Protokół 23.12.2013

Transkrypt

Protokół 23.12.2013
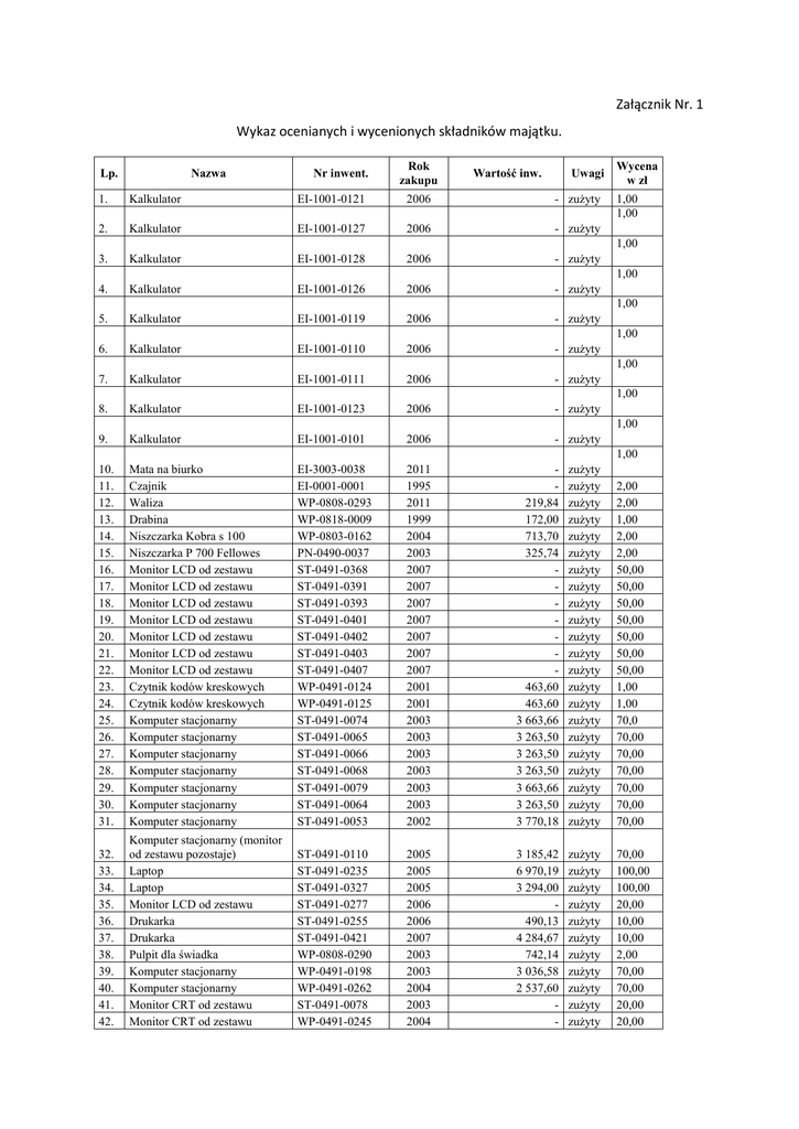
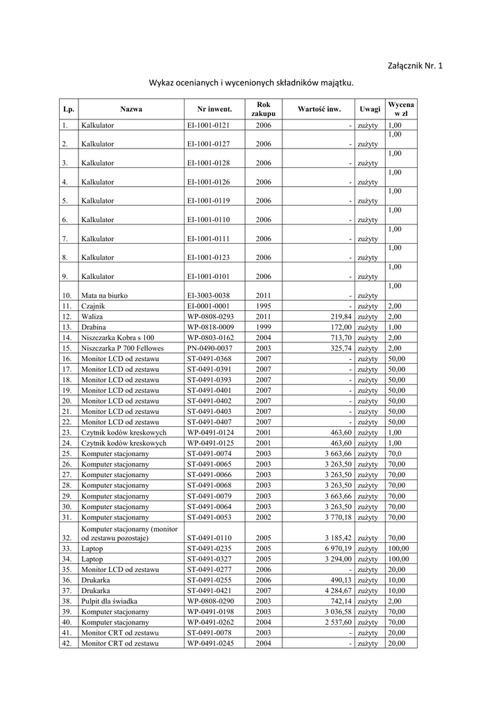
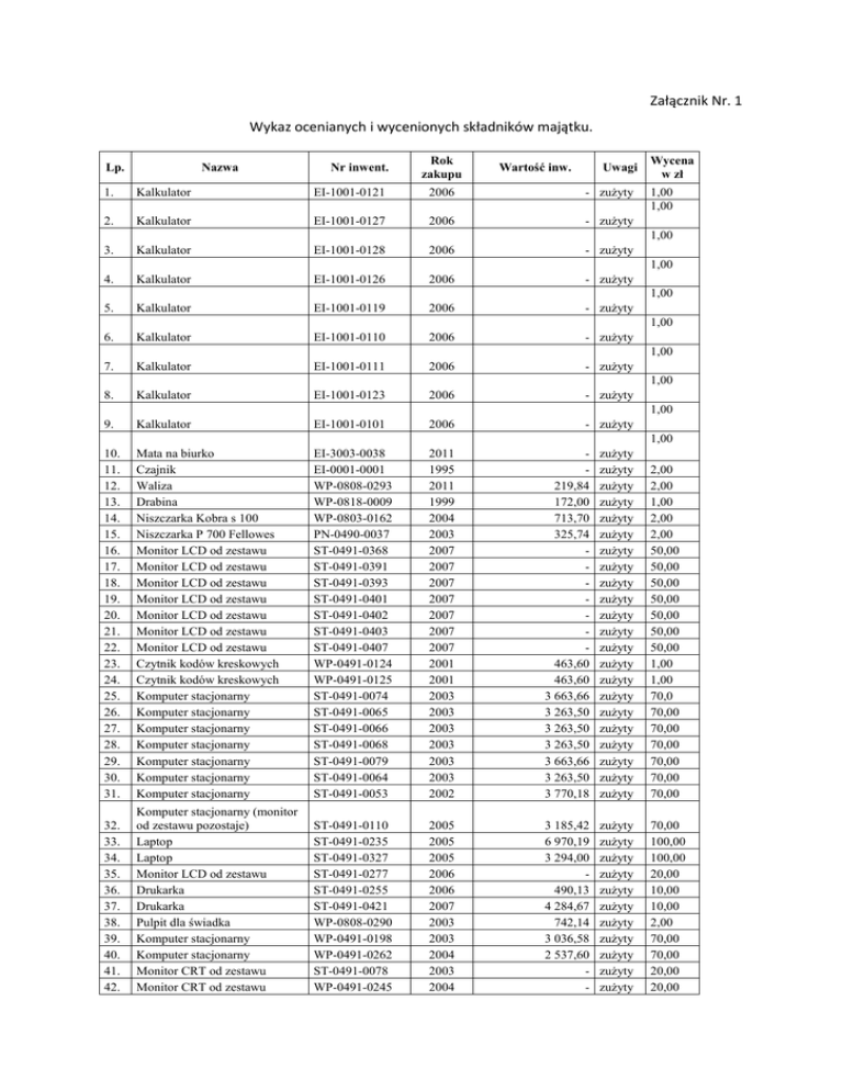
Załącznik Nr. 1
Wykaz ocenianych i wycenionych składników majątku.
Lp.
Nazwa
Nr inwent.
Rok
zakupu
Wartość inw.
Uwagi
Wycena
w zł
1.
Kalkulator
EI-1001-0121
2006
- zużyty
2.
Kalkulator
EI-1001-0127
2006
- zużyty
3.
Kalkulator
EI-1001-0128
2006
- zużyty
4.
Kalkulator
EI-1001-0126
2006
- zużyty
5.
Kalkulator
EI-1001-0119
2006
- zużyty
6.
Kalkulator
EI-1001-0110
2006
- zużyty
7.
Kalkulator
EI-1001-0111
2006
- zużyty
8.
Kalkulator
EI-1001-0123
2006
- zużyty
9.
Kalkulator
EI-1001-0101
2006
- zużyty
10.
11.
12.
13.
14.
15.
16.
17.
18.
19.
20.
21.
22.
23.
24.
25.
26.
27.
28.
29.
30.
31.
Mata na biurko
Czajnik
Waliza
Drabina
Niszczarka Kobra s 100
Niszczarka P 700 Fellowes
Monitor LCD od zestawu
Monitor LCD od zestawu
Monitor LCD od zestawu
Monitor LCD od zestawu
Monitor LCD od zestawu
Monitor LCD od zestawu
Monitor LCD od zestawu
Czytnik kodów kreskowych
Czytnik kodów kreskowych
Komputer stacjonarny
Komputer stacjonarny
Komputer stacjonarny
Komputer stacjonarny
Komputer stacjonarny
Komputer stacjonarny
Komputer stacjonarny
EI-3003-0038
EI-0001-0001
WP-0808-0293
WP-0818-0009
WP-0803-0162
PN-0490-0037
ST-0491-0368
ST-0491-0391
ST-0491-0393
ST-0491-0401
ST-0491-0402
ST-0491-0403
ST-0491-0407
WP-0491-0124
WP-0491-0125
ST-0491-0074
ST-0491-0065
ST-0491-0066
ST-0491-0068
ST-0491-0079
ST-0491-0064
ST-0491-0053
2011
1995
2011
1999
2004
2003
2007
2007
2007
2007
2007
2007
2007
2001
2001
2003
2003
2003
2003
2003
2003
2002
219,84
172,00
713,70
325,74
463,60
463,60
3 663,66
3 263,50
3 263,50
3 263,50
3 663,66
3 263,50
3 770,18
zużyty
zużyty
zużyty
zużyty
zużyty
zużyty
zużyty
zużyty
zużyty
zużyty
zużyty
zużyty
zużyty
zużyty
zużyty
zużyty
zużyty
zużyty
zużyty
zużyty
zużyty
zużyty
2,00
2,00
1,00
2,00
2,00
50,00
50,00
50,00
50,00
50,00
50,00
50,00
1,00
1,00
70,0
70,00
70,00
70,00
70,00
70,00
70,00
32.
33.
34.
35.
36.
37.
38.
39.
40.
41.
42.
Komputer stacjonarny (monitor
od zestawu pozostaje)
Laptop
Laptop
Monitor LCD od zestawu
Drukarka
Drukarka
Pulpit dla świadka
Komputer stacjonarny
Komputer stacjonarny
Monitor CRT od zestawu
Monitor CRT od zestawu
ST-0491-0110
ST-0491-0235
ST-0491-0327
ST-0491-0277
ST-0491-0255
ST-0491-0421
WP-0808-0290
WP-0491-0198
WP-0491-0262
ST-0491-0078
WP-0491-0245
2005
2005
2005
2006
2006
2007
2003
2003
2004
2003
2004
3 185,42
6 970,19
3 294,00
490,13
4 284,67
742,14
3 036,58
2 537,60
-
zużyty
zużyty
zużyty
zużyty
zużyty
zużyty
zużyty
zużyty
zużyty
zużyty
zużyty
70,00
100,00
100,00
20,00
10,00
10,00
2,00
70,00
70,00
20,00
20,00
1,00
1,00
1,00
1,00
1,00
1,00
1,00
1,00
1,00
1,00
43.
44.
45.
46.
47.
48.
49.
50.
51.
52.
53.
54.
55.
56.
57.
58.
59.
60.
61.
62.
63.
64.
65.
66.
67.
68.
69.
70.
71.
72.
73.
74.
Monitor CRT od zestawu
Komputer stacjonarny
Komputer stacjonarny
Fax Ricoh Afficio
Pendrive 2 GB
Pendrive 2 GB
Pendrive 2 GB
Pendrive 512 MB
Monitor CRT od zestawu
Monitor CRT od zestawu
Monitor CRT od zestawu
Monitor CRT od zestawu
Monitor CRT od zestawu
Komputer stacjonarny
Komputer stacjonarny
Monitor CRT od zestawu
Monitor CRT od zestawu
Monitor CRT od zestawu
Monitor CRT od zestawu
Monitor CRT od zestawu
Monitor LCD
Monitor CRT
Monitor CRT
Monitor LCD od zestawu
Monitor LCD od zestawu
Monitor LCD od zestawu
UPS
UPS
UPS
UPS
UPS
Drukarka Samsung ML 3561
WP-0491-0247
WP-0491-0196
ST-0491-0063
ST-0803-0023
WP-0491-0270
WP-0491-0271
WP-0491-0272
WP-0491-0223
ST-0491-0080
ST-0491-0076
WP-0491-0246
WP-0491-0247
WP-0491-0245
WP-0491-0188
WP-0491-0142
WP-0491-0261
WP-0491-0248
WP-0491-0247
WP-0491-0246
WP-0491-0245
WP-0491-0231
WP-0491-0173
WP-0491-0170
ST-0491-0269
ST-0491-0268
ST-0491-0267
WP-0491-0656
WP-0491-0658
WP-0491-0661
EI-1005-0012
EI-1005-0013
WP-0491-0453
2004
2003
2003
1999
2006
2006
2006
2003
2003
2003
2004
2004
2004
2003
2003
2004
2004
2004
2004
2004
2003
2003
2003
2006
2006
2006
2005
2005
2005
2007
3 036,58
3 263,50
6 405,00
386,74
386,74
386,74
691,74
3 036,58
2 094,74
2 022,76
467,26
467,26
-
zużyty
zużyty
zużyty
zużyty
zużyty
zużyty
zużyty
zużyty
zużyty
zużyty
zużyty
zużyty
zużyty
zużyty
zużyty
zużyty
zużyty
zużyty
zużyty
zużyty
zużyty
zużyty
zużyty
zużyty
zużyty
zużyty
zużyty
zużyty
zużyty
zużyty
zużyty
zużyty
20,00
70,00
70,00
80,00
2,00
2,00
2,00
2,00
50,00
50,00
50,00
50,00
50,00
70,00
70,00
50,00
50,00
50,00
50,00
50,00
50,00
50,00
50,00
50,00
50,00
50,00
1,00
1,00
1,00
1,00
1,00
30,00
75.
Urządzenie wielofunkcyjne
HPLJ 3200
WP-0491-0225
2003
2 537,60 zużyty
40,00
76.
77.
78.
79.
80.
81.
82.
83.
84.
85.
86.
Urządzenie wielofunkcyjne
HPLJ 3200
Drukarka HPLJ 1100
Drukarka HPLJ 1220C
Drukarka Samsung ML2250
Drukarka Samsung ML2250
Drukarka Samsung ML2250
Drukarka Kyocera FS 1020
Drukarka HPLJ 4200
Drukarka HPLJ 4000
Komputer stacjonarny
Komputer stacjonarny
WP-0491-0162
WP-0491-0152
WP-0491-0134
ST-0491-0263
ST-0491-0255
ST-0491-0247
ST-0491-0150
ST-0491-0070
ST-0491-0017
WP-0491-0250
WP-0491-0144
2003
2003
2002
2006
2006
2006
2005
2003
1999
2004
2003
2 586,40
1 055,30
1 561,60
490,13
490,13
490,13
1 732,40
8 497,30
7 675,02
2 562,00
2 094,74
zużyty
zużyty
zużyty
zużyty
zużyty
zużyty
zużyty
zużyty
zużyty
zużyty
zużyty
40,00
20,00
20,00
20,00
20,00
20,00
20,00
20,00
70,00
70,00
70,00
87.
Komputer stacjonarny od
zestawu(monitor zostaje)
ST-0491-0439
2007
4 609,16 zużyty
70,00
88.
Komputer stacjonarny od
zestawu (monitor zostaje)_
ST-0491-0431
2007
4 609,16 zużyty
70,00
89.
Komputer stacjonarny od
zestawu (monitory zostają)
ST-0491-0273
2006
4 956,07 zużyty
70,00
90.
Komputer stacjonarny od
zestawu (monitor zostaje)
ST-0491-0115
2005
3 041,46 zużyty
70,00
91.
Komputer stacjonarny od
zestawu (monitor zostaje)
ST-0491-0112
2005
3 185,42 zużyty
70,00
170,80
170,80
170,80
1 323,70
92.
Komputer stacjonarny od
zestawu (monitor zostaje)
ST-0491-0113
2005
3 041,46 zużyty
70,00
93.
Komputer stacjonarny od
zestawu (monitor zostaje)
ST-0491-0115
2005
3 041,46 zużyty
70,00
94.
Komputer stacjonarny od
zestawu (monitor zostaje)
ST-0491-0282
2006
4 956,07 zużyty
70,00
95.
Komputer stacjonarny od
zestawu (monitor zostaje)
ST-0491-0275
2006
4 956,07 zużyty
70,00
96.
Komputer stacjonarny od
zestawu (monitor zostaje)
ST-0491-0279
2006
4 956,07 zużyty
70,00
97.
Komputer stacjonarny od
zestawu (monitory zostają)
ST-0491-0508
2007
3 498,96 zużyty
70,00
98.
Komputer stacjonarny od
zestawu (monitory zostają)
ST-0491-0509
2007
3 498,96 zużyty
70,00
99.
Komputer stacjonarny od
zestawu (monitory zostają)
ST-0491-0510
2007
3 498,96 zużyty
70,00
Komputer stacjonarny od
100. zestawu (monitory zostają)
ST-0491-0496
2007
3 191,52 zużyty
70,00
Komputer stacjonarny od
101. zestawu (monitory zostają)
ST-0491-0499
2007
3 191,52 zużyty
70,00
Załącznik Nr. 2
Wykaz ocenianych i wycenionych składników majątku.
Lp.
Nazwa składnika
Nr inwentarzowy
Rok zakupu
Uwagi
Wycena w zł
1.
2.
Fotel sędziowski
Fotel sędziowski
WP-0804-0588
WP-0804-0589
1976
1976
zużyty
zużyty
10,00
10,00