Wykaz nieruchomosci

Transkrypt

Wykaz nieruchomosci
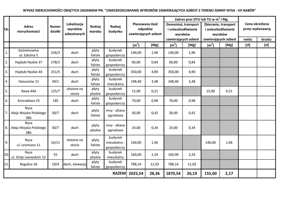
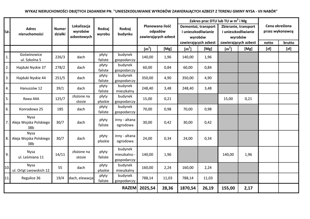
WYKAZ NIERUCHOMOŚCI OBJĘTYCH ZADANIEM PN. "UNIESZKODLIWIANIE WYROBÓW ZAWIERAJĄCYCH AZBEST Z TERENU GMINY NYSA - VII NABÓR"
Lp.
Adres
nieruchomości
Numer
działki
Lokalizacja
wyrobów
azbestowych
Rodzaj
wyrobu
Rodzaj
budynku
Planowana ilość
odpadów
zawierających azbest
2
2
[m ]
[Mg]
[m ]
[Mg]
140,00
1,96
140,00
1,96
60,00
0,84
60,00
0,84
350,00
4,90
350,00
4,90
248,40
3,48
248,40
3,48
15,00
0,21
70,00
0,98
70,00
0,98
płyty
faliste
płyty
faliste
płyty
faliste
płyty
faliste
płyty
płaskie
płyty
faliste
budynek
gospodarczy
budynek
gospodarczy
budynek
gospodarczy
budynek
mieszkalny
budynek
gospodarczy
budynek
gospodarczy
dach
płyty
faliste
inny - altana
ogrodowa
30,00
0,42
30,00
0,42
30/7
dach
płyty
płaskie
inny - altana
ogrodowa
24,00
0,34
24,00
0,34
płyty
faliste
140,00
1,96
160,00
2,24
160,00
2,24
788,14
11,03
788,14
11,03
28,36
1870,54
26,19
1.
Goświnowice
ul. Szkolna 5
226/3
dach
2.
Hajduki Nyskie 37
278/2
dach
3.
Hajduki Nyskie 44
251/5
dach
4.
Hanuszów 12
39/1
dach
5.
Iława 44A
125/7
złożone na
stosie
6.
Konradowa 25
185
dach
30/7
Nysa
7. Aleja Wojska Polskiego
38b
Nysa
8. Aleja Wojska Polskiego
38b
Zakres prac DTU lub TU w m2 i Mg
Demontaż, transport Zbieranie, transport
i unieszkodliwianie
i unieszkodliwianie
wyrobów
wyrobów
zawierających azbest zawierających azbest
9.
Nysa
ul. Leśmiana 11
14/11
złożone na
stosie
10.
Nysa
ul. Orląt Lwowskich 12
55
dach
11.
Regulice 36
19/4
dach, elewacja
płyty
płaskie
płyty
faliste
budynek
mieszkalno gospodarczy
budynek
mieszkalny
budynek
gospodarczy
RAZEM 2025,54
2
[m ]
[Mg]
15,00
0,21
140,00
1,96
155,00
2,17
Cena określona
przez wykonawcę
netto
[zł]
brutto
[zł]