OGŁOSZENIE O WYPRZEDAŻY 3

Transkrypt

OGŁOSZENIE O WYPRZEDAŻY 3
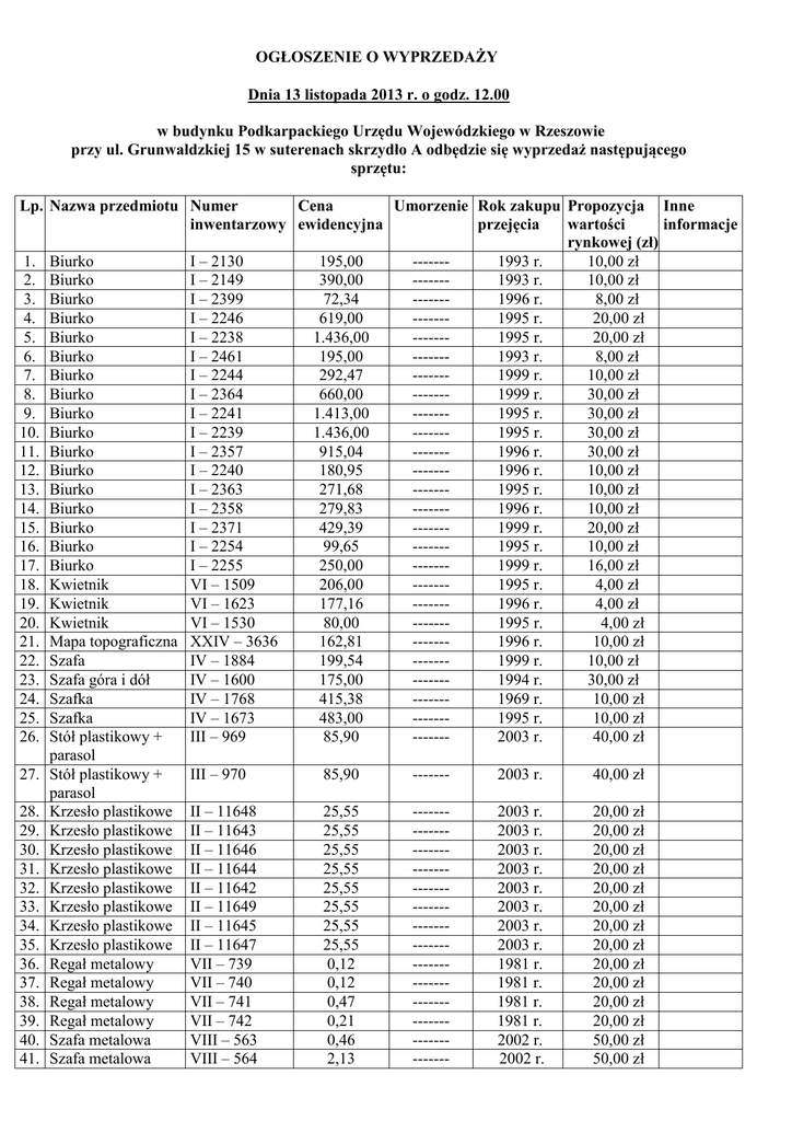
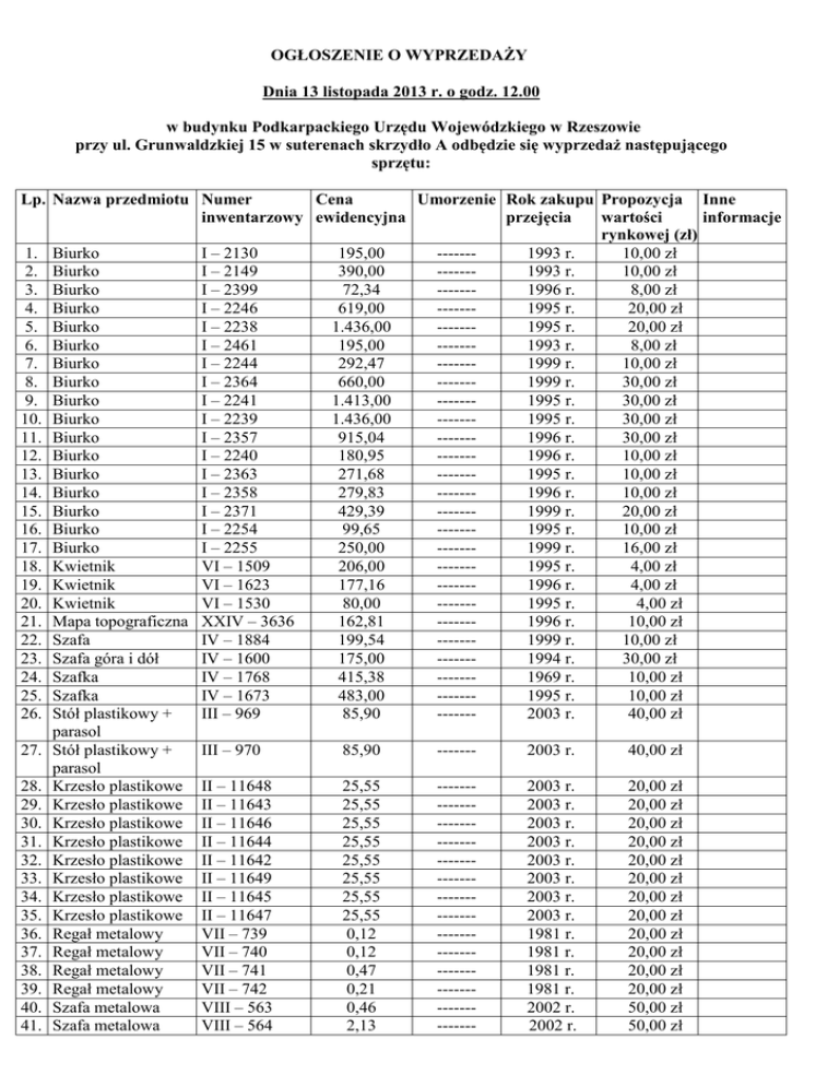
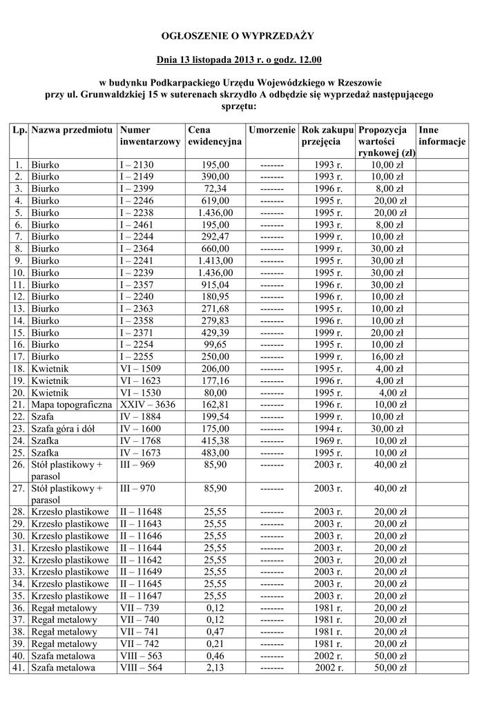
OGŁOSZENIE O WYPRZEDAŻY
Dnia 13 listopada 2013 r. o godz. 12.00
w budynku Podkarpackiego Urzędu Wojewódzkiego w Rzeszowie
przy ul. Grunwaldzkiej 15 w suterenach skrzydło A odbędzie się wyprzedaż następującego
sprzętu:
Cena
Umorzenie Rok zakupu Propozycja Inne
Lp. Nazwa przedmiotu Numer
inwentarzowy ewidencyjna
przejęcia
wartości
informacje
rynkowej (zł)
1. Biurko
I – 2130
195,00
------1993 r.
10,00 zł
2. Biurko
I – 2149
390,00
------1993 r.
10,00 zł
3. Biurko
I – 2399
72,34
------1996 r.
8,00 zł
4. Biurko
I – 2246
619,00
------1995 r.
20,00 zł
5. Biurko
I – 2238
1.436,00
------1995 r.
20,00 zł
6. Biurko
I – 2461
195,00
------1993 r.
8,00 zł
7. Biurko
I – 2244
292,47
------1999 r.
10,00 zł
8. Biurko
I – 2364
660,00
------1999 r.
30,00 zł
9. Biurko
I – 2241
1.413,00
------1995 r.
30,00 zł
10. Biurko
I – 2239
1.436,00
------1995 r.
30,00 zł
11. Biurko
I – 2357
915,04
------1996 r.
30,00 zł
12. Biurko
I – 2240
180,95
------1996 r.
10,00 zł
13. Biurko
I – 2363
271,68
------1995 r.
10,00 zł
14. Biurko
I – 2358
279,83
------1996 r.
10,00 zł
15. Biurko
I – 2371
429,39
------1999 r.
20,00 zł
16. Biurko
I – 2254
99,65
------1995 r.
10,00 zł
17. Biurko
I – 2255
250,00
------1999 r.
16,00 zł
18. Kwietnik
VI – 1509
206,00
------1995 r.
4,00 zł
19. Kwietnik
VI – 1623
177,16
------1996 r.
4,00 zł
20. Kwietnik
VI – 1530
80,00
------1995 r.
4,00 zł
21. Mapa topograficzna XXIV – 3636
162,81
------1996 r.
10,00 zł
22. Szafa
IV – 1884
199,54
------1999 r.
10,00 zł
23. Szafa góra i dół
IV – 1600
175,00
------1994 r.
30,00 zł
24. Szafka
IV – 1768
415,38
------1969 r.
10,00 zł
25. Szafka
IV – 1673
483,00
------1995 r.
10,00 zł
26. Stół plastikowy +
III – 969
85,90
------2003 r.
40,00 zł
parasol
27. Stół plastikowy +
III – 970
85,90
------2003 r.
40,00 zł
parasol
28. Krzesło plastikowe II – 11648
25,55
------2003 r.
20,00 zł
29. Krzesło plastikowe II – 11643
25,55
------2003 r.
20,00 zł
30. Krzesło plastikowe II – 11646
25,55
------2003 r.
20,00 zł
31. Krzesło plastikowe II – 11644
25,55
------2003 r.
20,00 zł
32. Krzesło plastikowe II – 11642
25,55
------2003 r.
20,00 zł
33. Krzesło plastikowe II – 11649
25,55
------2003 r.
20,00 zł
34. Krzesło plastikowe II – 11645
25,55
------2003 r.
20,00 zł
35. Krzesło plastikowe II – 11647
25,55
------2003 r.
20,00 zł
36. Regał metalowy
VII – 739
0,12
------1981 r.
20,00 zł
37. Regał metalowy
VII – 740
0,12
------1981 r.
20,00 zł
38. Regał metalowy
VII – 741
0,47
------1981 r.
20,00 zł
39. Regał metalowy
VII – 742
0,21
------1981 r.
20,00 zł
40. Szafa metalowa
VIII – 563
0,46
------2002 r.
50,00 zł
41. Szafa metalowa
VIII – 564
2,13
------2002 r.
50,00 zł
42.
43.
44.
45.
46.
47.
48.
49.
50.
51.
52.
53.
54.
55.
56.
57.
Szafa metalowa
Szafa metalowa
Sejf pobielany
Szafka – sejf
Wiertarka stołowa
Szlifierka stołowa
Stolik
Stolik
Stolik pod telefon
Kontenerek
Kontenerek
Kontenerek
Kontenerek
Kontenerek
Kontenerek
Kontenerek
VIII – 565
VIII – 570
VIII – 539
VIII – 570/D
XIX – 4113
XIX – 4111
VI – 1517
VI - 1552
VI – 588
VI – 1674
VI – 1758
VI – 2176
VI – 2020/D
VI – 1658
VI – 1965
VI – 2011/D
2,13
70,00
828,38
297,50
86,45
10,00
445,00
120,00
0,08
204,29
87,81
183,00
265,00
204,29
190,00
260,00
-------------------------------------------------------------------------------------------------
Powyższy sprzęt można obejrzeć w dniu
ul. Grunwaldzkiej 15, w godzinach od 8.00 do 10.00.
2002 r.
2010 r.
1994 r.
2010 r.
1991 r.
1991 r.
1995 r.
1995 r.
1973 r.
1997 r.
1999 r.
2010 r.
2004 r.
1996 r.
2002 r.
2003 r.
8.11.2013r.
50,00 zł
50,00 zł
100,00 zł
200,00 zł
500,00 zł
100,00 zł
20,00 zł
20,00 zł
4,00 zł
8,00 zł
8,00 zł
10,00 zł
10,00 zł
8,00 zł
8,00 zł
10,00 zł
w
budynku
Po PCZP
Po RCSA
Po RCSA
PUW
przy
W przypadku, gdy nabyciem przedmiotu zainteresowane będą co najmniej dwie osoby,
przeprowadzona zostanie aukcja pomiędzy tymi osobami.
O szczegółach dotyczących sposobu przeprowadzenia aukcji poinformuje Komisja. Przedmiot
zostanie wydany kupującemu po przedstawieniu dowodu zapłaty.
Przewodniczący Komisji
(-)
Jerzy Zawadzki