nazwa jednostki

Transkrypt

nazwa jednostki
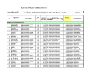
BUDYNKI WSPÓLNOT MIESZKANIOWYCH
nazwa jednostki:
lp.
WSPÓLNOTY MIESZKANIOWE ZARZĄDZANE PRZEZ PGKiM Sp. z o.o. w KONINIE
Adres budynku:
Konin, ul.
nazwa budynku
rok
budowy
Powierzchni
zabezpieczenia
a uŜytkowa (znane zabiezpieczenia p-poŜ i przeciw
lokali / m2/ kradzieŜowe)
(2)
Wartość
szacunkowa
Tabela nr 3
lokalizacja (adres)
Budynki Wspólnot Mieszkaniowych
1
Broniewskiego 2
Budynek mieszkalno-uŜytkowy
1964
2 707,95 kraty na oknach piwnic, domofony
5 415 900,00 Konin, ul.Broniewskiego 2
2
Broniewskiego 3
Budynek mieszkalny
1965
2 219,04 kraty na oknach piwnic, domofony
4 438 080,00 Konin, ul.Broniewskiego 3
3
Broniewskiego 6
Budynek mieszkalno-uŜytkowy
1965
2 728,94 kraty na oknach piwnic, domofony
5 457 880,00 Konin, ul.Broniewskiego 6
4
Solskiego 2
Budynek mieszkalny
1965
2 229,54 kraty na oknach piwnic, domofony
4 459 080,00 Konin, ul.Solskiego 2
5
Kosmonautów 6
Budynek mieszkalny
1965
2 232,15 kraty na oknach piwnic, domofony
4 464 300,00 Konin, ul.Kosmonautów 6
6
Kosmonautów 8
Budynek mieszkalny
1966
2 230,59 kraty na oknach piwnic, domofony
4 461 180,00 Konin, ul.Kosmonautów 8
7
Sybiraków 2
Budynek mieszkalno-uŜytkowy
1964
2 695,52 kraty na oknach piwnic, domofony
5 391 040,00 Konin, ul.Sybiraków 2
8
Sybiraków 4
Budynek mieszkalno-uŜytkowy
1964
2 693,48 kraty na oknach piwnic, domofony
5 386 960,00 Konin, ul.Sybiraków 4
9
Tuwima 3
Budynek mieszkalny
1967
2 986,28 kraty na oknach piwnic, domofony
5 972 560,00 Konin, ul.Tuwima 3
10
Powst. Wlkp. 4
Budynek mieszkalny
1961
1 843,78 kraty na oknach piwnic, domofony
3 687 560,00 Konin, ul.Powst. Wlkp. 4
11
Powst. Wlkp. 12
Budynek mieszkalny
1962
1 848,80 kraty na oknach piwnic, domofony
3 697 600,00 Konin, ul.Powst. Wlkp. 12
12
Wyszyńskiego 7
Budynek mieszkalno-uŜytkowy
1973
4 042,76 kraty na oknach piwnic, domofony
8 085 520,00 Konin, ul.Wyszyńskiego 7
13
Wyszyńskiego 9
Budynek mieszkalno-uŜytkowy
1974
4 036,02 suche piony ppoŜ., domofony
8 072 040,00 Konin, ul.Wyszyńskiego 9
14
Wyszyńskiego 15
Budynek mieszkalno-uŜytkowy
1972
4 785,00 suche piony ppoŜ., domofony
9 570 000,00 Konin, ul.Wyszyńskiego 15
15
Sosnowa 5
Budynek mieszkalno-uŜytkowy
1976
4 306,19 kraty na oknach piwnic, domofony
8 612 380,00 Konin, ul.Sosnowa 5
16
Zakole 14
Budynek mieszkalno-uŜytkowy
1977
3 236,65 kraty na oknach piwnic, domofony
6 473 300,00 Konin, ul.Zakole 14
17
Matejki 1
Budynek mieszkalny
1940
895,50 kraty na oknach piwnic, domofony
18
Kotłowa 2
Budynek mieszkalno-uŜytkowy
1954
1 036,75 kraty na oknach piwnic, domofony
2 073 500,00 Konin, ul.Kotłowa 2
19
Dworcowa 6
Budynek mieszkalno-uŜytkowy
1960
1 830,44 kraty na oknach piwnic, domofony
3 660 880,00 Konin, ul.Dworcowa 6
20
Energetyka 1
Budynek mieszkalny
1953
1 020,28 kraty na oknach piwnic, domofony
2 040 560,00 Konin, ul.Energetyka 1
21
Energetyka 2
Budynek mieszkalny
1957
1 751,85 kraty na oknach piwnic, domofony
3 503 700,00 Konin, ul.Energetyka 2
22
Energetyka 4
Budynek mieszkalny
1954
1 911,18 kraty na oknach piwnic, domofony
3 822 360,00 Konin, ul.Energetyka 4
23
Energetyka 6
Budynek mieszkalny
1956
1 729,94 kraty na oknach piwnic, domofony
3 459 880,00 Konin, ul.Energetyka 6
24
Al. 1-go Maja 8
Budynek mieszkalno-uŜytkowy
1957
1 664,99 kraty na oknach piwnic, domofony
3 329 980,00 Konin, ul.Al. 1-go Maja 8
25
Al. 1-go Maja 12
Budynek mieszkalno-uŜytkowy
1958
1 900,64 kraty na oknach piwnic, domofony
3 801 280,00 Konin, ul.Al. 1-go Maja 12
26
Al. 1-go Maja 14
Budynek mieszkalno-uŜytkowy
1958
1 892,76 kraty na oknach piwnic, domofony
3 785 520,00 Konin, ul.Al. 1-go Maja 14
27
Al. 1-go Maja 19
Budynek mieszkalny
1964
2 678,50 kraty na oknach piwnic, domofony
5 357 000,00 Konin, ul.Al. 1-go Maja 19
28
Górnicza 1
Budynek mieszkalno-uŜytkowy
1953
1 899,28 kraty na oknach piwnic, domofony
3 798 560,00 Konin, ul.Górnicza 1
29
Górnicza 2
Budynek mieszkalny
1954
1 672,16 kraty na oknach piwnic, domofony
3 344 320,00 Konin, ul.Górnicza 2
30
Górnicza 5
Budynek mieszkalny
1953
1 881,90 kraty na oknach piwnic, domofony
3 763 800,00 Konin, ul.Górnicza 5
31
Górnicza 6
Budynek mieszkalny
1963
1 656,48 kraty na oknach piwnic, domofony
3 312 960,00 Konin, ul.Górnicza 6
32
Górnicza 7
Budynek mieszkalny
1956
861,29 kraty na oknach piwnic, domofony
1 722 580,00 Konin, ul.Górnicza 7
1 791 000,00 Konin, ul.Matejki 1
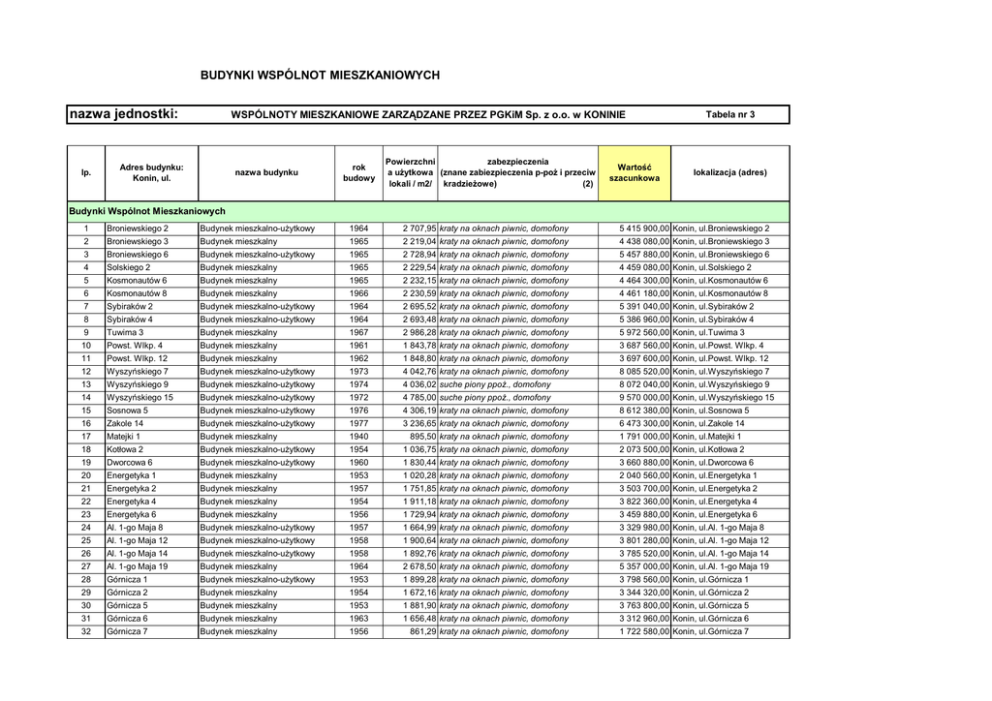
lp.
Adres budynku:
Konin, ul.
nazwa budynku
rok
budowy
Powierzchni
zabezpieczenia
a uŜytkowa (znane zabiezpieczenia p-poŜ i przeciw
(2)
lokali / m2/ kradzieŜowe)
Wartość
szacunkowa
lokalizacja (adres)
33
Górnicza 8
Budynek mieszkalny
1957
1 708,53 kraty na oknach piwnic, domofony
3 417 060,00 Konin, ul.Górnicza 8
34
Górnicza 10
Budynek mieszkalny
1957
1 703,94 kraty na oknach piwnic, domofony
3 407 880,00 Konin, ul.Górnicza 10
35
Kościuszki 42/44
Budynek mieszkalny
1940
36
Świętojańska 6
Budynek mieszkalny
1981
1 138,20 kraty na oknach piwnic
2 276 400,00 Konin, ul.Świętojańska 6
37
Świętojańska 18
Budynek mieszkalno-uŜytkowy
1981
1 794,00 kraty na oknach piwnic
3 588 000,00 Konin, ul.Świętojańska 18
38
Nadrzeczna 9
Budynek mieszkalny + drwalniki
1988
1 738,15
39
40
41
42
Kilińskiego 4
Kilińskiego 6
Kilińskiego 8
Nowa 7
Budynek mieszkalny
Budynek mieszkalny
Budynek mieszkalny
Budynek mieszkalno-uŜytkowy
1958
1958
1980
43
Dmowskiego 1
Budynek mieszkalno-uŜytkowy
1940
1 034,49
44
Kopernika 1
Budynek mieszkalny
1950
394,40
788 800,00 Konin, ul.Kopernika 1
45
A. Krajowej 10
Budynek mieszkalny
1940
467,51
935 020,00 Konin, ul.A. Krajowej 10
46
A. Krajowej 11
Budynek mieszkalny
1940
374,30
47
Przemysłowa 6
1973
48
3 Maja 43
1910
49
Sadowa 9
Budynek mieszkalny
Budynek mieszkalno-uŜytkowy +
drwalniki
Budynek mieszkalny
50
3 Maja 52
Budynek mieszkalno-uŜytkowy +
drwalniki
1940
151,19
302 380,00 Konin, ul.3 Maja 52 i 52 a
51
3 Maja 51
1940
200,67
401 340,00 Konin, ul.3 Maja 51 i 51 a
52
3 Maja 74
Budynek mieszkalno-uŜytkowy +
drwalniki
Budynek mieszkalny
1960
131,24
262 480,00 Konin, ul.3 Maja 74
53
Ar.Krajowej 5/7
Budynek mieszkalny
1940
233,14
466 280,00 Konin, ul.Ar. Krajowej 5/7
54
Kościuszki 21
Budynek mieszkalny + drwalniki
1920
309,00
618 000,00 Konin, ul.Kościuszki 21
1988
744,51
1 489 020,00 Konin, ul.Kościuszki 42/44
3 476 300,00 Konin, ul.Nadrzeczna 9
653,81
681,29
721,26
813,83 kraty na oknach piwnic
1 307 620,00
1 362 580,00
1 442 520,00
1 627 660,00
Konin, ul.Kilińskiego 4
Konin, ul.Kilińskiego 6
Konin, ul.Kilińskiego 8
Konin, ul.Nowa 7
2 068 980,00 Konin, ul.Dmowskiego 1
748 600,00 Konin, ul.A. Krajowej 11
2 399,42 kraty na oknach piwnic, domofony
4 798 840,00 Konin, ul.Przemysłowa 6
849,82
1 699 640,00 Konin, ul.3 Maja 43 i 43a
1 263,42 kraty na oknach i drzwiach
2 526 840,00 Konin, ul. Sadowa 9
55
Kościuszki 11
Budynek mieszkalny
1940
262,22
524 440,00 Konin, ul.Kościuszki 11
56
Ar. Krajowej 2
Budynek mieszkalny
1940
332,05
664 100,00 Konin, ul.Ar. Krajowej 2
57
Ar. Krajowej 4
Budynek mieszkalny
1940
340,42
680 840,00 Konin, ul.Ar. Krajowej 4
58
Ar. Krajowej 8
Budynek mieszkalny
1940
356,44
712 880,00 Konin, ul.Ar. Krajowej 8
59
Ar. Krajowej 9
Budynek mieszkalny
1940
392,05
61
Piłsudskiego 6
Budynek mieszkalny
62
Ar. Krajowej 1/3
Budynek mieszkalny
244,59
489 180,00 Konin, ul.Ar. Krajowej 1/3
63
Ar. Krajowej 13
Budynek mieszkalny
384,12
768 240,00 Konin, ul.Ar. Krajowej 13
64
PCK 16
Budynek mieszkalny
260,44
520 880,00 Konin, ul.PCK 16
Razem budynki wspólnot w zarządzaniu PGKiM Sp. z o.o.
784 100,00 Konin, ul.Ar. Krajowej 9
1 249,20 kraty na oknach piwnic, domofony
1965
96 434,28
2 498 400,00 Konin, ul.Piłsudskiego 6
0,00
192 868 560,00
Wyjaśnienie: budynki mieszkalno-uŜytkowe -w budynkach tych znajdują się lokale uŜytkowe,ale w myśl przepisów PKOB są to budynki mieszaklne