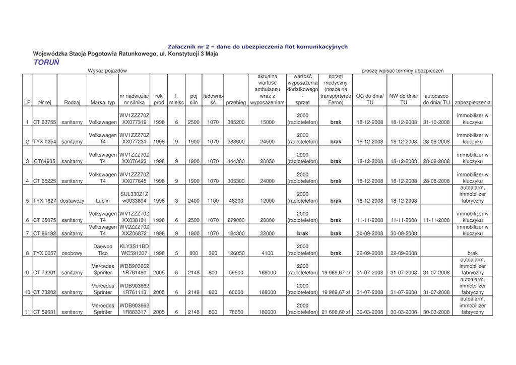
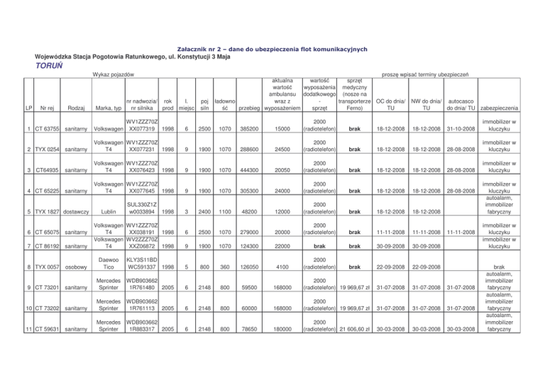
(Kopia Ostateczny zalacznik flota Pogotowie toruń.xls)

Transkrypt

(Kopia Ostateczny zalacznik flota Pogotowie toruń.xls)
Wojewódzka Stacja Pogotowia Ratunkowego, ul. Konstytucji 3 Maja
TORU
Wykaz pojazdów
LP
Nr rej
nr nadwozia/ rok
l.
nr silnika
prod miejsc
poj
siln
prosz wpisa terminy ubezpiecze
aktualna
warto
sprz t
warto
wyposa enia medyczny
ambulansu dodatkowego (nosze na
wraz z
transporterze OC do dnia/ NW do dnia/ autocasco
ładowno
sprz t
przebieg wyposa eniem
Ferno)
TU
TU
do dnia/ TU zabezpieczenia
Rodzaj
Marka, typ
1 CT 63755
sanitarny
Volkswagen
WV1ZZZ70Z
XX077319 1998
6
2500
1070
385200
15000
2000
(radiotelefon)
brak
18-12-2008
18-12-2008
31-10-2008
immobilizer w
kluczyku
2 TYX 0254
sanitarny
Volkswagen WV1ZZZ70Z
T4
XX077231 1998
9
1900
1070
288600
24500
2000
(radiotelefon)
brak
18-12-2008
18-12-2008
28-08-2008
immobilizer w
kluczyku
3 CT64935
sanitarny
Volkswagen WV1ZZZ70Z
T4
XX076423 1998
9
1900
1070
444300
20050
2000
(radiotelefon)
brak
18-12-2008
18-12-2008
28-08-2008
immobilizer w
kluczyku
4 CT 65225
sanitarny
Volkswagen WV1ZZZ70Z
T4
XX077645 1998
9
1900
1070
305300
24000
2000
(radiotelefon)
brak
18-12-2008
18-12-2008
28-08-2008
SUL330Z1Z
w0033894 1998
3
2400
1100
48200
12000
2000
(radiotelefon)
brak
18-12-2008
18-12-2008
6
2500
1070
279000
20000
2000
(radiotelefon)
brak
11-11-2008
11-11-2008
9
1900
1070
124300
22000
brak
brak
30-09-2008
30-09-2008
2000
(radiotelefon)
brak
22-09-2008
22-09-2008
5 TYX 1827 dostawczy
Lublin
Volkswagen WV1ZZZ70Z
T4
XX038191 1998
Volkswagen WV2ZZZ70Z
T4
XXZ06872 1998
6 CT 65075
sanitarny
7 CT 86192
sanitarny
8 TYX 0057
osobowy
Daewoo
Tico
KLY3S11BD
WC591337 1998
5
800
360
126050
4100
9 CT 73201
sanitarny
Mercedes
Sprinter
WDB903662
1R761480 2005
6
2148
800
59500
168000
2000
(radiotelefon) 19 969,67 zł
31-07-2008
31-07-2008
31-07-2008
10 CT 73202
sanitarny
Mercedes
Sprinter
WDB903662
1R761113 2005
6
2148
800
60000
168000
2000
(radiotelefon) 19 969,67 zł
31-07-2008
31-07-2008
31-07-2008
11 CT 59631
sanitarny
Mercedes
Sprinter
WDB903662
1R883317 2005
6
2148
800
78650
180000
2000
(radiotelefon) 21 606,60 zł
30-03-2008
30-03-2008
30-03-2008
11-11-2008
immobilizer w
kluczyku
autoalarm,
immobilizer
fabryczny
immobilizer w
kluczyku
immobilizer w
kluczyku
brak
autoalarm,
immobilizer
fabryczny
autoalarm,
immobilizer
fabryczny
autoalarm,
immobilizer
fabryczny
Mercedes WDB903662
Sprinter
1R864493 2005
Mercedes
Sprinter B WDB902462
112D
1P984283 1999
6
2148
800
75500
163600
2000
(radiotelefon) 21 606,60 zł
29-02-2008
29-02-2008
29-02-2008
autoalarm,
immobilizer
fabryczny
autoalarm,
immobilizer
fabryczny
autoalarm,
immobilizer
fabryczny
autoalarm,
immobilizer
fabryczny
autoalarm,
immobilizer
fabryczny
6
2900
800
270400
45000
2000
(radiotelefon)
brak
04-02-2008
04-02-2008
04-02-2008
immobilizer w
kluczyku
SUPB01CE
HVW102082 1997
5
1600
560
186900
2500
2000
(radiotelefon)
brak
31-12-2008
31-12-2008
12 CT 59632
sanitarny
Mercedes
Sprinter
13 CT 59636
sanitarny
Mercedes
Sprinter
WDB903662
1R875796 2005
6
2148
800
68000
178000
2000
(radiotelefon) 21 606,60 zł
30-03-2008
30-03-2008
30-03-2008
14 CT 58643
sanitarny
Mercedes
Sprinter
WDB903662
1R863371 2005
6
2148
800
101850
163600
2000
(radiotelefon) 21 606,60 zł
29-02-2008
29-02-2008
29-02-2008
15 CT 58644
sanitarny
Mercedes
Sprinter
WDB903662
1R864492 2005
6
2148
800
70900
163600
2000
(radiotelefon) 21 606,60 zł
29-02-2008
29-02-2008
29-02-2008
16 CT 58645
sanitarny
17 CT 90020
sanitarny
18 CT 86398
sanitarny
Polonez
WDB903662
1R874953 2005
6
2148
800
75000
180000
2000
(radiotelefon) 21 606,60 zł
30-03-2008
30-03-2008
30-03-2008
brak