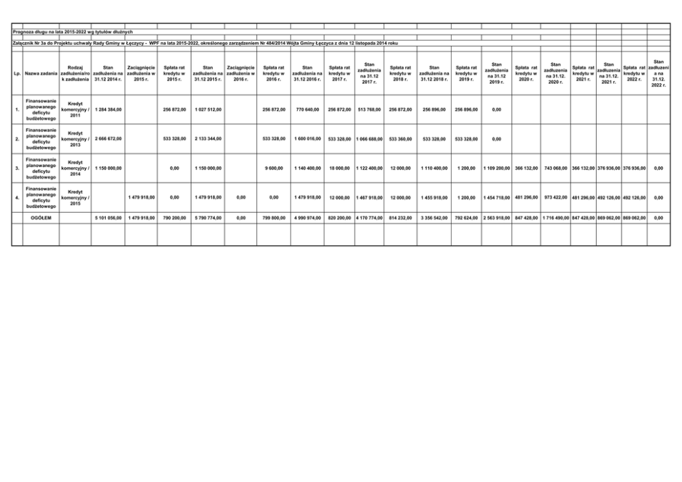
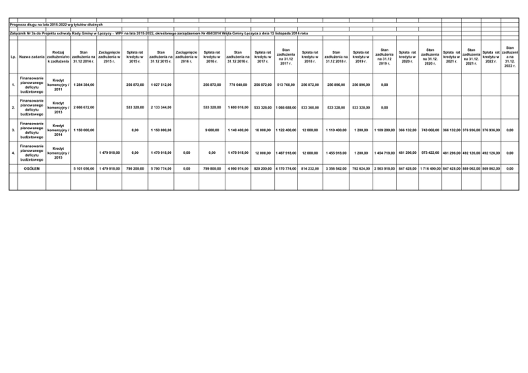
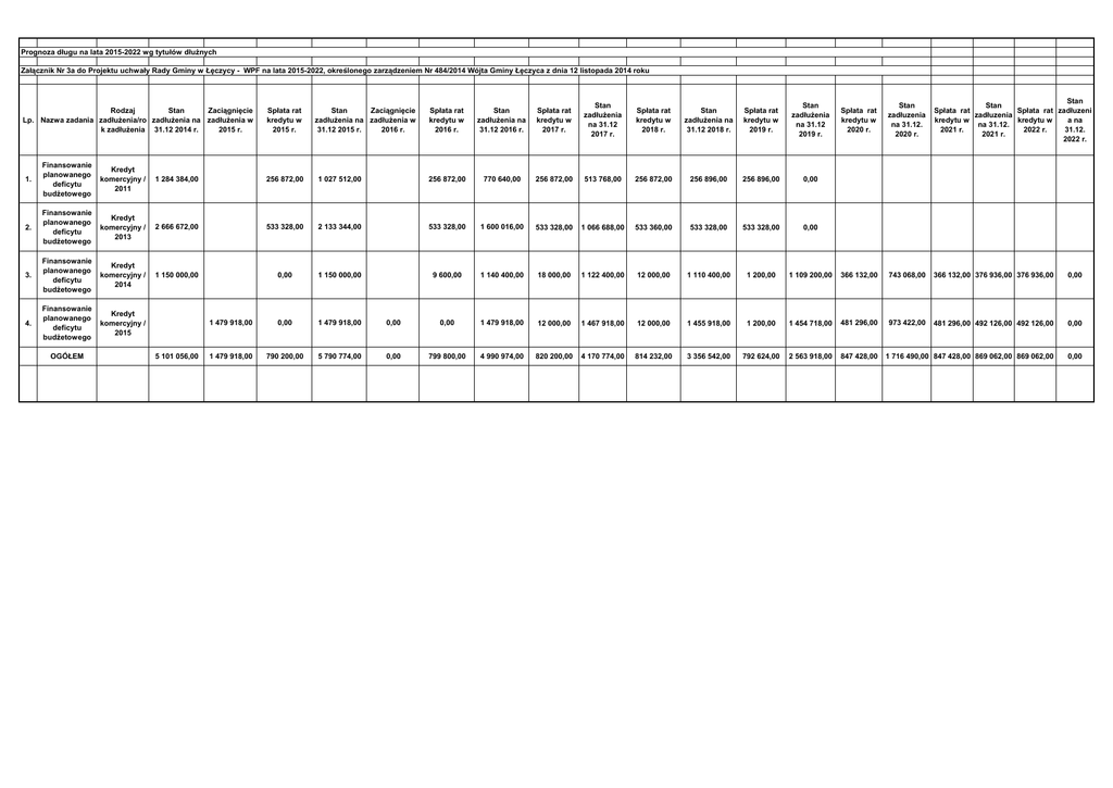
Lp. Nazwa zadania Rodzaj zadłużenia/ro k zadłużenia Stan

Transkrypt

Lp. Nazwa zadania Rodzaj zadłużenia/ro k zadłużenia Stan
Prognoza długu na lata 2015-2022 wg tytułów dłużnych
Załącznik Nr 3a do Projektu uchwały Rady Gminy w Łęczycy - WPF na lata 2015-2022, określonego zarządzeniem Nr 484/2014 Wójta Gminy Łęczyca z dnia 12 listopada 2014 roku
Rodzaj
Stan
Zaciągnięcie
Lp. Nazwa zadania zadłużenia/ro zadłużenia na zadłużenia w
k zadłużenia 31.12 2014 r.
2015 r.
Spłata rat
kredytu w
2015 r.
Stan
Zaciągnięcie
zadłużenia na zadłużenia w
31.12 2015 r.
2016 r.
Spłata rat
kredytu w
2016 r.
Stan
zadłużenia na
31.12 2016 r.
Spłata rat
kredytu w
2017 r.
Stan
zadłużenia
na 31.12
2017 r.
Spłata rat
kredytu w
2018 r.
Stan
zadłużenia na
31.12 2018 r.
Spłata rat
kredytu w
2019 r.
Stan
zadłużenia
na 31.12
2019 r.
Spłata rat
kredytu w
2020 r.
Stan
zadłuzenia
na 31.12.
2020 r.
Stan
Stan
Spłata rat
Spłata rat zadłuzeni
zadłuzenia
kredytu w
kredytu w
a na
na 31.12.
2021 r.
2022 r.
31.12.
2021 r.
2022 r.
1.
Finansowanie
planowanego
deficytu
budżetowego
Kredyt
komercyjny /
2011
1 284 384,00
256 872,00
1 027 512,00
256 872,00
770 640,00
256 872,00
513 768,00
256 872,00
256 896,00
256 896,00
0,00
2.
Finansowanie
planowanego
deficytu
budżetowego
Kredyt
komercyjny /
2013
2 666 672,00
533 328,00
2 133 344,00
533 328,00
1 600 016,00
533 328,00
1 066 688,00
533 360,00
533 328,00
533 328,00
0,00
3.
Finansowanie
planowanego
deficytu
budżetowego
Kredyt
komercyjny /
2014
1 150 000,00
0,00
1 150 000,00
9 600,00
1 140 400,00
18 000,00
1 122 400,00
12 000,00
1 110 400,00
1 200,00
1 109 200,00
366 132,00
743 068,00
366 132,00 376 936,00 376 936,00
0,00
4.
Finansowanie
planowanego
deficytu
budżetowego
Kredyt
komercyjny /
2015
1 479 918,00
0,00
1 479 918,00
0,00
0,00
1 479 918,00
12 000,00
1 467 918,00
12 000,00
1 455 918,00
1 200,00
1 454 718,00
481 296,00
973 422,00
481 296,00 492 126,00 492 126,00
0,00
1 479 918,00
790 200,00
5 790 774,00
0,00
799 800,00
4 990 974,00
820 200,00
4 170 774,00
814 232,00
3 356 542,00
792 624,00
2 563 918,00
847 428,00
1 716 490,00 847 428,00 869 062,00 869 062,00
0,00
OGÓŁEM
5 101 056,00