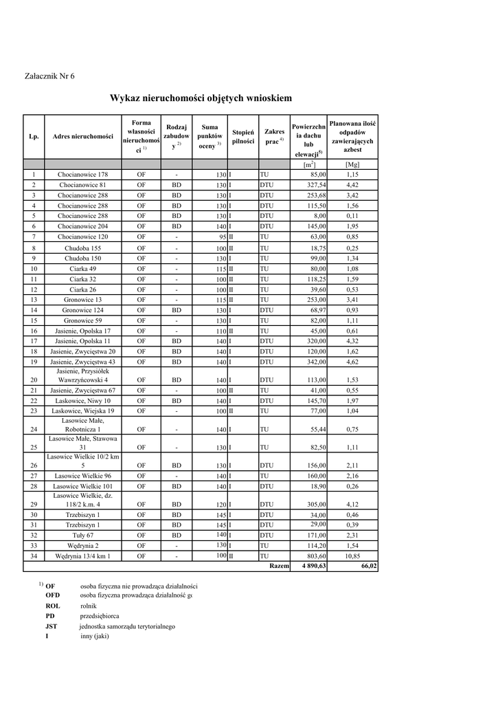
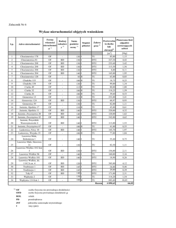
6. Wykaz nieruchomości

Transkrypt

6. Wykaz nieruchomości
Załacznik Nr 6
Wykaz nieruchomości objętych wnioskiem
Forma
Rodzaj
własności
zabudow
nieruchomoś
y 2)
ci 1)
Suma
punktów
oceny 3)
Stopień
pilności
Lp.
Adres nieruchomości
1
Chocianowice 178
OF
-
2
Chocianowice 81
OF
BD
3
Chocianowice 288
OF
BD
4
Chocianowice 288
OF
BD
5
Chocianowice 288
OF
BD
6
Chocianowice 204
OF
BD
7
Chocianowice 120
OF
-
95 II
8
Chudoba 155
OF
-
9
Chudoba 150
OF
-
10
Ciarka 49
OF
-
11
Ciarka 32
OF
-
12
Ciarka 26
OF
-
13
Gronowice 13
OF
-
14
Gronowice 124
OF
BD
15
Gronowice 59
OF
-
16
Jasienie, Opolska 17
OF
-
17
Jasienie, Opolska 11
OF
BD
18
Jasienie, Zwycięstwa 20
OF
BD
19
OF
BD
20
Jasienie, Zwycięstwa 43
Jasienie, Przysiółek
Wawrzyńcowski 4
OF
BD
21
Jasienie, Zwycięstwa 67
OF
-
22
Laskowice, Niwy 10
OF
BD
23
OF
26
Laskowice, Wiejska 19
Lasowice Małe,
Robotnicza 1
Lasowice Małe, Stawowa
31
Lasowice Wielkie 10/2 km
5
27
Lasowice Wielkie 96
28
Zakres
prac 4)
Powierzchn Planowana ilość
odpadów
ia dachu
zawierających
lub
azbest
elewacji5)
[Mg]
[m2]
130 I
130 I
TU
85,00
1,15
DTU
327,54
4,42
130 I
130 I
DTU
253,68
3,42
DTU
115,50
1,56
130 I
140 I
DTU
8,00
0,11
DTU
145,00
1,95
TU
63,00
0,85
100 II
130 I
TU
18,75
0,25
TU
99,00
1,34
115 II
100 II
TU
80,00
1,08
TU
118,25
1,59
100 II
115 II
TU
39,60
0,53
TU
253,00
3,41
130 I
130 I
DTU
68,97
0,93
TU
82,00
1,11
110 II
140 I
TU
45,00
0,61
DTU
320,00
4,32
140 I
140 I
DTU
120,00
1,62
DTU
342,00
4,62
140 I
100 II
DTU
113,00
1,53
41,00
0,55
DTU
145,70
1,97
-
140 I
100 II
TU
77,00
1,04
OF
-
140 I
TU
55,44
0,75
OF
-
130 I
TU
82,50
1,11
OF
BD
156,00
2,11
-
130 I
140 I
DTU
OF
TU
160,00
2,16
OF
BD
140 I
DTU
18,90
0,26
29
Lasowice Wielkie 101
Lasowice Wielkie, dz.
118/2 k.m. 4
OF
BD
305,00
4,12
Trzebiszyn 1
OF
BD
120 I
145 I
DTU
30
DTU
0,46
31
Trzebiszyn 1
OF
BD
DTU
32
Tuły 67
OF
BD
DTU
171,00
2,31
33
Wędrynia 2
OF
-
145 I
140 I
130 I
34,00
29,00
TU
114,20
1,54
34
Wędrynia 13/4 km 1
OF
-
100 II
TU
803,60
4 890,63
10,85
24
25
TU
Razem
1)
OF
OFD
osoba fizyczna nie prowadząca działalności
osoba fizyczna prowadząca działalność gospodarczą
ROL
rolnik
PD
przedsiębiorca
JST
I
jednostka samorządu terytorialnego
inny (jaki)
0,39
66,02
2)
BD
budynek niezwiązany z prowadzoną działalnością gospodarczą lub rolniczą
D
budynek związany z prowadzoną działalnością gospodarczą lub rolniczą
3) suma punktów uzyskana w drodze oceny stanu i możliwości bezpiecznego użytkowania wyrobów zawierających azbest,
dokonanej zgodnie z Rozporządzeniem Ministra Gospodarki z dnia 5 sierpnia 2010 r. zmieniające rozporządzenie w
sprawie sposobów i warunków bezpiecznego użytkowania i usuwania wyrobów zawierających azbest (Dz. U. Nr 162, poz.
4) 1089)
DTU
w przypadku, gdy będzie realizowany demontaż, transport, unieszkodliwienie lub zabezpieczenie wyrobów azbestowych
5)
TU
w przypadku, gdy będzie realizowane tylko zbieranie, transport i unieszkodliwienie wyrobów azbestowych
w przypadku demontazu wyrobów z dachu lub elewacji należy podać powierzchnię dachu lub elewacji (a nie powierzchnię wyrobów płyt). W przypadku zebrania wcześniej zdemontowanych wyrobów należy podac powierzchnię wyrobów (np. płyt)
pieczęć
firmowa