Albumy - Archiwum Archidiecezjalne Warszawskie

Transkrypt

Albumy - Archiwum Archidiecezjalne Warszawskie
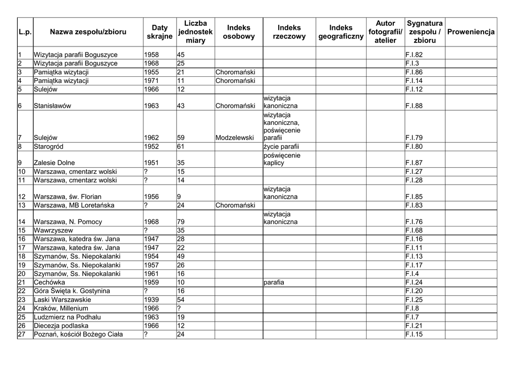
L.p.
Nazwa zespołu/zbioru
Liczba
Daty
jednostek
skrajne
miary
Indeks
osobowy
1
2
3
4
5
Wizytacja parafii Boguszyce
Wizytacja parafii Boguszyce
Pamiątka wizytacji
Pamiątka wizytacji
Sulejów
1958
1968
1955
1971
1966
45
25
21
11
12
6
Stanisławów
1963
43
Choromański
7
8
Sulejów
Starogród
1962
1952
59
61
Modzelewski
9
10
11
Zalesie Dolne
Warszawa, cmentarz wolski
Warszawa, cmentarz wolski
1951
?
?
35
15
14
12
13
Warszawa, św. Florian
Warszawa, MB Loretańska
1956
?
9
24
14
15
16
17
18
19
20
21
22
23
24
25
26
27
Warszawa, N. Pomocy
Wawrzyszew
Warszawa, katedra św. Jana
Warszawa, katedra św. Jana
Szymanów, Ss. Niepokalanki
Szymanów, Ss. Niepokalanki
Szymanów, Ss. Niepokalanki
Cechówka
Góra Święta k. Gostynina
Laski Warszawskie
Kraków, Millenium
Ludzmierz na Podhalu
Diecezja podlaska
Poznań, kościół Bożego Ciała
1968
?
1947
1947
1954
1957
1961
1959
?
1939
1966
1963
1966
?
79
35
28
22
49
26
16
10
16
54
?
19
12
24
Indeks
rzeczowy
Autor
Sygnatura
Indeks
fotografii/ zespołu / Proweniencja
geograficzny
atelier
zbioru
F.I.82
F.I.3
F.I.86
F.I.14
F.I.12
Choromański
Choromański
wizytacja
kanoniczna
wizytacja
kanoniczna,
poświęcenie
parafii
życie parafii
poświęcenie
kaplicy
wizytacja
kanoniczna
Choromański
wizytacja
kanoniczna
parafia
F.I.88
F.I.79
F.I.80
F.I.87
F.I.27
F.I.28
F.I.85
F.I.83
F.I.76
F.I.68
F.I.16
F.I.11
F.I.13
F.I.17
F.I.4
F.I.24
F.I.20
F.I.25
F.I.8
F.I.7
F.I.21
F.I.15
28
29
Bieszczady, wakacje chłopców
Warszawa, siostry parafialne
1963
?
57
128
F.I.2
F.I.72
30
31
Piesza pielgrzymka na Jasną Górę
Papczyński Stanisław
Kościoły Warszawy i inne rysunki A.
Pajewskiego
Nauka religii
Delegacja RP w Moskwie
1921/1922
1955
1963
31
39
F.I.34
F.I.1
1953
8
F.I.6
F.I.5
1922
60
F.I.9
32
33
34
35
Seminarium Warszawskie
1916
55
36
37
Seminarium Warszawskie
Polacy XIX w.
Warszawa, MB Nieustającej
Pomocy
Białystok, Millenium
Lipków, 15lecie parafii
Diecezja podlaska, w millenijnym
hołdzie
Warszawa, chorzy
Papież Pius XII
Obrazki świętych
Warszawa, kaplica RES SACRA
MISER.
Zmarli z Rodziny Rodzin
Warszawa, przedszkole na ul
Racławickiej
Ruiny kościoła w Rokitnie
Poznań, katedra i inne kościoły
Polska w roku 1914/1915
Obrazki o tematyce religijnej
Kraków, Wawel
Rzym, Watykan
Rzym, Watykan
Zalerzczyki
1918
53
73
Warszawa:
Bogacki
Stanisław F.I.53
Warszawa:
Bogacki
Stanisław F.I.50
F.I.19
1967
1966
1967
31
19
41
F.I.75
F.I.81
F.I.78
1958
33
37
F.I.77
F.I.49
F.I.51
F.I.52
19591964
1962
31
3
F.I.48
F.I.73
3
F.I.18
F.I.59
F.I.66
F.I.61
F.I.54
F.I.58
F.I.74
F.I.65
F.I.57
38
39
40
41
42
43
44
45
46
47
48
49
50
51
52
53
54
55
1966
1961
1914
1902
1915
11
1939
1929
1925
56
57
58
59
63
64
65
Clermont-Ferrand
Trzeźwość
Katedra warszawska
Kapłani z Łucka i Żytomierza
Warszawa Falenica, 31 sierpnia
1974 r.
Myślenice
Skolimów
Konwikt księży, Wydział Teologii
UW
Sitkowski Tadeusz
Wilno, Ostra Brama
66
Polska w roku 1914/1915
60
61
62
67
68
69
70
71
72
73
74
Warszawa, seminarium duchowne
Polskie Towarzystwo Pomocy
Ofiarom Wojny w Piotrogrodzie
Pompea
Warszawa, MB Częstochowska
Pochód narodowy w Warszawie
Polska
Peciak Kazimierz, pogrzeb
Warszawa, Miłosierdzia Bożego
75
76
77
Cechówka
Warszawa, NMP Królowej Polski
Wesoła, Opatrzności Bożej
78
79
Warszawa, NMP Królowej Świata
Warszawa, uroczystość św.
Andrzeja, oo. jezuici na
Rakowieckiej
1935
1960
1960
1917
47
1974
1969
1926
19291930
1930
1927
19141915
42
20
23
1918
20
50
44
Wyszyński
Wojtyła
konsekracja
kościoła
parafia
F.I.84
F.I.35
F.I.37
F.I.36
F.I.22
F.I.60
F.I.62
44
1916
1934
1905
1939
1966
1977
19341959
1978
F.I.56
F.I.41
F.I.69
F.I.71
Warszawa:
Bogacki
Stanisław F.I.26
34
10
F.I.55
F.I.38
F.I.10
F.I.67
F.I.63
F.I.64
F.I.39
9
10
81
F.I.23
F.I.45
F.I.94a-b
16
32
19771980
34
Warszawa:
Krzywańska
E.,
Malinowski
R.,
Rzepecki R. F.I.70
1978
13
F.I.92
80
81
82
83
84
85
Białystok, kościoły
1966
Kraków, Millenium
1966
Sandomierz
1967
Jubileuszowa pielgrzymka
Krakowian do sanktuarium Krzyża
Świętego w Mogile e Roku Świętym,
15 września 1974
1974
Mogiła, opactwo Cystersów
1972
Konsekracja kościoła Matki Boskiej
Częstochowskiej patronki Armii
Krajowej w Warszawie przy ul.
Zagórnej 5, 26 września 1993r.
1993
18
39
11
Wojtyła
F.I.43
F.I.93
F.I.91
19
26
Wojtyła
Wojtyła
F.I.90
F.I.89
15
93
94
Profesorowie i kapłani seminarium
warszawskiego wyświęceni 1
czerwca 1969 r.
1969
Politechnika Warszawska
Gniezno, wizyta papieża Jana
Pawła II, 3 czerwca 1979 r.
1979
Ss. Zmartwychwstanki, wizyta
biskupów warszawskich, 23 stycznia
1983r.
1983
I pielgrzymka papieża Jana Pawła II
w Polsce, 2-10 czerwca 1979r.
1979
Wizyta papieża Jana Pawła II w
Walii, 2 czerwca 1982 r.
1982
Maria Cetys
Centrum Informacji, spotkań,
dialogu, wychowania i modlitwy w
1992Oświęcimiu
1993
Taciszów, dzwony
95
96
Glinianka, wizytacja duszpasterska 1954
Kołbiel
1959
97
1958
106
1933
1961
1948
2
39
25
86
87
88
89
90
91
92
Kutno, wizytacja kanoniczna
Lubanie, 25lecie kapłaństwa ks.
98 F.S. Wojewódzkiego
99 Łomianki
100 Milanówek, św. Jadwigi
6
16
F.I.29
F.I.30
F.I.32
Glemp
23
10
F.I.31
Dąbrowski,
Glemp
F.I.33
30
F.I.40
28
1
F.I.42
F.I.44
45
7
F.I.46
F.I.47
Modzelewski
wizytacja
kanoniczna
wizytacja
kanoniczna
F.I.127
F.I.114
F.I.124
F.I.98
F.I.186
F.I.183
22.08.1997
Kuria
Metropolitalna
Warszawska
Milanówek, św. Jadwigi,
101 konsekracja kościoła
102 Miedniewice
103 Pruszków, św. Kazimierz
1948
1967
1962
104 Pruszków, poświęcenie chrzcielnicy 1967
105 Pruszków, wizytacja kanoniczna
1967
106 Skolimów, wizytacja pasterska
1950
113
29
24
18
37
23
Wyszyński
Modzelewski
Choromański
konsekracja
kościoła
F.I.102
F.I.129
F.I.139
F.I.135
F.I.111
F.I.141