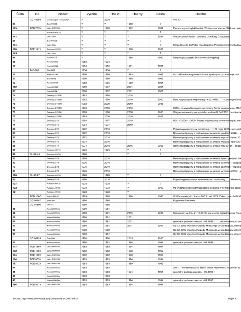
Číslo RZ Název Vyrobe Rok z Rok vy Sešro Ostatní

Transkrypt

Číslo RZ Název Vyrobe Rok z Rok vy Sešro Ostatní
Číslo
RZ
CG 48669
Název
Vyrobe
Rok z�
Rok vy
Sešro
Ostatní
Volkswagen Transporter
?
2008
San H100B
?
?
1980
?
Jelcz PR110U
?
1980
1992
1992
Autosan H9-35
?
?
?
?
143
Jelcz 080
?
?
?
2014
51
San H100B
?
?
?
?
Jelcz 080
?
?
?
Autosan H9-35
?
?
1988
145
Jelcz 080
?
?
?
94
San H100B
?
?
1980
1980
36
Konstal 2N2
1953
1994
Konstal 2N2
1954
1955
1981
1981
Star N52
1954
1954
?
17
Konstal 2N2
1956
1956
1993
1993
20
San H01B
1956
1956
1966
1966
12
Konstal 5N1
1958
1965
1980
1981
152
Konstal 5ND
1959
1997
2001
2001
011
Konstal 5N
1960
1997
2001
2001
74
Duewag GT6ZR
1962
1998
2010
73
Duewag GT6ZR
1962
1998
2010
2010
78
Duewag GT6ZR
1962
2000
2010
2015
76
Duewag GT6ZR
1963
2000
2010
75
Duewag GT6ZR
1963
1998
2010
2013
77
Duewag GT6ZR
1963
2000
2010
2015
72
Duewag GT6
1964
1997
2010
71
Duewag GT6
1964
1997
2010
86
Duewag GT6
1972
2010
Pojazd wyposażony w monitoring.
22 maja 2015r. wóz odst
88
Duewag GT6
1972
2010
Remont połączony z malowaniem w okresie grudzień 2012r. - c
87
Duewag GT6
1972
2010
Remont połączony z malowaniem w okresie styczeń - lipiec 201
84
Duewag GT6
1974
2010
85
Duewag GT6
1974
2010
2016
95
Autosan H9-15
1975
1975
?
?
?
?
84
163
TOB 733V
144
168
TOE 141Y
13
T40-363
?
Pierwszy grudziądzki berliet. Wpisany na stan w 1980 roku jako
Wieża kontroli lotów - Lotnisko Lisie Kąty Grudziądz.
Sprzedany do GePeBe (Grudziądzkie Przedsiębiorstwo Budow
2011
?
Ostatni grudziądzki SAN w wersji miejskiej.
?
Od 1980 roku wagon techniczny, spalony w pożarze zajezdni.
Data rozpoczęcia eksploatacji: 4.03.1998r. Data wycofania
2010 - po wypadku wagon sprzedany firmie transportowej MAR
Wagon skasowany po wypadku w dniu 02.04.2012r. na mijance
NG - V 2008 - I 2009. Pojazd wyposażony w monitoring do sierp
Remont połączony z malowaniem w okresie marzec - lipiec 201
2016
Remont połączony z malowaniem w okresie maj 2013r. - stycze
Autosan H9-35
1976
83
Duewag GT8
1976
2010
Remont połączony z malowaniem w okresie lipiec- grudzień 201
82
Duewag GT8
1976
2010
Remont połączony z malowaniem w okresie czerwiec - listopad
79
Duewag GT8
1976
2010
Remont połączony z malowaniem w okresie czerwiec - wrzesie
81
Duewag GT8
1976
2010
Autosan H9-35
1976
1976
80
Duewag GT8
1976
2010
123
Autosan H9-35
1978
122
Autosan H9-35
121
Autosan H9-35
TOB 166G
CG 00287
CG 04800
97
BL-84-45
VW T3
BL 45-27
Remont połączony z malowaniem w okresie wrzesień 2013r. - p
?
?
1978
?
?
1978
1978
?
2012
Po wycofaniu jako pomieszczenie socjalne w kompleksie szklar
1978
1978
?
Ikarus 280.11
1979
1988
1994
1996
W Warszawie jako Ikarus 280.11 od 1979, Zakup przez MPK G
Star 266
1980
1980
Jelcz 317
1980
1980
38
Konstal 805Na
1980
1981
42
Konstal 805Na
1980
1981
2015
39
Konstal 805Na
1980
1981
2001
69
Konstal 805Na
1980
1981
2001
43
Konstal 805Na
1980
1981
2011
90
Konstal 805Na
1980
1980
91
Konstal 805Na
1980
1981
Star 266
1980
1980
2015
2015
106
CG 04924
Pojazd wyposażony w wyświetlacze i monitoring. Remont p
Pogotowie Sieciowe.
2015
Skasowany w dniu 21.10.2015r. na terenie zajezdni przez Prze
spłonął w pożarze zajezdni - 09.1993 r.
odbudowany po poż
2011
Od XII 2009 własność Urzędu Miejskiego w Grudziądzu, dzierża
Od XII 2009 własność Urzędu Miejskiego w Grudziądzu, dzierża
Od XII 2009 własność Urzędu Miejskiego w Grudziądzu, dzierża
Konstal 805Na
1980
1981
1994
1994
173
TOE 189Y
Jelcz PR110U
1982
1982
1994
1994
172
TOE 168Y
Jelcz PR110U
1982
1982
1992
1992
174
TOE 190Y
Jelcz PR110U
1982
1982
1990
1990
184
TOE 809Y
Jelcz PR110M
1983
1983
1994
1994
187
TOE 812Y
Jelcz PR110M
1983
1983
1989
1989
94
Konstal 805Na
1983
1983
45
Konstal 805Na
1983
1983
1994
1994
spłonął w pożarze zajezdni - 09.1993 r.
46
Konstal 805Na
1983
1983
Konstal 805Na
1983
1983
1994
1994
spłonął w pożarze zajezdni - 09.1993 r.
Jelcz PR110M
1983
1983
1994
1994
40
48
186
TOE 811Y
Source: http://www.phototrans.eu | Generated on 2017-03-04
spłonął w pożarze zajezdni - 09.1993 r.
2011r. - Modernizacja w ZNTK Mińsk Mazowiecki w zamian za
Page 1
175
TOE 254Y
Jelcz PR110M
1983
1983
1990
1990
176
TOE 255Y
Jelcz PR110M
1983
1983
1989
1989
177
TOE 287Y
Jelcz PR110M
1983
1983
1989
1989
178
TOE 288Y
Jelcz PR110M
1983
1983
1990
1990
179
TOE 289Y
Jelcz PR110M
1983
1983
1990
1990
180
TOE 290Y
Jelcz PR110M
1983
1983
1990
1990
181
TOE 806Y
Jelcz PR110M
1983
1983
1991
1991
182
TOE 807Y
Jelcz PR110M
1983
1983
1994
1994
183
TOE 808Y
Jelcz PR110M
1983
1983
1993
1993
185
TOE 810Y
Jelcz PR110M
1983
1983
1990
1990
89
Konstal 805Na
1984
1984
93
Konstal 805Na
1984
1984
Od XII 2009 własność Urzędu Miejskiego w Grudziądzu, dzierża
VIII 2010 - przenumerowanie z #49 na #59. 2010 - 2011 - mode
188
TOA 198L
Jelcz PR110M
1984
1984
1994
1994
190
TOA 200L
Jelcz PR110M
1984
1984
1994
1994
192
TOA 202L
Jelcz PR110M
1984
1984
1990
1990
195
TOB 325B
Jelcz PR110M
1984
1984
1993
1993
196
TOB 326B
Jelcz PR110M
1984
1984
1993
1993
197
TOB 327B
Jelcz PR110M
1984
1984
1993
1993
199
TOB 333B
Jelcz PR110M
1984
1984
1994
1994
200
TOB 334B
Jelcz PR110M
1984
1984
1997
1997
198
TOB 332B
Jelcz PR110M
1984
1984
1994
1994
Konstal 805Na
1984
1984
2015
2015
51
Wagon wyremontowany i przywrócony do ruchu w 2008r.
O
191
TOA 201L
Jelcz PR110M
1984
1984
1991
194
TOB 324B
Jelcz PR110M
1984
1984
1994
1994
Na stanie MPK Grudziądz - 21.02.84 01.02.91. NG - KAPENA.
193
TOB 323B
Jelcz PR110M
1984
1984
1994
2009
189
ROE 9637
Jelcz PR110M
1984
1984
1994
?
50
Konstal 805Na
1984
1984
1994
1994
spłonął w pożarze zajezdni - 09.1993 r.
52
Konstal 805Na
1984
1984
1994
1994
spłonął w pożarze zajezdni - 09.1993 r.
53
Konstal 805Na
1984
1984
1994
1994
spłonął w pożarze zajezdni - 09.1993 r.
54
Konstal 805Na
1984
1984
1994
1994
spłonął w pożarze zajezdni - 09.1993 r.
56
Konstal 805Na
1984
1984
2014
2015
Wagon odrestaurowany i przywrócony do ruchu w 2008r.
S
Sprzedany z MZK Grudziądz do ZKM Ostróda z dniem 1.12.199
1994 -> Dąbrówka k. Ostrołęki.
201
TOB 335B
Jelcz PR110M
1984
1984
1992
2016
211
TOE 446B
Jelcz PR110M
1985
1985
1997
1997
213
TOE 690X
Jelcz PR110M
1985
1985
1997
1997
204
TOB 759B
Jelcz PR110M
1985
1985
1994
1994
208
CG 04679
Jelcz PR110M
1985
1985
2007
209
CG 04752
Jelcz PR110M
1985
1985
2009
2009
NG - ZS Jelcz - 1995;
Skasowany we Włocławku 10.2009
212
CG 01174
Jelcz PR110M
1985
1985
2003
2003
NG - 1994 - ZS Jelcz
206
CG 04729
Jelcz PR110M
1985
1985
2016
2017
Wpisany na stan 21.03.1985, NG - 1994 - ZS Jelcz. Czerwiec/li
202
TOB 757B
Jelcz PR110M
1985
1985
1997
1997
203
CG 04678
Jelcz PR110M
1985
1985
2007
2007
NG - 1994 ZS Jelcz.
205
CG 04751
Jelcz PR110M
1985
1985
2006
2006
NG - 1996 - ZS Jelcz
214
PL 08647
Jelcz PR110M
1985
1985
1996
2008
Długi VIN: SUJ110R06L0009494
215
TOA 156B
Jelcz PR110M
1985
1986
1997
1997
207
TOE 447B
Jelcz PR110M
1985
1985
2003
2003
210
TOE 445B
Jelcz PR110M
1985
1985
1997
1997
Konstal 805Na
1986
1986
1994
1994
Jelcz PR110M
1986
1986
1997
?
57
218
TOA 479D
NG - 1994 - ZS Jelcz. Sprzedany: 29.01.2007 do Słupska.
Konstal 805Na
1986
1986
2014
2015
219
TOA 477D
Jelcz PR110M
1986
1986
1997
1997
216
PL 01325
Jelcz PR110M
1986
1986
1997
2006
223
BGA 866B
Jelcz M11
1986
1986
2003
2003
222
TYU 1738
Jelcz M11
1986
1986
1995
2002
60
Autobus miał poważny wypadek z udziałem Stara-chłodni w pob
NG 1995 - ZS Jelcz
spłonął w pożarze zajezdni - 09.1993 r.
Skasowany na terenie zajezdni w dniu 19.01.2015r.
1994 - Pogotowie Techniczne<br>2003 - KZNS podmiana pudła
CG 57653
Mercedes NG
1986
2010
223
CG 70004
Jelcz M11
1986
1986
2003
220
PL 02864
Jelcz M11
1986
1986
1995
2008
Konstal 805Na
1986
1986
Jelcz PR110M
1986
1986
1997
?
Konstal 805Na
1986
1986
2015
2015
Od XII 2009 własność Urzędu Miejskiego w Grudziądzu, dzierża
Jelcz M11
1986
1986
1992
1992
Kasacja 20-10-1992
Jelcz M11
1987
1987
1996
Jelcz M11
1987
1987
1993
1993
Kasacja 19-10-1993
Jelcz L11/2
1987
1987
1991
2003
Jelcz M11
1987
1987
1997
Jelcz M11
1987
1987
1998
Jelcz M11
1987
1987
1998
92
217
TOA 478D
49
221
TOB 393B
228
225
TOB 218E
234
227
TOB 219E
232
231
PL 09508
Source: http://www.phototrans.eu | Generated on 2017-03-04
Od XII 2009 własność Urzędu Miejskiego w Grudziądzu, dzierża
2005
Status rejestracji: wyrejestrowany 04.11.2005 Demontaż na wn
Page 2
224
Jelcz M11
1987
1987
1995
229
Jelcz M11
1987
1987
1996
Sprzedaż do Leszna wrzesień 1995
226
LNE 4804
Jelcz M11
1987
1987
1997
233
TOB 084G
Autosan H9-21
1987
1987
1992
230
TOB 403E
Jelcz M11
1987
1987
1998
245
TOB 236G
Jelcz M11
1988
1988
2001
247
TOB 416G
Jelcz M11
1988
1988
2003
Jelcz M11
1988
1988
1998
Autosan H9-21
1988
1988
1993
Jelcz M11
1988
1988
2000
?
238
248
TOB 4575
237
2009
Nieodpłatnie przekazany do Centrum Kultury Teatr w Grudziądz
2003
Nieodpłatnie przekazany do Urzędu Gminy Rogóźno z dniem 4
236
CG 04731
Jelcz M11
1988
1988
2005
2005
242
CG 04638
Jelcz M11
1988
1988
2005
2006
239
TOB 234G
Jelcz M11
1988
1988
?
240
CG 04637
Jelcz M11
1988
1988
2008
2008
244
CG 04753
Jelcz M11
1988
1988
2004
2004
246
TYT 4569
?
Jelcz M11
1988
1988
2003
62
Konstal 805Na
1988
1988
1994
1994
61
Konstal 805Na
1988
1988
1994
1994
Sprzedany do Radzynia Chełmińskiego (p. Grudziądzki).
skasowany w kwietniu 2008 r. w Inowrocławiu
spłonął w pożarze zajezdni - 09.1993 r.
235
TOB 207G
Jelcz M11
1988
1988
1998
241
PL 06748
Jelcz M11
1988
1988
1998
2007
Autobus został przebudowany na wersję lokalną z systemem dr
243
TOB 234G
Jelcz M11
1988
1988
2001
2001
Wycofany 09-08-2001
250
CG 04754
Jelcz M11
1989
1989
2004
IFA Robur
1989
1989
2007
249
CG 04639
Jelcz M11
1989
1989
2004
253
CG 04670
Jelcz PR110M
1990
1990
2009
2009
255
CG 09138
Jelcz PR110M
1990
1990
2009
2009
29.04.1990 - 17.07.2009.
258
CG 04375
Jelcz PR110M
1990
1990
2009
2009
02.1991 - 17.07.2009
256
CG 04789
Jelcz PR110M
1990
1990
2009
2009
29.04.1990 - 17.07.2009
251
CG 04583
Jelcz PR110M
1990
1990
2009
2009
NG 1995 KZNS
252
CG 04584
Jelcz PR110M
1990
1990
2006
2006
NG 1996 KZNS
254
CG 04250
Jelcz PR110M
1990
1990
2009
2009
W MZK 29.07.1990 - 17.07.2009.
262
CG 04795
Jelcz PR110M
1991
1991
2009
2009
Od 10.1991, NG 1997 KPNA, wycofany 17.07.2009
260
CG 04376
Jelcz PR110M
1991
1991
2009
2009
Wpisany 02.1991, NG 1997 KPNA; Kasacja 2009 - zatarty silnik
261
CG 02051
Jelcz PR110M
1991
1991
2006
2006
Wpisany luty 1991, NG 1997 KPNA, kasacja 2006.
259
CG 04733
Jelcz PR110M
1991
1991
2009
2009
Wpisany luty 1991, NG 1997 KPNA, wycofany 17.07.2009
257
CG 04672
Jelcz PR110M
1991
1991
2006
2006
Od 02.1991, NG 1996 KZNS, wyc. jesień 2006.
269
TUT 9398
Jelcz PR110M
1992
1992
2003
2003
Wpisany wrzesień 1992, kasacja 2003.
267
CG 04798
Jelcz PR110M
1992
1992
2009
2009
Wpisany czerwiec 1992, NG 1998 KPNA, wycofany 17.07.2009
266
CG 04904
Jelcz PR110M
1992
1992
2009
2009
Przyjęty na stan czerwiec 1992, NG 1998 KPNA, wycofany 17.0
265
CG 04797
Jelcz PR110M
1992
1992
2008
2008
Wpisany maj 1992, NG 1998 KPNA, wycofany maj 2008.
263
CG 04796
Jelcz PR110M
1992
1992
2009
2009
Wpisany marzec 1992, NG 1998 KPNA, wycofany 17.07.2009
264
CG 04671
Jelcz PR110M
1992
1992
2008
2008
Wpisany marzec 1992, NG 1998 KPNA, skasowany w kwietniu
Konstal 105Nb
1992
1993
Z powodu wysokiej awaryjności wagon został zwrócony do pro
Sprowadzony do Polski przez Gryf Kartuzy.
64
312
CG 43318
MAN NL202
1992
2008
268
CG 04640
Jelcz PR110M
1992
1992
Konstal 105Nb
1993
1993
63
2007
2014
2014
Wpisany czerwiec 1992, NG 1998 KPNA, NB wiosna 2010. Wy
VIN 105Nb - 014.
314
CG 43282
Mercedes-Benz O405N
1993
2008
2016
2016
Sprowadzony przez Gryf Kartuzy.
Wywieziony z zajezdni na
276
CG 04589
Jelcz 120M
1993
1993
2009
2009
Zderzenie z TIRem - kasacja kwiecień 2009.
277
CG 04587
Jelcz 120M
1993
1993
2009
2009
275
CG 04903
Jelcz 120M
1993
1993
2014
2014
270
CG 04799
Jelcz 120M
1993
1993
2009
2009
273
CG 48039
Jelcz 120M
1993
1993
2012
Konstal 105Nb
1993
1994
67
NG - Zajezdnia IV 2007 - V 2008.
Sprzedaż na złomowisko w Ciechocinku - lipiec 2012.
Z powodu wysokiej awaryjności wagon został zwrócony do pro
274
CG 04755
Jelcz 120M
1993
1993
2011
2014
272
TUV 2881
Jelcz 120M
1993
1993
2011
2011
310
CG 42596
Gräf & Stift NL202
1993
2008
271
TUV 2880
2009
2009
Jelcz 120M
1993
1993
66
Konstal 105Nb
1993
1994
Z powodu wysokiej awaryjności wagon został zwrócony do pro
65
Konstal 105Nb
1993
1994
Z powodu wysokiej awaryjności wagon został zwrócony do pro
68
Konstal 105Nb
1993
1994
Z powodu wysokiej awaryjności wagon został zwrócony do pro
Sprowadzony przez Gryf Kartuzy.
313
CG 43283
Mercedes-Benz O405N1
1994
2008
278
CG 04907
Jelcz 120M
1994
1994
2016
315
CG 43317
Mercedes-Benz O405N
1994
2008
2016
2016
sprowadzony do Polski w 2007 roku przez Gryf Kartuzy
304
CG 29660
Scania CN113CLL
1994
2006
2015
2015
Wycofany / Withdrawn - 07.2015
279
CG 04588
Jelcz 120M
1994
1994
2013
2013
280
CG 04582
Jelcz 120M
1994
1994
2013
Source: http://www.phototrans.eu | Generated on 2017-03-04
NB z wymianą kratownicy - VIII - XII 2010. Wycofany XII 2016.
Sprzedany: 16.12.2013 do Paterka. Sprzedany: 16 marca 2014
Page 3
281
CG 04788
Jelcz 120M
1994
1994
311
CG 42597
Gräf & Stift NL202
1995
2008
284
CG 04643
Jelcz 120MM/1
1997
1997
309
CG 36499
Scania CN113CLL
1997
2007
307
CG 35427
Scania CN113CLL
1997
2007
308
CG 35749
Scania CN113CLL
1997
2007
283
CG 04581
Jelcz 120MM/1
1997
1997
282
CG 04728
Jelcz 120MM/1
1997
1997
287
CG 04732
Jelcz M121M
1998
1998
2011
2011
285
CG 04787
Jelcz M121M
1998
1998
2013
2013
Kasacja 12.2013
286
CG 04374
Jelcz M121M
1998
1998
2014
2014
Wycofany V 2014
288
CG 04786
Jelcz M121M
1998
1998
2009
2010
Złamana kratownica - wycofany XII.2009.
290
CG 20089
Neoplan K4016td
1999
1999
289
CG 04785
Neoplan K4016td
1999
1999
291
CG 04586
Neoplan K4016td
1999
1999
292
CG 04905
Neoplan K4016td
1999
1999
324
CG 73322
Scania CL94UB4X2LB
2000
2011
http://www.svenskbusshistoria.se/asp/search/dosearch.asp?sva
321
CG 78012
Scania CL94UB4X2LB
2000
2009
http://www.svenskbusshistoria.se/go/?id=8533
323
CG 78631
Scania CL94UB 4x2 LB
2000
2009
http://www.svenskbusshistoria.se/asp/search/dosearch.asp?sva
320
CG 78011
Scania CL94UB4X2LB
2000
2009
325
CG 75321
Scania CL94UB4X2LB
2000
2011
http://www.svenskbusshistoria.se/asp/search/dosearch.asp?sva
322
CG 78632
Scania CL94UB 4x2 LB
2000
2009
www.svenskbusshistoria.se/go?id=8536
303
CG 29443
Scania L94UB / Hess City
2001
2006
302
CG 29442
Scania L94UB / Hess City
2001
2006
300
CG 29440
Scania L94UB / Hess City
2001
2006
301
CG 29441
Scania L94UB / Hess City
2001
2006
CG 19795
Škoda Octawia
2002
2002
305
CG 30525
Scania L94UB / Hess City
2002
2006
306
CG 30625
Scania CL94UB4X2LB
2003
2006
296
CG 41953
Iveco Daily 50C13
2004
2004
2008
293
CG 20707
Kapena Thesi City
2004
2004
2008
Sprzedany do Mediolanu we Włoszech.
295
CG 20881
Kapena Thesi City
2004
2004
2008
Sprzedany do Mediolanu we Włoszech.
294
CG 20951
Kapena Thesi City
2004
2004
2008
Sprzedany do Mediolanu we Włoszech.
299
CG 44419
Iveco Daily 50C13
2005
2005
2008
298
CG 44513
Iveco Daily 50C13
2005
2005
2008
297
CG 44479
Iveco Daily 50C13
2005
2005
2008
318
CG 44758
Scania CN270UB 4x2 EB
2006
2008
319
CG 44759
Scania CN270UB 4x2 EB
2008
2008
317
CG 44757
Scania CN270UB 4x2 EB
2008
2008
316
CG 44756
Scania CN270UB 4x2 EB
2008
2008
331
CG 73331
Solaris Urbino 12
2013
2013
326
FG 2081C
Solaris Urbino 12
2013
2013
279
CG 04588
MZK/Jelcz 180M
2013
1994
Duewag/PaFaWag GT8.5B.6B.EN57.01.03.32626
2013
2013
2014
Sprzedany: 16 grudnia 2013 do Muzeum w Słupsku.
2014
Wycofany 06.2014
www.svenskbusshistoria.se/go?id=11183
NB z wymianą kratownicy - lipiec - wrzesień 2011.
IV 2000 - testy w MPK Łomża
Nadzór Ruchu MZK.
Ex testowy.
http://www.svenskbusshistoria.se/go?id=6045
Sprzedany firmie Eurocar z Dragacza k. Grudziądza.
Brak klimatyzacji
2013
327
FG 2082C
Solaris Urbino 12
2013
2013
332
CG 76801
Solaris Urbino 12
2013
2014
333
CG 76802
Solaris Urbino 12
2013
2014
328
CG 73328
Solaris Urbino 12
2013
2013
329
CG 73329
Solaris Urbino 12
2013
2013
330
CG 73330
Solaris Urbino 12
2013
2013
335
CG 84335
Solaris Urbino 12
2015
2015
Pierwsza rejestracja: 15.10.2015
----------
10.2015 -> CG
334
CG 84334
Solaris Urbino 12
2015
2015
Pierwsza rejestracja: 15.10.2015
----------
10.2015 -> CG
336
CG 88036
Solaris Urbino 12
2016
2016
Pierwsza rejestracja: 23.06.2016
----------
06.2016 -> CG
338
CG 88038
Solaris Urbino 12
2016
2016
Pierwsza rejestracja: 23.06.2016
----------
06.2016 -> CG
337
CG 88037
Solaris Urbino 12
2016
2016
Pierwsza rejestracja: 23.06.2016
----------
06.2016 -> CG
339
CG 88039
Solaris Urbino 12
2016
2016
TUN 5466
Żuk A07B/M
1995
150
TOA 850G
Autosan H9-35
1987
153
TOA 853G
Pierwsza rejestracja: 23.06.2016
----------
06.2016 -> CG
Autosan H9-35
1988
142
Jelcz 272 MEX
?
141
Jelcz 272 MEX
?
158
TOA 849G
Autosan H9-35
1988
159
TOE 916F
Autosan H9-35
1988
161
TOE 918F
Autosan H9-35
1988
140
Jelcz 272 MEX
?
139
Jelcz 272 MEX
?
Source: http://www.phototrans.eu | Generated on 2017-03-04
Przerejestrowany po remoncie w 1991r., lekki wóz techniczny d
Page 4
165
TOE 937F
Autosan H9-35
1987
166
TOE 139Y
Autosan H9-35
1988
131
Jelcz 272 MEX
?
130
Jelcz 272 MEX
?
129
Jelcz 272 MEX
?
128
Jelcz 272 MEX
?
102
Autosan H9-35
?
101
Autosan H9-35
?
100
Autosan H9-35
?
Autosan H9-35
1988
169
TOE 142Y
?
Jelcz 272 MEX
127
San H100B
?
113
Autosan H9-35
?
99
Autosan H9-35
?
98
Autosan H9-35
?
96
Autosan H9-35
?
103
Autosan H9-35
?
104
Autosan H9-35
?
105
Autosan H9-35
?
107
Autosan H9-35
?
Jelcz 272 MEX
1988
112
Autosan H9-35
?
111
Autosan H9-35
?
108
Autosan H9-35
TOE 013Y
MAN L2000
2008
TOA 335D
Autosan H9-35
?
CG 01284
Star 200
?
110
Autosan H9-35
?
109
Autosan H9-35
?
149
TOA 802G
Autosan H9-35
1988
135
TOA 605F
Autosan H9-35
1987
151
TOA 851G
Autosan H9-35
1988
San H100B
?
1987
TOA 852G
Autosan H9-35
154
TOA 854G
Autosan H9-35
87
223
CG 04783
?
Ikarus 280/A
2003
San H100B
?
1994 - Pogotowie Techniczne (Jelcz M11)<br>2003 - KZNS pod
?
TOA 855G
Autosan H9-35
1987
TOA 856G
Autosan H9-35
1988
157
TOA 848G
Autosan H9-35
1988
TOB 093F
Autosan H9-35
1988
Autosan H9-35
?
171
TOE 159Y
Autosan H9-35
1988
170
TOE 158Y
Autosan H9-35
1988
162
TOE 919F
Autosan H9-35
1988
167
TOE 140Y
Autosan H9-35
1988
164
TOE 938F
Autosan H9-35
1987
119
Autosan H9-35
?
118
Autosan H9-35
?
120
Autosan H9-35
?
124
Autosan H9-35
?
125
Autosan H9-35
?
126
Autosan H9-35
?
138
Autosan H9-35
?
136
Autosan H9-35
?
134
Autosan H9-35
?
117
Autosan H9-35
?
133
Autosan H9-35
?
116
Autosan H9-35
?
132
Autosan H9-35
?
148
Autosan H9-35
?
147
Autosan H9-35
?
146
Autosan H9-35
?
115
Autosan H9-35
Mercedes W638
Source: http://www.phototrans.eu | Generated on 2017-03-04
1988
?
156
CG 04902
Turystyczny
1987
San H100B
155
137
Holownik na bazie ogórka, sprzedany 30.04.1988.
?
CG 40071
152
?
?
1988
1988
?
1988
?
2001
Page 5
114
Autosan H9-35
Source: http://www.phototrans.eu | Generated on 2017-03-04
?
Page 6