scenariusze testowe

Transkrypt

scenariusze testowe
SCENARIUSZ TESTOWY:
SPU 1.0 – Definiowanie zdarzeń
SPU 1.1 – Definiowanie zdarzeń – Nowe zdarzenie
SPU 1.2 - Definiowanie zdarzeń – Nowe zdarzenie - niepowodzenie
SPU 1.3 - Definiowanie zdarzeń – wygenerowanie pliku iCal
SPU 1.3 - Definiowanie zdarzeń – wygenerowanie pliku iCal –
niepowodzenie
SPU 2.0 – Wczytanie zdarzenia
SPU 2.1 – Wybranie nieodpowiedniego formatu pliku
SPU 3.0 – Czyszczenie listy z danymi
SPU 4.0 – Usunięcie, edycja
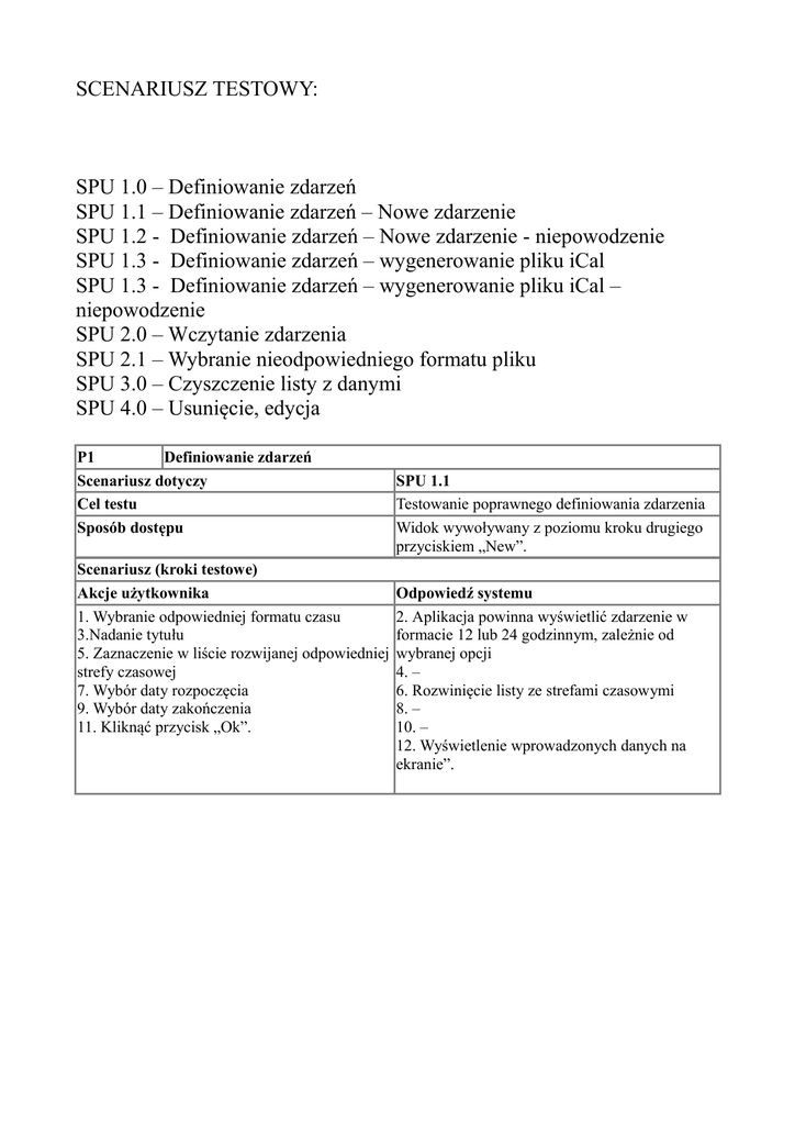
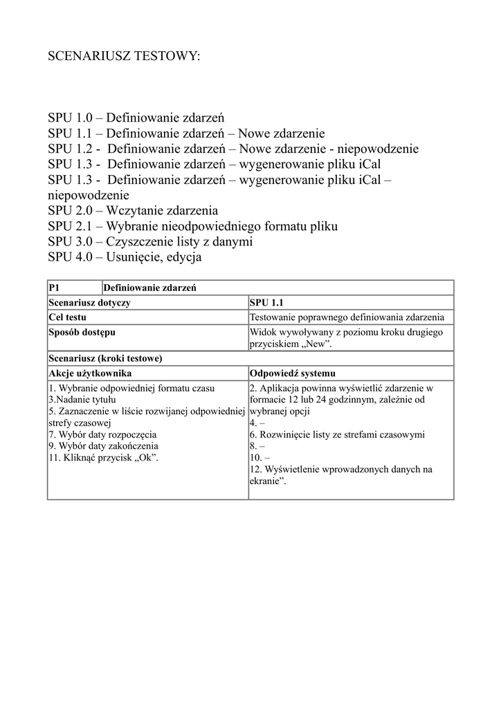
P1
Definiowanie zdarzeń
Scenariusz dotyczy
Cel testu
Sposób dostępu
Scenariusz (kroki testowe)
Akcje użytkownika
1. Wybranie odpowiedniej formatu czasu
3.Nadanie tytułu
5. Zaznaczenie w liście rozwijanej odpowiedniej
strefy czasowej
7. Wybór daty rozpoczęcia
9. Wybór daty zakończenia
11. Kliknąć przycisk „Ok”.
SPU 1.1
Testowanie poprawnego definiowania zdarzenia
Widok wywoływany z poziomu kroku drugiego
przyciskiem „New”.
Odpowiedź systemu
2. Aplikacja powinna wyświetlić zdarzenie w
formacie 12 lub 24 godzinnym, zależnie od
wybranej opcji
4. –
6. Rozwinięcie listy ze strefami czasowymi
8. –
10. –
12. Wyświetlenie wprowadzonych danych na
ekranie”.
P2
Definiowanie zdarzeń – Nowe zdarzenie - niepowodzenie
Scenariusz dotyczy
SPU 1.2
Cel testu
Niepowodzenie dodania nowego zdarzenia
Sposób dostępu
Nie zostało dodane zdarzenie, użytkownik
wprowadził niewłaściwe dane lub pozostawił
puste pola
Scenariusz (kroki testowe)
Akcje użytkownika
Odpowiedź systemu
1. Pozostawienie pustych pól tytułu lub daty
2. Wyświetlenie komunikatu z odpowiednim
zakończenia
błędem
3. Wybranie daty terminu końca zdarzenia która, 4. Wyświetlenie komunikatu z błędem
jest wcześniej niż data początku.
5.-
P3
Definiowanie zdarzeń – Nowe zdarzenie – wygenerowanie pliku iCal
Scenariusz dotyczy
SPU 1.3
Cel testu
Testowanie generowania pliku iCal
Sposób dostępu
Wygenerowanie nowego pliku w formacie iCal.
Scenariusz (kroki testowe)
Akcje użytkownika
Odpowiedź systemu
1. Użytkownik chce wygenerować plik ze
2. Aplikacja generuje plik w formacie iCal
zdefiniowanymi wcześniej danymi poprzez
naciśnięcie przycisku „generate iCal”
P4
Definiowanie zdarzeń – wygenerowanie pliku iCal - niepowodzenie
Scenariusz dotyczy
SPU 1.4
Cel testu
Testowanie niepowodzenia generatora
Sposób dostępu
Plik nie został wygenerowany.
Scenariusz (kroki testowe)
Akcje użytkownika
Odpowiedź systemu
1. 2. Aplikacja winna wyświetlić informację o
niepowodzeniu czynności, zaprezentować ekran
główny, aby można było ponownie zdefiniować
dane
P5
Definiowanie zdarzeń – wczytanie zdarzenia
Scenariusz dotyczy
SPU 2.0
Cel testu
Testowanie poprawnego wczytania zdarzenia
Sposób dostępu
Widok wywoływany z poziomu kroku drugiego
przyciskiem „Load”
Scenariusz (kroki testowe)
Akcje użytkownika
Odpowiedź systemu
1. Użytkownik chce wczytać zdarzenia w
2. Wyświetlenie ekranu pozwalającego wybrać
odpowiednim formacie poprzez naciśnięcie
odpowiedni plik
„Load”
4. Załadowanie pliku do generatora
3.Wybranie pliku i naciśnięcie przycisku
„Wybierz”
P6
Definiowanie zdarzeń – wczytanie zdarzenia – nieodpowiedni format
Scenariusz dotyczy
SPU 2.1
Cel testu
Testowanie wybrania nieodpowiedniego formatu
pliku
Sposób dostępu
Widok wywoływany z poziomu kroku drugiego
przyciskiem „Load”
Scenariusz (kroki testowe)
Akcje użytkownika
Odpowiedź systemu
1. Wybranie nieodpowiedniego formatu
2.Wyświetlenie informacji o nieodpowiednim
formacie pliku, aplikacja powinna pozwolić
użytkownikowi wybrać format ponownie nie
wychodząc z ekranu wybiera pliku
P7
Czyszczenie listy
Scenariusz dotyczy
Cel testu
Sposób dostępu
Scenariusz (kroki testowe)
Akcje użytkownika
1. Wyczyszczenie wszystkich wprowadzonych
danych
3. Naciśnięcie przycisku ok
P8
Usunięcie, edycja
Scenariusz dotyczy
Cel testu
Sposób dostępu
Scenariusz (kroki testowe)
Akcje użytkownika
1. Wybranie przycisku edit
3. Naciśnięcie przycisku delete
SPU 3.0
Testowanie czyszczenia wszystkich danych
Widok wywoływany z poziomu kroku drugiego
przyciskiem „Clear”
Odpowiedź systemu
2.Wyświetlenie zapytania czy na pewno
wyczyścić wszystkie dane
4. Wyczyszczenie wszystkich zdefiniowanych
wcześniej zdarzeń
SPU 3.0
Testowanie mozliwości edycji lub usunięcia
pojedynczego zdarzenia
Widok wywoływany przyciskiem „edit”, „delete”
Odpowiedź systemu
2.Możliwość ponownego wprowadzenia danych,
z pozostawieniem zdefiniowanych już wcześniej
4. Usunięcie wybranego zdarzenia, poprzedzone
wcześniejszym komunikatem upewniającym, w
przypadku, naciśnięcia przycisku wstecz powrót
do poprzedniego ekranu