klasyfikacja

Transkrypt

klasyfikacja
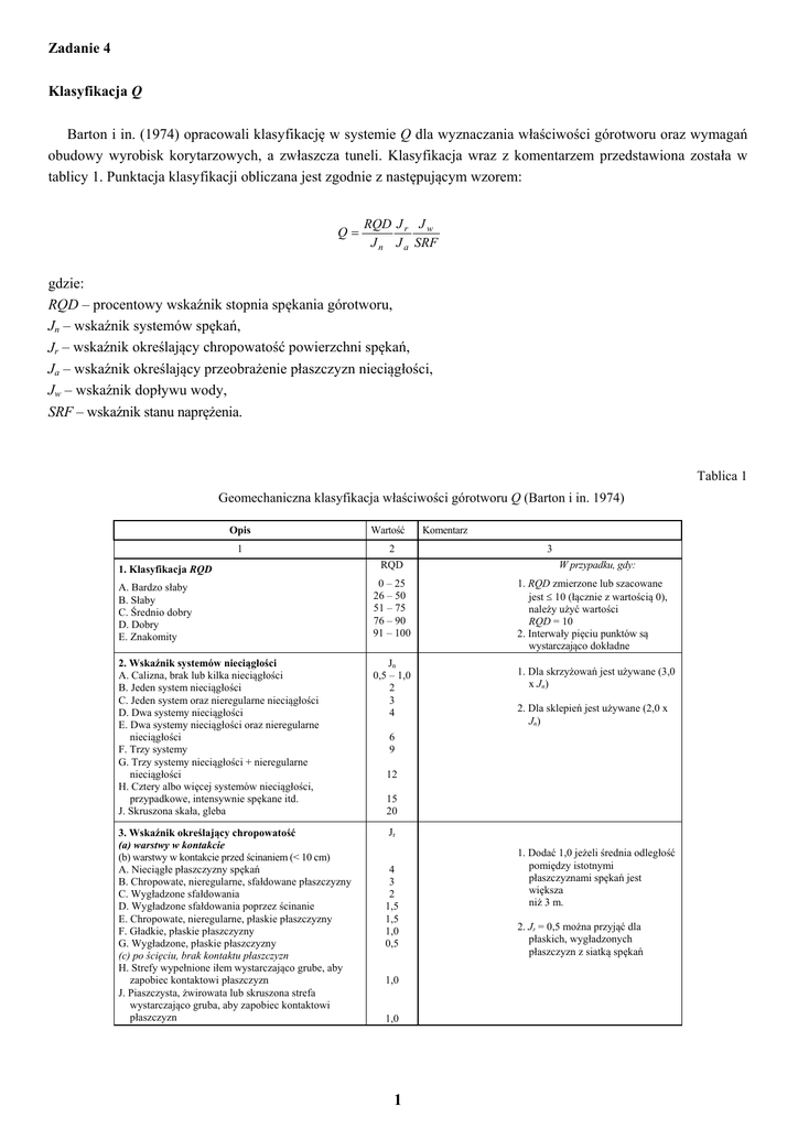
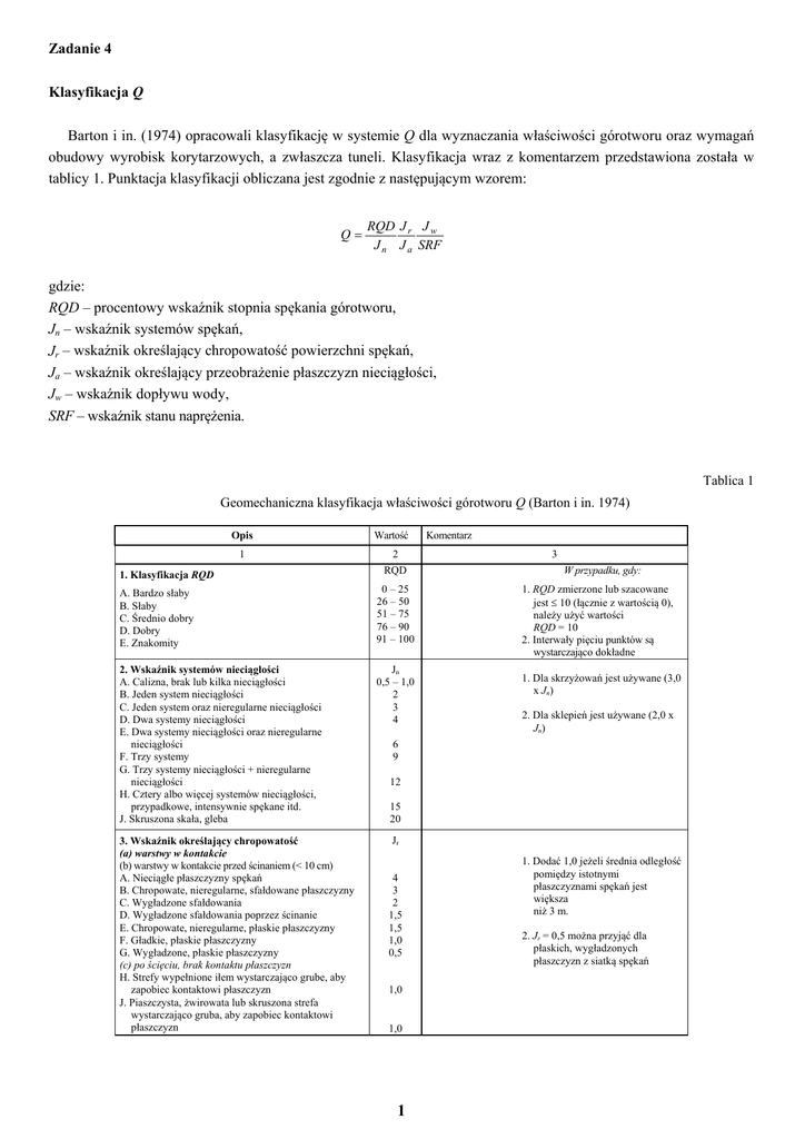
Zadanie 4
Klasyfikacja Q
Barton i in. (1974) opracowali klasyfikację w systemie Q dla wyznaczania właściwości górotworu oraz wymagań
obudowy wyrobisk korytarzowych, a zwłaszcza tuneli. Klasyfikacja wraz z komentarzem przedstawiona została w
tablicy 1. Punktacja klasyfikacji obliczana jest zgodnie z następującym wzorem:
Q=
RQD J r J w
J n J a SRF
gdzie:
RQD – procentowy wskaźnik stopnia spękania górotworu,
Jn – wskaźnik systemów spękań,
Jr – wskaźnik określający chropowatość powierzchni spękań,
Ja – wskaźnik określający przeobrażenie płaszczyzn nieciągłości,
Jw – wskaźnik dopływu wody,
SRF – wskaźnik stanu naprężenia.
Tablica 1
Geomechaniczna klasyfikacja właściwości górotworu Q (Barton i in. 1974)
Opis
1
1. Klasyfikacja RQD
Wartość
2
RQD
A. Bardzo słaby
B. Słaby
C. Średnio dobry
D. Dobry
E. Znakomity
0 – 25
26 – 50
51 – 75
76 – 90
91 – 100
2. Wskaźnik systemów nieciągłości
A. Calizna, brak lub kilka nieciągłości
B. Jeden system nieciągłości
C. Jeden system oraz nieregularne nieciągłości
D. Dwa systemy nieciągłości
E. Dwa systemy nieciągłości oraz nieregularne
nieciągłości
F. Trzy systemy
G. Trzy systemy nieciągłości + nieregularne
nieciągłości
H. Cztery albo więcej systemów nieciągłości,
przypadkowe, intensywnie spękane itd.
J. Skruszona skała, gleba
Jn
0,5 – 1,0
2
3
4
3. Wskaźnik określający chropowatość
(a) warstwy w kontakcie
(b) warstwy w kontakcie przed ścinaniem (< 10 cm)
A. Nieciągłe płaszczyzny spękań
B. Chropowate, nieregularne, sfałdowane płaszczyzny
C. Wygładzone sfałdowania
D. Wygładzone sfałdowania poprzez ścinanie
E. Chropowate, nieregularne, płaskie płaszczyzny
F. Gładkie, płaskie płaszczyzny
G. Wygładzone, płaskie płaszczyzny
(c) po ścięciu, brak kontaktu płaszczyzn
H. Strefy wypełnione iłem wystarczająco grube, aby
zapobiec kontaktowi płaszczyzn
J. Piaszczysta, żwirowata lub skruszona strefa
wystarczająco gruba, aby zapobiec kontaktowi
płaszczyzn
Komentarz
3
W przypadku, gdy:
1. RQD zmierzone lub szacowane
jest ≤ 10 (łącznie z wartością 0),
należy użyć wartości
RQD = 10
2. Interwały pięciu punktów są
wystarczająco dokładne
1. Dla skrzyżowań jest używane (3,0
x Jn)
2. Dla sklepień jest używane (2,0 x
Jn)
6
9
12
15
20
Jr
4
3
2
1,5
1,5
1,0
0,5
1,0
1,0
1
1. Dodać 1,0 jeżeli średnia odległość
pomiędzy istotnymi
płaszczyznami spękań jest
większa
niż 3 m.
2. Jr = 0,5 można przyjąć dla
płaskich, wygładzonych
płaszczyzn z siatką spękań
4. Wskaźnik określający przeobrażenie płaszczyzn
Ja
Φr (w przybliżeniu)
nieciągłości
rezydualny kąt tarcia wewnętrznego
(a) płaszczyzny stykające się
)
A. Ściśle przylegające, twarde, nie rozpuszczające się,
0,75
–
1,0
25 – 350
2,0
25 – 350
3,0
20 – 250
4,0
8 – 160
4,0
25 – 350
6,0
16 – 240
8,0
12 – 160
8,0 – 12
6 – 120
K. Strefy, pasemka zniszczonej lub skruszonej skały
6,0 – 8,0
6 – 240
L. lub iłu
lub 8 – 12
nieprzepuszczalne wypełnienie
B. Nie przeobrażone płaszczyzny tylko
powierzchniowo przebarwione
C. Lekko przeobrażone płaszczyzny, twarde mineralne
powłoki ziarna piasku, piasek, skruszona skała
pozbawiona części ilastych
D. Ilaste lub piaskowo ilaste powłoki, niewielkie frakcje
mułowcowe
E. Mięknące lub ilaste powłoki o małym współczynniku
tarcia, np. kaolinit, mika, talk, gips, grafit, itp.
i małe ilości pęczniejących mułowców (spękania
powłoki 1 – 2 mm)
(b) ścianki w kontakcie przed ścinaniem (< 10 cm)
F. Ziarna piasku, skruszona skała bez części ilastych
G. Silnie skonsolidowane, iłowe wypełnienia
o grubości < 5 mm
H. Średnio lub słabo skonsolidowane, mięknące
wypełnienie ilaste o grubości < 5 mm
J. Wypełnienie pęczniejącymi iłami, np. montmorillonit
(ciągłe o grubości < 5 mm)
Wartość Ja zależy od wielkości pęcznienia cząsteczek
ilastych oraz dostępu do wody
(c). brak kontaktu ścianek po ścięciu
M.
N. Strefy lub pasemka zamulonej albo zapiaszczonej
5,0
(–)
10 – 13
6 – 240
gliny nie mięknące drobne frakcje ilaste
O.
P. Grube, ciągłe strefy albo pasma gliny
R. (opis stanu gliny wg G, H, J)
lub
13 – 20
5. Wskaźnik dopływu wody
A. Suche wyrobisko lub nieznaczny dopływ, lokalnie
< 5 l/min
B. Średni dopływ lub ciśnienie, czasami wypłukiwanie
wypełnienia szczelin
C. Duży dopływ lub wysokie ciśnienie w skałach
zwięzłych z niewypełnionymi szczelinami
D. Duży dopływ lub wysokie ciśnienie wody,
wymywanie materiału wypełniającego szczeliny
E. Wyjątkowo duży dopływ lub wysokie ciśnienie po
odstrzeleniu przodka, malejące z czasem
F. Wyjątkowo duży dopływ lub wysokie ciśnienie
utrzymujące się w czasie
6. Wskaźnik stanu naprężenia
(a) Strefy o mniejszej wytrzymałości, które mogą
powodować luzowanie się masywu skalnego
w trakcie drążenia wyrobiska
A. Wielokrotnie pojawiające się strefy o słabszej
wytrzymałości zawierające iłowce lub chemicznie
zniszczoną skałę, bardzo luźne skały (niezależnie od
głębokości)
B. Pojedyncza strefa o małej wytrzymałości zawierająca
iłowiec lub skały chemicznie zniszczone
(wyrobisko < 50 m)
C. Pojedyncza strefa o małej wytrzymałości zawierająca
iłowiec lub skały chemicznie zniszczone (głębokość
wyrobiska > 50 m)
D. Wielokrotne strefy zniszczenia poślizgowego
(ścinanie) w zwięzłej skale (bez iłowców), luźna
skała otaczająca (niezależnie od głębokości)
E. Pojedyncza strefa zniszczenia poślizgowego
w zwięzłej skale (bez iłowców)
(głębokość wyrobiska < 50 m)
Jw
Przybliżone
ciśnienie wody
(kPa/cm2)
1,0
< 1,0
0,66
1,0 – 2,5
0,5
2,5 – 10
0,33
2,5 – 10
0,2 – 0,1
> 10
0,1 – 0,05
> 10
1. Wskaźniki dla pkt.
od C do F są przybliżeniami. Należy
zwiększyć wyższą wartość Jw,
jeśli zainstalowany jest drenaż
2. Specjalne problemy związane z
tworzeniem się lodu są pominięte
SRF
10
5
2,5
7,5
5,0
2
1. Należy zredukować podane obok
wartości SRF od 25 do 50%, jeśli
rozpatrywane strefy zniszczenia
poślizgowego wpływają na
stateczność wyrobiska, lecz go nie
przecinają.
F. Pojedyncza strefa zniszczenia poślizgowego
w zwięzłej skale (bez iłowców) (głębokość
wyrobiska > 50 m)
G. Luźne, otwarte szczeliny, intensywnie spękana skała
(dowolna głębokość)
(b) Skała zwięzła, problemy związane ze stanem
naprężenia Rc /σ1 > 200, Rr /σ1 > 13
H. Niskie naprężenie, mała głębokość
J. Średnie naprężenie
K. Wysokie naprężenie, bardzo zwięzła struktura
(zwykle korzystna dla stateczności wyrobiska,
niekorzystna dla ociosów)
L. Słabe tąpnięcia
M. Silne tąpnięcia
(c) Skały zaciskające: deformacje plastyczne w skale
niezwięzłej pod wpływem wysokiego ciśnienia
N. Średnio zaciskające ciśnienie skał
O. Silnie zaciskające ciśnienie skał
(d) Pęczniejące skały: chemicznie w zależności od
obecności wody
P. Średnie ciśnienie pęczniejącej skały
R. Silne ciśnienie pęczniejącej skały
2,5
5,0
SRF
Rc/σ1
> 200
200 – 10
10 – 5
5 – 2,5
< 2,5
Rr/σ1
> 13
13 – 0,66
2,5
1,0
0,66 – 0,33 0,5 – 2
0,33 – 0,16
5 – 10
< 0,16
10 – 20
5 – 10
10 – 20
5 – 10
10 – 20
2. Dla silnie anizotropowego pola
naprężenia pierwotnego (jeśli
zmierzone): w przy-padku, gdy
dla
5 ≤ σ1/σ3 ≤ 10, należy zredukować
Rc i Rr do 0,8 Rr. Dla
σ1/σ3 > 10, zredukować Rc i Rr do
0,6 Rc i 0,6 Rr, gdzie: Rc =
wytrzymałość skały na
jednoosiowe ściskanie,
Rr = wytrzymałość na rozciąganie
(metoda obciążania punktowego),
σ1 i σ3 = max. i min. napręż.
główne.
3. Na podstawie kilku zanotowanych
przypadków, gdzie głębokość
położenia sklepienia wyrobiska
jest mniejsza niż rozpiętość wyrobiska, sugeruje się zwiększyć SRF
z 2,5 do 5 (pkt. H).
Dodatkowy komentarz dotyczący korzystania z tablicy:
W procedurze szacowania wartości Q, poza danymi zawartymi w tabelach należy uwzględnić następujące wskazówki:
1. Jeżeli rdzeń wiertniczy nie jest dostępny, RQD powinno być oszacowane na pod-stawie ilości spękań na jednostkową
objętość Jv, RQD = 115-3,3 Jv, dla 4,5 < Jv < 35, a w górotworze nie występują wypełnienia ilaste.
2.
Na wskaźnik Jn często mogą wpływać foliacja, rozwarstwienie, złupkowacenie, warstwowanie czy kliważ. Jeśli te
równoległe nieciągłości są silnie rozwinięte, wówczas należy je traktować jako jeden system spękań. W przypadku mniej
intensywnych spękań tego typu, należy je traktować jako nieregularne.
3. Wskaźnik Jr oraz Ja powinny uwzględniać najsłabszy, wyróżniający się system spękań, w tym spękań wypełnionych iłem.
Jednakże, gdy system spękań o minimalnej wartości (Jr/Ja) jest korzystnie zorientowany z punktu widzenia stateczności wyrobiska,
wówczas inny system spękań, może się okazać mniej korzystny dla stateczności wyrobiska. W takiej sytuacji, w obliczeniach
wartości Q należy uwzględnić wartość współczynnika Jr/Ja dla systemu mniej korzystnego. W istocie, wartość Jr/Ja powinna
nawiązywać do systemu spękań najbardziej narażonego na zainicjowanie zniszczenia (ścinania).
4. Jeżeli w górotworze występują wypełnienia iłowe, w obliczeniach należy przyjmować wskaźnik SRF typowy dla luzującej się
skały. W takich sytuacjach wartość wytrzymałości tej skały uzyskana na zwięzłej próbce nie ma praktycznego znaczenia. Jeśli jednak
spękanie skały jest minimalne i nie obserwuje się wypełnienia szczelin iłem, wówczas wytrzymałość skały wyznaczona na zwięzłej
próbce może opisywać najsłabszy element górotworu i stateczność zależeć będzie od stosunku naprężenia do wytrzymałości skały.
Silnie anizotropowe pole naprężeń jest niekorzystne dla stateczności wyrobisk i należy to wziąć pod uwagę zgodnie z sugestiami
zawartymi w komentarzu (2) dla punktu 6 tablicy.
5. Wytrzymałości na ściskanie i rozciąganie (Rc oraz Rr) skały niespękanej, powinny być określone w warunkach typowych
dla obecnych lub przyszłych warunków in situ, a zwłaszcza w warunkach nasycenia wodą. Zaleca się „konserwatywną” ocenę
wytrzymałości skał, która maleje wraz z rosnącym zawilgoceniem górotworu.
Rozważając związek punktacji Q ze statecznością wyrobiska i parametrami obudowy, Barton i in. (1974) zdefiniowali
dodatkowy parametr, który nazwano wymiarem ekwiwalentnym wyrobiska De. Parametr ten wyznacza się jako stosunek średnicy
s lub wysokości h wyrobiska do wielkości nazwanej współczynnikiem kategorii wyrobiska ESR:
De =
s(lub h )
ESR
Wielkość ESR jest zależna od rodzaju wyrobiska oraz stopnia bezpieczeństwa wymaganego dla zapewnienia jego stateczności
(tablica 2). Graficzna ilustracja zależności wielkości De od wskaźnika Q pozwala z nomogramu wyznaczyć typy obudowy
wyrobiska (rys. 1).
3
Tablica 2
Wielkości współczynnika ESR w klasyfikacji Q (Barton i in. 1974)
Oznaczenie
Rodzaj budowli podziemnej
Wartość
współczynnika
ESR
A
wyrobiska eksploatacyjne
3–5
B
wyrobiska udostępniające, tunele wodne z wyłączeniem
wysoko ciśnieniowych, tunele pilotujące, chodniki budowli
podziemnych znacznych rozmiarów
1,6
magazyny podziemne, podziemne zakłady uzdatniania
wody, drogi i tunele kolejowe o mniejszym znaczeniu,
podziemne zbiorniki wyrównawcze, tunele dojazdowe
(kontrolne)
D
elektrownie podziemne, drogi i tunele o największym
znaczeniu, komory obrony cywilnej, sztolnie
1,0
E
elektrownie jądrowe, stacje kolejowe, komory użytku
publicznego, fabryki, itp.
0,8
niezwykle
słaby
bardzo
słaby
100
słaby
dostateczny
ego
skow
2.3
natry
tonu
2.1 m
z be
ą
udow
z ob
wraz
i
m
1.5 m
ia
kotw
1.3 m
iędzy
pom
1.2
m
łość
g
e
l
od
dobry
bardzo
dobry
niezwykle
b. dobry
wyjątk.
b. dobry
20
2.5 m
m
1.7m
10
7.0
1.0 m
20
5.0
(9)
(7)
(8)
(6)
(5)
(4)
(3)
(2)
(1)
4.0 m
0
12
1.3 m
2
mm
0
3.0
i
3.0 m
iam
otw
k
zy
2.0 m
ęd
mi
o
p
ści
gło
1.5 m
e
l
od
40
15
m
m
50
5
m
m
m
m
m
0m
25
m
m
10
90
Szerokość lub wysokość wyrobiska [m]
ESR
wyjątkowo
słaby
50
1,3
2.4
1.5
Długość kotwi [m] dla ESR = 1
C
1.0 m
1
0.001
0.004 0.01
0.04 0.1
0.4
1
Jakość górotworu Q =
4
RQD
Jn
10
Jr
Ja
40
100
400
1000
Jw
SRF
Typy obudowy:
1) bez obudowy
2) miejscowe kotwienie
3) regularne kotwienie
4) regularne kotwienie ze wzmocnienieniem betonem natryskowym (40 - 50 mm)
5) wzmocniony beton natryskowy (50 - 90 mm) i kotwienie
6) wzmocniony beton natryskowy (90 - 120 mm) i kotwienie
7) wzmocniony beton natryskowy (120 - 150 mm) i kotwienie
8) wzmocniony beton natryskowy (> 150 mm) z dodatkowym wzmocnieniem żebrowym i kotwienie
9) obudowa betonowa
Rys. 1. Diagram dla wyznaczania typu obudowy na podstawie systemu Q
(Grimstad i Barton 1993)
Barton i in. (1980) podali zależność pomiędzy wskaźnikiem Q a modułem sprężystości górotworu EM w postaci:
EM =25log Q
4
Zależności istnieją także pomiędzy punktacjami Q i RMR. Z przedstawionego poniżej zestawienia (tablica 3)
opracowanego przez Goela i in. (1996) wynika, że najkorzystniejszą korelację wykazuje zależność Rutledga i Prestona
(1978). Nie należy jednak posługiwać się tymi zależnościami bezkrytyczne, w dużym stopniu zależą one bowiem od
warunków geologiczno-górniczych, w których przeprowadzono badania.
Tablica 3
Porównanie zależności pomiędzy punktacjami RMR i Q (Goel i in. 1996)
Autor (-rzy)
Bieniawski (1984)
Postać zależności
RMR = 9lnQ + 44
RMR dla
Q = 10,6
Q dla
RMR = 49
Współczynnik
korelacji
65
1,7
0,77
Rutledge i Preston (1978)
RMR = 5,9lnQ + 43
57
2,76
0,81
Moreno (1980, w Goel i in. 1996)
RMR = 5,4lnQ + 55,2
67,9
0,31
0,55
Cameron-Clarke i Budavari (1981)
RMR = 5lnQ + 60,8
72,6
1,98
duży rozrzut
Abad i in. (1983)
RMR = 10,5lnQ + 41,8
66,5
1,98
0,66
Klasyfikacja GSI
Klasyfikacja GSI (ang. Geological Strenght Index) została opracowana w celu oszacowania wytrzymałości
górotworu w zróżnicowanych warunkach (Hoek 1995; Hoek i in. 1995). W założeniach klasyfikacji przyjęto, że
wytrzymałość górotworu zależy od właściwości fragmentów (bloków) skalnych i ich możliwości przemieszczania się
w różnych warunkach naprężenia i deformacji. Możliwości ruchu bloków skalnych jest skrępowana geometrią bloku
oraz chropowatością stykających się powierzchni.
Punktacja GSI jest wyznaczana z nomogramów (np. Hoek 1999). Punktację ta można również obliczyć z
zależności korelacyjnej z punktacją RMR89:
GSI = RMR89 − 5
dla oceny zawodnienia (RMR89) – 15 pkt oraz orientacji spękań – 0 pkt.
W przypadku górotworu o korzystniejszych właściwościach (GSI > 25) punktacja GSI jest równoważna punktacji RMR76
przy założeniach, że ocena warunków zawodnienia wynosi 10 pkt, a orientacji spękań – 0 pkt.
Autorzy klasyfikacji GSI podkreślają, że dla GSI < 25 klasyfikacja RMR nie daje poprawnych wskazań. W takich
warunkach GSI powinno być wyznaczone z nomogramów.
[1] Afrouz A. A. 1992: Rock mass classification systems and modes of ground failure. CRC Press, London.
5