Pszenica ozima 2016 tabelki

Transkrypt

Pszenica ozima 2016 tabelki
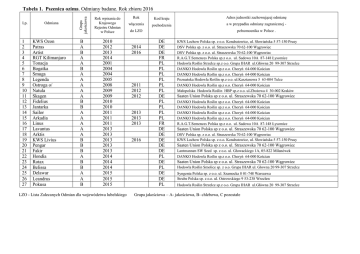
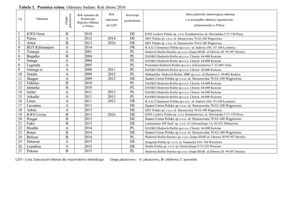
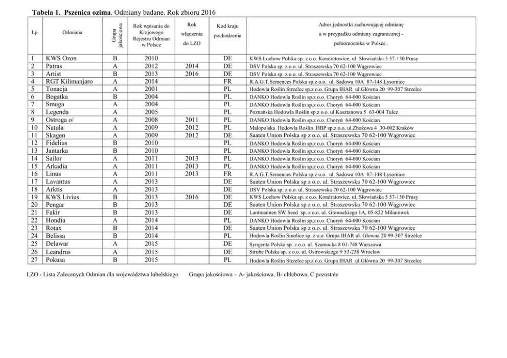
Lp.
1
2
3
4
5
6
7
8
9
10
11
12
13
14
15
16
17
18
19
20
21
22
23
24
25
26
27
Odmiana
KWS Ozon
Patras
Artist
RGT Kilimanjaro
Tonacja
Bogatka
Smuga
Legenda
Ostroga o/
Natula
Skagen
Fidelius
Jantarka
Sailor
Arkadia
Linus
Lavantus
Arktis
KWS Livius
Pengar
Fakir
Hondia
Rotax
Belissa
Delawar
Leandrus
Pokusa
Grupa
jakościowa
Tabela 1. Pszenica ozima. Odmiany badane. Rok zbioru 2016
B
A
B
A
A
B
A
A
A
A
A
B
B
A
A
A
A
A
B
B
B
A
B
B
A
A
B
Rok wpisania do
Krajowego
Rejestru Odmian
w Polsce
2010
2012
2013
2014
2001
2004
2004
2005
2008
2009
2009
2010
2010
2011
2011
2011
2013
2013
2013
2013
2013
2014
2014
2014
2015
2015
2015
LZO - Lista Zalecanych Odmian dla województwa lubelskiego
Rok
Kod kraju
Adres jednostki zachowującej odmianę
włączenia
pochodzenia
a w przypadku odmiany zagranicznej -
do LZO
2014
2016
2011
2012
2012
2013
2013
2013
2016
pełnomocnika w Polsce .
DE
DE
DE
FR
PL
PL
PL
PL
PL
PL
DE
PL
PL
PL
PL
FR
DE
DE
DE
DE
DE
PL
DE
PL
DE
DE
PL
KWS Lochow Polska sp. z o.o. Kondratowice, ul. Słowiańska 5 57-150 Prusy
DSV Polska sp. z o.o. ul. Straszewska 70 62-100 Wągrowiec
DSV Polska sp. z o.o. ul. Straszewska 70 62-100 Wągrowiec
R.A.G.T.Semences Polska sp.z o.o. ul. Sadowa 10A 87-148 Łysomice
Hodowla Roślin Strzelce sp.z o.o. Grupa IHAR ul.Główna 20 99-307 Strzelce
DANKO Hodowla Roślin sp.z o.o. Choryń 64-000 Kościan
DANKO Hodowla Roślin sp.z o.o. Choryń 64-000 Kościan
Poznańska Hodowla Roślin sp.z o.o. ul.Kasztanowa 5 63-004 Tulce
DANKO Hodowla Roślin sp.z o.o. Choryń 64-000 Kościan
Małopolska Hodowla Roślin HBP sp.z o.o. ul.Zbożowa 4 30-002 Kraków
Saaten Union Polska sp z o.o. ul. Straszewska 70 62-100 Wągrowiec
DANKO Hodowla Roślin sp.z o.o. Choryń 64-000 Kościan
DANKO Hodowla Roślin sp.z o.o. Choryń 64-000 Kościan
DANKO Hodowla Roślin sp.z o.o. Choryń 64-000 Kościan
DANKO Hodowla Roślin sp.z o.o. Choryń 64-000 Kościan
R.A.G.T.Semences Polska sp.z o.o. ul. Sadowa 10A 87-148 Łysomice
Saaten Union Polska sp z o.o. ul. Straszewska 70 62-100 Wągrowiec
DSV Polska sp. z o.o. ul. Straszewska 70 62-100 Wągrowiec
KWS Lochow Polska sp. z o.o. Kondratowice, ul. Słowiańska 5 57-150 Prusy
Saaten Union Polska sp z o.o. ul. Straszewska 70 62-100 Wągrowiec
Lantmannen SW Seed sp. z o.o. ul. Głowackiego 1A, 05-822 Milanówek
DANKO Hodowla Roślin sp.z o.o. Choryń 64-000 Kościan
Saaten Union Polska sp z o.o. ul. Straszewska 70 62-100 Wągrowiec
Hodowla Roślin Smolice sp. z o.o. Grupa IHAR ul. Głowna 20 99-307 Strzelce
Syngenta Polska sp. z o.o. ul. Szamocka 8 01-748 Warszawa
Strube Polska sp. z o.o. ul. Ostrowskiego 9 53-238 Wrocław
Hodowla Roślin Strzelce sp.z o.o. Grupa IHAR ul.Główna 20 99-307 Strzelce
Grupa jakościowa – A- jakościowa, B- chlebowa, C pozostałe
Tabela 4. Pszenica ozima. Plon ziarna odmian w miejscowościach ( % wzorca ). Rok zbioru 2016
Poziom a2
Pożóg
Cicibór
Bezek
Czesławice
Uhnin
Palikije
78,6
72,3
45,4
81,6
110,0
87,4
66,4
85,8
77,7
50,8
92,8
123,4
97,6
KWS Ozon
Patras
Artist
RGT Kilimanjaro
Tonacja
Bogatka
Smuga
Legenda
Ostroga o/
Natula
Skagen
Fidelius
Jantarka
Sailor
Arkadia
Linus
Lavantus
Arktis
KWS Livius
Pengar
Fakir
Hondia
Rotax
Belissa
Delawar
Leandrus
Pokusa
94
92
114
112
95
112
85
89
97
102
93
105
102
89
107
99
94
97
95
83
103
104
120
102
99
115
102
105
110
109
103
107
109
108
108
98
105
105
103
107
82
111
108
109
90
85
64
93
103
103
88
93
97
96
90
95
88
101
98
116
118
98
94
111
90
108
117
103
122
95
98
103
93
70
97
93
113
115
97
97
80
110
99
104
115
104
99
104
88
110
106
114
59
90
101
114
110
93
115
100
102
97
83
118
103
103
67
92
100
106
105
100
88
101
95
93
100
106
95
98
105
103
100
109
101
92
91
96
106
98
112
102
103
92
102
93
108
108
107
96
116
91
98
94
98
101
103
100
99
113
97
89
94
104
79
101
102
102
104
92
99
110
94
81
106
109
98
87
107
108
105
103
103
94
109
101
106
99
81
100
93
85
106
108
108
110
108
94
97
98
89
109
105
101
105
92
91
100
108
98
102
108
90
108
106
92
94
92
78
107
104
115
103
103
105
95
109
113
112
107
106
109
108
114
108
104
103
108
109
77
113
104
104
94
76
29
98
106
105
99
91
99
95
89
94
93
95
102
116
113
103
94
108
89
102
113
106
118
94
102
107
96
74
94
93
109
116
105
95
79
113
83
98
102
109
110
109
113
106
103
105
68
91
101
103
115
103
105
97
107
105
74
126
98
102
60
91
101
103
105
103
89
105
102
107
96
100
97
102
102
97
109
99
97
90
89
102
103
99
106
104
102
87
101
97
100
111
100
92
108
107
101
97
102
101
109
98
93
109
106
88
84
97
87
104
96
98
110
100
104
101
100
81
107
108
101
96
110
107
99
104
100
103
103
101
113
102
78
97
95
84
101
102
103
111
106
91
94
Wzorzec – średnia ze wszystkich badanych odmian
Pożóg
Palikije
57,5
Ulhówek
Uhnin
Wzorzec, dt z ha
Odmiana
Ulhówek
Czesławice
1
2
3
4
5
6
7
8
9
10
11
12
13
14
15
16
17
18
19
20
21
22
23
24
25
26
27
Bezek
Lp.
Cicibór
Poziom a1
Tabela 5
Lp
Odmiana
.
Mrozo
odporność
Pszenica ozima. Plon ziarna odmian (% wzorca). Lata zbioru: 2016, 2015, 2014.
Wzorzec dt z ha
1
2
3
4
5
6
7
8
9
10
11
12
13
14
15
16
17
18
19
20
21
22
23
24
25
26
27
KWS Ozon
Patras
Artist
RGT Kilimanjaro
Tonacja
Bogatka
Smuga
Legenda
Ostroga o/
Natula
Skagen
Fidelius
Jantarka
Sailor
Arkadia
Linus
Lavantus
Arktis
KWS Livius
Pengar
Fakir
Hondia
Rotax
Belissa
Delawar
Leandrus
Pokusa
4,0
4,0
4,0
4,0
5,5
5,5
6,0
6,0
6,0
5,0
5,0
4,5
5,5
4,5
6,0
4,0
3,0
4,5
3,0
2,0
4,5
5,5
5,0
5,0
4,0
3,0
3,0
Poziom a1
Poziom a2
2016 2015 2014
20152016
20142016
2016
2015
2014
20152016
20142016
76,1 94,0 77,9
85,1
82,7
84,9
108,1
93,7
96,5
95,6
97
100
105
106
98
106
101
98
99
104
100
98
105
97
110
102
95
97
95
81
101
100
110
103
99
96
98
99
101
105
103
96
101
97
94
95
101
102
100
100
99
105
103
98
99
99
93
101
100
110
104
101
105
105
100
96
106
103
99
107
106
105
100
104
99
101
104
95
111
103
94
94
92
79
102
98
107
107
101
94
95
102
103
102
97
97
100
97
96
92
99
100
102
99
102
102
107
102
97
100
102
101
100
106
105
100
104
104
101
100
104
100
98
104
102
101
96
102
100
102
102
99
107
106
98
96
96
91
102
99
107
106
101
101
104
12
21
101
102
106
100
94
95
93
90
91
98
103
102
95
101
100
104
101
101
102
105
101
99
109
105
105
113
105
99
92
99
100
96
104
105
84
90
101
91
109
100
104
97
98
97
96
95
102
103
95
97
99
97
102
95
102
Liczba
7
7
7
14
21
7
7
doświadczeń
Wzorzec – średnia z wszystkich badanych odmian
Mrozoodporność w skali 9˚ - wg COBORU (Lista Opisowa Odmian 2016)
Skala 9˚ - 9 oznacza ocenę najkorzystniejszą, 1 - najmniej korzystną, 5 - średnią
a1 – podstawowy poziom agrotechniczny, a2 – intensywny poziom agrotechniczny
100
97
101
100
97
102
99
90
93
104
97
110
100
104
7
99
101
101
100
96
102
99
98
98
100
96
101
94
102