42 przewód elastyczny h-ca przód
15
43 przewód elastyczny h-ca tył
10
44 tłumik końcowy
10
45 uszczelka katalizatora
10
46 wieszak tłumika
20
47 panel sterujący podnoszeniem szyb
10
48 łozysko górne Mac Phersona
60
49 automat STOP
5
50 rezystor wentylatora chłodnicy
10
51 uszczelka chłodnicy oleju górna
80
52 uszczelka chłodnicy oleju dolna
80
10
53 korek układu chłodniczego
4
54 wycieraczka szyby tył
40
55 Przepływomierz powietrza
15
56 czujnik obrotów wału korbowego
20
57 pompa paliwa
10
58 Zawór EGR
10
59 tarcza koła (felga)
6
60 Koło zamachowe dwumasowe
60
61 łozysko oporowe sprzęgła
60
62 sprzęgło kpl (docisk +tarcza)
60
63 Pompa sprzęgła
25
64 Tuleja wahacza przedniego przód
50
65 Tuleja wahacza przedniego tył
50
66 tulejka stabilizatora przód
100
67 tulejka stabilizatora tył
60
68 łącznik drążka stabilizatora przód
200
69 łącznik drążka stabilizatora tył
150
70 drążek kierowniczy
40
71 Osłona drążka kierowniczego gumowa
50
72 końcówka drążka lewa
20
73 końcówka drążka prawa
20
74 drążek reakcyjny (drążek wahacza)tył
100
75 sworzeń wachacza
100
76 śruba łącznika wahacza tył
100
77 podkładka regulacyjna łącznika wahacza tył
100
78 łozysko piasty przód lewe
10
79 łożysko piasty przód prawe
10
80 łożysko piasty tył lewe (z piastą)
10
81 łożysko piasty tył prawe (z piastą)
10
82 Pasek wielorowkowy alternatora
100
83 rolka paska wielorowkowego
20
84 napinacz paska wielorowkowego
30
85 koło pasowe (sprzęgło) alternatora
koło pasowe sprężarki klimatyzacji
86 976433K120
15
87 Koło zębate rozrusznika 3614227700
50
88 Uszczelka kolektora wydechowego
10
89 Uszczelka kolektora ssącego
10
90 śruby głowicy 1kpl
10
91 Uszczelka pokrywy zaworów
30
92 Zbiornik spryskiwacza
3
93 pompka spryskiwacza
3
94 pasek rozrządu
70
95 rolka prowadząca rozrządu
70
96 napinacz paska rozrządu
70
10
97 pompa wody
70
98 pióro wycieraczki przód kpl
150
99 pióro wycieraczki tył
50
100 termostat
10
101 świeca żarowa
28
102 szczęki h-ca ręcznego
50
103 linka h-ca ręcznego prawa
45
104 linka h-ca ręcznego lewa
45
105 amortyzator przód
30
106 amortyzator tył
20
107 łozysko 6002
60
108 zespół sprzegający (bendix)
60
109 włącznik rozrusznika (automat)
60
110 szczotkotrzymacz
kpl osłona przegubu zewnętrznego
111 (gumowa)
40
112 przegub zewnetrzny
15
30
113 cewka sprężarki klimatyzacji
5
114 sprzęgło sprężarki klimatyzacji
20
115 przepływomierz
10
116 pompa wysokiego ciśnienia
2
117 Panewka korkowodowa 1kpl-8szt
2
118 panewka główna 1kpl - 8szt
2
119 panewka główna z oporami 2szt
2
120 wał korbowy
2
121 korbowód
8
122 uszczelniacz tylny silnika
15
123 uszczelniacz przedni silnika
15
124 uszczelniacz wałka rozrządu
20
125 śruby głowicy 1kpl
10
126 uszczelka miedziana wtryskiwacza
100
127 popychacz hydrauliczny zaworu
96
128 wałek rozrządu wydechowy
6
129 dżwignia wydechowa
96
130 dżwignia ssąca
96
elektromagnetyczny zawór sterujący
131 sprężarką
2
132 chłodnica wody
5
133 chłodnica klimatyzacji
5
134 tulejka rozrusznika
60
135 zacisk hamulca przód lewy
2
136 zacisk hamulca przód prawy
2
137 zacisk hamulca tył lewy
2
138 zacisk hamulca tył prawy
2
139 zestaw naprawczy zacisku przod - tłoczek
4
140 zestaw naprawczy zacisku tył - tłoczek
4
141 odbój - osłona amortyzatora przod kpl
15
142 odbój - osłona amortyzatora tył kpl
15
143 nadkole plastikowe przód
4
144 nadkole plastikowe tył
4
145 stojan rozrusznika
10
146 pierścień zabezpieczający rozrusznika
5
147 uszczelka pompy wody
3
148 zawór regulacji ciśnienia na szynie CR
2
149 przekażnik świec żarowych - sterownik
3
150 grzejnik nagrzewnicy
3
151 górne mocowanie amortyzatora przód
20
152 sprężyna zawieszenia tył
20
153 pompa oleju
2
154 zbiornik wyrównawczy płynu chłodniczego
155 bateria pilota A27
4
150
156 regulator - mostek podstawa
3
157 czujnik poziomu płynu spryskiwaczy
2
158 poduszka silnika prawa
2
159 poduszka silnika lewa
2
160 poduszka silnika przednia
2
161 poduszka silnika tylnia
2
162 spinka podpory maski silnika
20
163 Lampa tylna lewa
1
164 lampa tylna prawa
1
165 kolumna kierownicza ze wspomaganiem
Tuleja wahacza tylnego wzdłużnego
166 przednia
20
167 Tuleja drążka poprzecznego tylnego
20
168 Tuleja wewn. wahacza tylnego
Linka otwierania wlewu paliwa
169 (815901H500)
20
170 Wałek rozrządu
10
171 Dzwigienka zaworu ssąca
64
172 Dzwigienka zaworu wydechowa
64
173 Włacznik STOP
10
174 Uszczelka korka spustowego oleju
60
175 dźwigienka zaworu wydechowego
40
176 dźwigienka zaworu ssącego
uszczelniacz 22*35*7 - dekla
177 klawiatury(wtrysk)
40
178 tłok silnika
12
179 pierścień tłoka kpl
2
2
40
12
KIA Ceed 1,6 ON 2011-2012r. Przykł. VIN U5YHM816ADL011189
180 Klocki h-ca przod
181 Tarcza h-ca przód
30
182 Uszczelka głowicy
183 Śruba głowicy 1 kpl
1
184 uszczelka kolektora ssącego
185 uszczelka kolekrora wydechowego
1
186 rozrząd silnika kpl
187 Pompa wody
5
188 koło dwumasowe zamachowe
189 łożysko oporowe sprzęgła
5
190 sprzęgło kpl (docisk +tarcza)
191 Pompa sprzęgła
5
192 Pasek wielorowkowy alternatora
193 Rolka paska wieiorowkowego
20
194 napinacz paska wielorowkowego
195 Uszczelka pokrywy zaworów
20
196 Czujnik obrotu walka rozrządu
1
16
1
1
5
5
5
20
1
197 Przepływomierz
198 Pióra wycieraczek przód kpl
199 Pióro wycieraczek tył
200 Zawór EGR
2
30
8
2
RAZEM BRUTTO
…………………………………………………………………….
pieczęć i podpis Wykoanwcy
lub osoby upoważnionej