S * l = S` * l` = V = const. ρ * V = ρ * S * l = ρ` * V` = ρ` * S * l` = m

Transkrypt

S * l = S` * l` = V = const. ρ * V = ρ * S * l = ρ` * V` = ρ` * S * l` = m
Odpowiedź do zadania dotyczącego roli i znaczenia poszczególnych parametrów wzor... Page 1 of 1
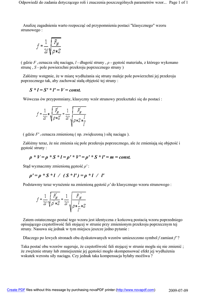
Analizę zagadnienia warto rozpocząć od przypomnienia postaci "klasycznego" wzoru strunowego : ( gdzie F N oznacza siłę naciągu, l - długość struny , ρ - gęstość materiału, z którego wykonano strunę , S - pole powierzchni przekroju poprzecznego struny ) Załóżmy wstępnie, że w miarę wydłużania się struny maleje pole powierzchni jej przekroju poprzecznego tak, aby zachować stałą objętość tej struny : S * l = S' * l' = V = const. Wówczas ów przypomniany, klasyczny wzór strunowy przekształci się do postaci : ( gdzie F' N oznacza zmienioną ( np. zwiększoną ) siłę naciągu ). Załóżmy teraz, że nie zmienia się pole przekroju poprzecznego, ale że zmieniają się objętość i gęstość struny : ρ * V = ρ * S * l = ρ' * V' = ρ' * S * l' = m = const. Stąd wyznaczmy zmienioną gęstość ρ' : ρ' = ρ * S * l ⁄ ( S * l' ) = ρ * l ⁄ l' Podstawmy teraz wyrażenie na zmienioną gęstość ρ' do klasycznego wzoru strunowego : Zatem ostatecznego postać tego wzoru jest identyczna z końcową postacią wzoru poprzedniego opisującego częstotliwość fali stojącej w strunie przy zmienionym przekroju poprzecznym tej struny. Nasuwa się jednak w tym miejscu jeszcze jedno pytanie : Dlaczego po lewych stronach obu dyskutowanych wzorów umieszczono symbol f zamiast f' ? Taka postać obu wzorów sugeruje, że częstotliwość fali stojącej w strunie mogła się nie zmienić ; że zwężenie struny lub zmniejszenie jej gęstości mogło skompensować efekt jej wydłużenia wskutek wzrostu siły naciągu. Czy jednak taka kompensacja byłaby możliwa ? Create PDF
files without this message by purchasing novaPDF printer (http://www.novapdf.com)
file://D:\dydakta\akustyka\New_tasks\N_2010\ParStr_2.htm
2009-07-09