załączniki SIWZ 1 - Urząd Gminy Miedzichowo

Transkrypt

załączniki SIWZ 1 - Urząd Gminy Miedzichowo
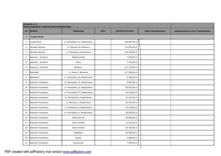
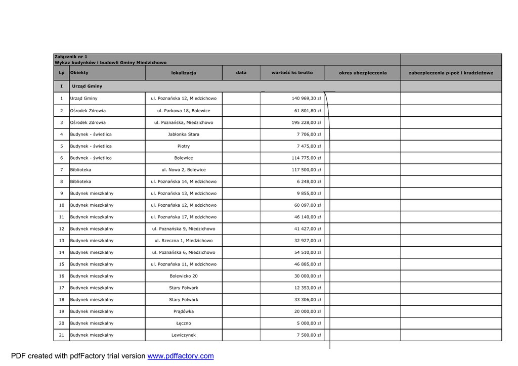
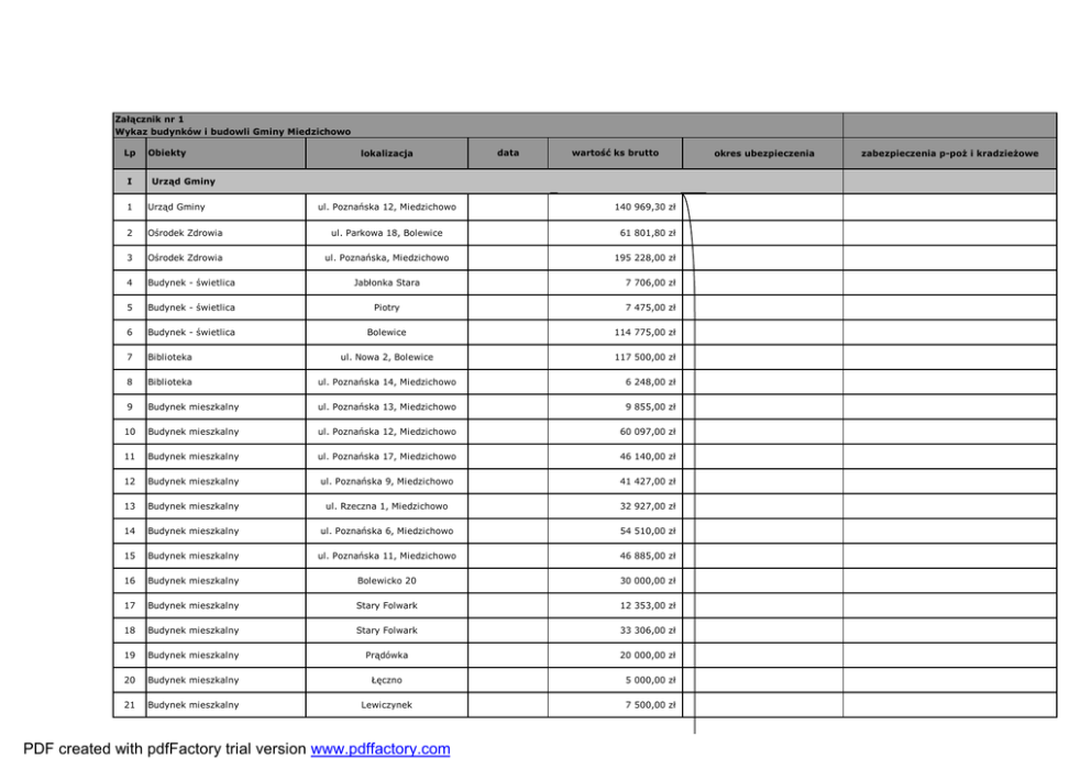
Załącznik nr 1
Wykaz budynków i budowli Gminy Miedzichowo
Lp
I
Obiekty
lokalizacja
data
wartość ks brutto
Urząd Gminy
1
Urząd Gminy
ul. Poznańska 12, Miedzichowo
2
Ośrodek Zdrowia
ul. Parkowa 18, Bolewice
3
Ośrodek Zdrowia
ul. Poznańska, Miedzichowo
4
Budynek - świetlica
Jabłonka Stara
7 706,00 zł
5
Budynek - świetlica
Piotry
7 475,00 zł
6
Budynek - świetlica
Bolewice
114 775,00 zł
7
Biblioteka
ul. Nowa 2, Bolewice
117 500,00 zł
8
Biblioteka
ul. Poznańska 14, Miedzichowo
6 248,00 zł
9
Budynek mieszkalny
ul. Poznańska 13, Miedzichowo
9 855,00 zł
10
Budynek mieszkalny
ul. Poznańska 12, Miedzichowo
60 097,00 zł
11
Budynek mieszkalny
ul. Poznańska 17, Miedzichowo
46 140,00 zł
12
Budynek mieszkalny
ul. Poznańska 9, Miedzichowo
41 427,00 zł
13
Budynek mieszkalny
ul. Rzeczna 1, Miedzichowo
32 927,00 zł
14
Budynek mieszkalny
ul. Poznańska 6, Miedzichowo
54 510,00 zł
15
Budynek mieszkalny
ul. Poznańska 11, Miedzichowo
46 885,00 zł
16
Budynek mieszkalny
Bolewicko 20
30 000,00 zł
17
Budynek mieszkalny
Stary Folwark
12 353,00 zł
18
Budynek mieszkalny
Stary Folwark
33 306,00 zł
19
Budynek mieszkalny
Prądówka
20 000,00 zł
20
Budynek mieszkalny
Łęczno
5 000,00 zł
21
Budynek mieszkalny
Lewiczynek
7 500,00 zł
PDF created with pdfFactory trial version www.pdffactory.com
140 969,30 zł
61 801,80 zł
195 228,00 zł
okres ubezpieczenia
zabezpieczenia p-poż i kradzieżowe
22
Budynek mieszkalny
ul. Osiedlowa 6, Miedzichowo
160 848,00 zł
23
Budynek mieszkalny
Jabłonka Stara
3 000,00 zł
24
Budynek mieszkalny
Jabłonka Stara
7 540,00 zł
25
Budynek mieszkalny
Grudna
5 135,00 zł
26
Budynek mieszkalny
ul. Nowa 2, Bolewice
7 308,00 zł
27
Budynek mieszkalny
ul. Nowa 2, Bolewice
27 420,00 zł
28
Budynek mieszkalny
ul. Parkowa , Bolewice
29 136,00 zł
29
Budynek mieszkalny
Szklarka Trzciel.
21 726,00 zł
30
Szkolne Schronisko Młodzieżowe
Bolewicko
50 000,00 zł
31
Strażnica OSP
Miedzichowo
45 264,00 zł
32
Strażnica OSP
Jabłonka Stara
33
Strażnica OSP
Bolewice
34
Strażnica OSP
Grudna
7 741,00 zł
35
Strażnica OSP
Grudna
300,00 zł
36
Budynek gospodarczy
37
2 030,00 zł
163 300,00 zł
Lewiczynek
4 350,00 zł
Garaże
ul. Nowa 2, Bolewice
2 929,00 zł
38
Budynek gospodarczy
ul. Leśna 2, Bolewice
2 030,00 zł
39
Budynek gospodarczy
Stary Folwark
3 973,00 zł
40
Magazyn (młyn)
Stary Folwark
41 913,00 zł
41
Budynek gospodarczy
ul. Poznańska 9, Miedzichowo
3 154,00 zł
42
Budynek gospodarczy
ul. Poznańska 17, Miedzichowo
6 295,00 zł
43
Budynek gospodarczy
ul. Poznańska 6, Miedzichowo
4 987,00 zł
44
Budynek gospodarczy
ul. Osiedlowa 6, Miedzichowo
7 635,00 zł
45
Budynek gospodarczy
ul. Poznańska 11, Miedzichowo
8 631,00 zł
46
Budynek gospodarczy
ul. Rzeczna 1, Miedzichowo
5 000,00 zł
PDF created with pdfFactory trial version www.pdffactory.com
19.02.2006-18.02.2009
47
Budynek gospodarczy (po szkole)
Grudna
4 370,00 zł
48
Budynek gospodarczy
Jabłonka Stara
1 000,00 zł
49
Budynek gospodarczy
Jabłonka Stara
1 740,00 zł
50
Budynek gospodarczy
Jabłonka Stara
1 450,00 zł
51
Budynek gospodarczy
Lewiczynek
1 000,00 zł
52
Budynek gospodarczy
Prądówka
2 000,00 zł
53
Budynek gospodarczy
Stary Folwark
4 000,00 zł
54
Budynek gospodarczy (magazyn)
Miedzichowo
2 645,00 zł
55
Budynek - garaż
Jabłonka Stara
6 013,00 zł
56
Budynek garaż przy OSP
Miedzichowo
9 855,00 zł
57
Garaż
Bolewicko 20
1 100,00 zł
razem
II
Gminny Zakład Komunalny
1
Budynek oczyszczalni
2
3
ul. Młyńska, Bolewice
1997
1 397 934,00 zł
Stacja uzdatniania wody
ul. Polna, Bolewice
1978
423 115,00 zł
Stacja uzdatniania wody
Miedzichowo
2004
427 270,00 zł
razem
III
1 708 521,10 zł
19.05.2006-18.02.2009
2 248 319,00 zł
Gminny Zespół Obsługi Szkół w Miedzichowie
1
Budynek mieszkalny
Zachodzko
przed 1983
7 709,89 zł
2
Chlew
ul. Szkolna 75, Bolewice
przed 1983
4 372,18 zł
3
Stodoła
ul. Szkolna 75, Bolewice
przed 1983
1 748,64 zł
4
Garaż
ul. Szkolna 74, Bolewice
przed 1983
7 292,99 zł
5
Garaż
ul. Szkolna 4, Bolewice
przed 1983
10 883,56 zł
PDF created with pdfFactory trial version www.pdffactory.com
19.02.2006-18.02.2009
6
Dom Nauczyciela
Jabłonka Stara 24a
przed 1983
39 049,95 zł
7
Budynek mieszkalny
ul. Szkolna 75, Bolewice
przed 1983
6 742,86 zł
8
Budynek mieszkalny
ul. Szkolna 75, Bolewice
przed 1983
5 779,12 zł
9
Budynek mieszkalny
ul. Szkolna 4, Bolewice
przed 1983
244 268,88 zł
ul. Szkolna 74, Bolewice
przed 1983
114 890,62 zł
10
Dom Nauczyciela
razem
IV
442 738,69 zł
Zespół Szkół Bolewice
1
Budynek A
122 477,45 zł
2
Budynek B
93 785,98 zł
3
Budynek C
124 144,83 zł
4
Budynek D
5
Budynek E
17 614,10 zł
6
Budynek F
118 735,08 zł
7
Budynek G
87 471,66 zł
ul. Sportowa 24a, Bolewice
1990
206 068,72 zł
razem
V
Zespół Szkół w Miedzichowie
1
Zespół Szkół w Miedzichowie
ul. Szkolna 6
1 600 000,00 zł
razem
ŁĄCZNIE
PDF created with pdfFactory trial version www.pdffactory.com
19.02.2006-18.02.2009
gaśnice proszkowe (8 szt.); hydranty (10
szt.); kraty na oknach (piwnica-bud. A,
wszystkie okna, piętro I- sala komputerowa (4
kraty), parter- klasa integracyjna (1 krata));
monitoring (10 kamer); 7 wejść do budynku,
w tym: 5 sztuk drzwi metalowych szklonych, 2
szt drewnianych (w tym 1 szt zabezpieczona
kratami), po 2 zamki- 1 wpuszczany, 1
wierzchni.
770 297,82 zł
01.03.2006-18.02.2009
1 600 000,00 zł
6 769 876,61 zł
alarm, monitoring: 11 kamer; gaśnice (10
szt.); kraty na oknach (sala nr 7 parter); 4
wejścia w tym: sygnalizacja dźwiękowa,
powiadomienie poliscji (na zew. Budynku)