Klub partnerow shell rimula regulamin 2009_OK.indd

Transkrypt

Klub partnerow shell rimula regulamin 2009_OK.indd
Regulamin I edycji programu
KLUB PARTNERÓW SHELL RIMULA
I. Zasady ogólne programu KLUB PARTNERÓW SHELL RIMULA
Regulamin organizowanej przez Shell I edycji programu Klub Partnerów Shell Rimula (zwanego dalej
„Programem”), przeznaczonego dla Stałych Klientów Firm Dystrybuujących oleje Shell, jest dokumentem
zawierającym wszystkie warunki uczestnictwa w tym Programie oraz ustala zasady obowiązujące pomiędzy
Uczestnikiem Programu a Shell Polska Sp. z o.o. (zwaną dalej „Shell”), będącą właścicielem i organizatorem
Programu.
II. Warunki przystąpienia
1. Przystąpienie do Programu jest dobrowolne, jednak może nastąpić wyłącznie na zaproszenie Shell.
2. Do Programu może przystąpić przedsiębiorca (zarówno osoba prowadząca działalność gospodarcza, jak i spółka
cywilna oraz spółka prawa handlowego) prowadzący warsztat samochodowy lub firmę transportową, który spełnia
łącznie następujące warunki:
•
•
•
•
dokonuje zakupów produktów Shell u Autoryzowanego Dystrybutora Shell,
otrzyma zaproszenie do wstąpienia do Klubu Partnerów Shell Rimula,
wypełni Formularz do I edycji Programu Klub Partnerów Shell Rimula („Formularz”),
zarekomenduje przedsiębiorcom wymienionym przez siebie w Formularzu (dalej: „Zaprzyjaźniona
Firma”) produkty Shell,
• nie promuje produktów konkurencyjnych w stosunku do Shell.
3. W imieniu Uczestnika czynności w ramach Programu może podejmować osoba wskazana przez niego
w Formularzu.
III. Jak zbierać punkty
1. Uczestnik otrzymywać będzie punkty – Muszle w zamian za zakupy produktów marki Shell dokonane
u Autoryzowanego Dystrybutora Shell przez Zaprzyjaźnione Firmy. Zebrane Muszle po zakończeniu
I edycji Programu lub w trakcie jej trwania Uczestnik będzie mógł zamienić na nagrody.
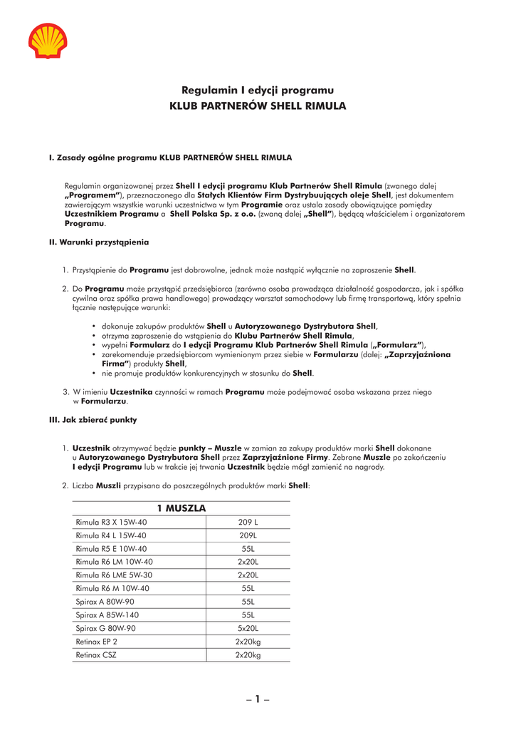
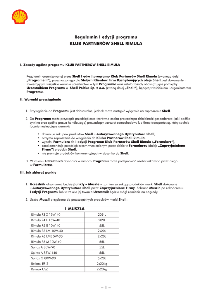
2. Liczba Muszli przypisana do poszczególnych produktów marki Shell:
1 MUSZLA
Rimula R3 X 15W-40
209 L
Rimula R4 L 15W-40
209L
Rimula R5 E 10W-40
55L
Rimula R6 LM 10W-40
2x20L
Rimula R6 LME 5W-30
2x20L
Rimula R6 M 10W-40
55L
Spirax A 80W-90
55L
Spirax A 85W-140
55L
Spirax G 80W-90
5x20L
Retinax EP 2
2x20kg
Retinax CSZ
2x20kg
–1–
Spirax AX 80W-90
55L
Spirax GX 80W
55L
Tellus 46
5x20L
Tellus 68
5x20L
Tellus T 46
4x20L
Tellus T 68
4x20L
Retinax HD 2
20kg
Retinax LX 2
20kg
Donax TD 10W-30
5x20L
3 MUSZLE
Rimula R5 E 10 W-40
209L
Spirax G 80W-90
209L
Spirax A 80W-90
209L
Spirax A 80W-140
209L
Spirax ASX 75W-90
55L
Spirax GSX 75W-80
3x20L
4 MUSZLE
Rimula R6 M 10W-40
209L
Spirax AX 80W-90
209L
Spirax GX 80W
209L
Donax TD 10W-30
209L
5 MUSZLI
Rimula R6 LM 10W-40
209L
Rimula R6 LME 5W-30
209L
Retinax HD 2
180kg
Retinax LX 2
180kg
Retinax EP 2
180kg
Spirax ASX 75W-90
209L
Spirax GSX 75W-80
209L
3. Muszle naliczane są Uczestnikowi w terminie do 2 tygodni od dnia dokonania zakupu przez Zaprzyjaźnioną
Firmę.
4. Muszle naliczane są wyłącznie za zakupy dokonane przez Zaprzyjaźnione Firmy w czasie trwania I edycji
Programu, określonym w pkt IV poniżej.
5. Punkty Uczestnika naliczane będą wyłącznie za te produkty marki Shell zakupione u Autoryzowanego
Dystrybutora Shell, za które nastąpiła terminowa zapłata przez Zaprzyjaźnioną Firmę do Dystrybutora.
IV. Czas trwania I edycji Programu
I edycja programu KLUB PARTNERÓW SHELL RIMULA trwa od 7 grudnia 2009 r. do 30 kwietnia 2010 r.
–2–
V. Lista nagród
Lista nagród przypisanych za określoną ilość punktów – Muszli:
NAGRODA
ILOŚĆ MUSZLI
koszulka polo + czapka
1
pompka
1
sztormiak np. Rimula
1
zestaw 2 lampek czołowych
1
torba Shell
1
kubek Ferrari
1
koc polarowy Rimula
1
stalowy termos Schwarzwolf
2
4l Helix Plus/Helix Diesel Plus
2
kombinezon
2
skórzany portfel
2
polar
2
bezrękawnik
2
USB 8 GB
2
kurtka z odblaskami
3
Victorinox Rescue Tool
3
USB 16 GB
3
kurtka Rimula
3
4l Helix Ultra/Helix Diesel Ultra
3
parasol Ferrari Golf Black
4
Multitool Leatherman Fuse
4
koszulka polo Ferrari
4
torba sportowa Ferrari
5
multitool Leatherman Wave New
5
alkomat CA 2000 professional
5
odtwarzacz MP 4 Philips 8 GB
6
CB radio President Taylor III ASC
7
dres męski Ferrari
8
przenośny odtwarzacz DVD
9
torba Ferrari na kółkach
10
konsola Sony PlayStation 3
15
kino domowe
15
weekend w SPA dla 2 osób
20
smarownica pneumatyczna
20
mobilny zestaw olejowy
25
pneumatyczny klucz do kół
25
telefon HTC Touch PRO
30
Szczegółowy opis nagród znajduje się w katalogu nagród Programu, dostępnym u Autoryzowanych
Dystrybutorów Shell oraz w Shell Polska Sp. z o.o. pod adresem [email protected]
–3–
1. W przypadku niedostępności u producenta określonych nagród, lista nagród może ulec zmianie.
Uczestnik zostanie poinformowany o takim fakcie w ciągu 2 tygodni od złożenia zamówienia na nagrody
u Autoryzowanego Dystrybutora Shell.
2. W czasie trwania I edycji Programu Shell ma prawo wprowadzać oferty specjalne, polegające m.in. na
możliwości uzyskania dodatkowych Muszli za określone zakupy produktów marki Shell dokonane przez
Zaprzyjaźnione Firmy. Takie oferty specjalne mogą być ograniczone w zakresie czasu, w którym można z nich
skorzystać lub w inny sposób wskazany przez Shell.
VI. Informacja na temat liczby zgromadzonych Muszli
Informację na temat liczby zebranych przez Uczestnika muszli można uzyskać na bieżąco u Autoryzowanego
Dystrybutora Shell, u którego Uczestnik dokonuje zakupów produktów marki Shell.
VII. Odbiór nagród
1. Zamówienia na nagrody należy składać w formie pisemnej do Autoryzowanego Dystrybutora Shell, z którym
Uczestnik współpracuje. Na podstawie informacji uzyskanych od Autoryzowanego Dystrybutora, Shell
w ciągu 30 dni przekaże do tegoż Autoryzowanego Dystrybutora, a ten do Uczestnika, nagrodę zamówioną
przez Uczestnika.
2. W zależności od rodzaju nagrody można je odbierać podczas trwania I edycji Programu lub po jej zakończeniu
w ciągu 30 dni od zakończenia edycji.
a. Lista nagród, które można odbierać na bieżąco podczas trwania I edycji Programu:
•
•
•
•
pompka ręczna,
kombinezon SHELL Rimula,
4-litrowe opakowanie oleju SHELL Helix Plus lub Helix Diesel Plus,
4-litrowe opakowanie oleju SHELL Helix Ultra lub Helix Diesel Ultra.
b. Lista nagród, które można odebrać po zakończeniu I edycji Programu:
• pozostałe nagrody ujęte w pkt. V regulaminu I edycji Programu.
VIII. Postanowienia końcowe
1. Wszelkie konsekwencje podatkowe związane z otrzymanymi nagrodami ponoszą Uczestnicy zgodnie
z powszechnie obowiązującymi przepisami prawa.
2. Shell przysługuje prawo zorganizowania kolejnych edycji Programu. Regulamin kolejnych edycji Programu,
w tym również dostępne nagrody, mogą się różnić od niniejszego Regulaminu.
3. Po zakończeniu czasu I edycji Programu, określonego w pkt IV powyżej, Muszle nie są już naliczane.
–4–