Biocenoza, ekosystem

Transkrypt

Biocenoza, ekosystem
Populacja jest to zbiór organizmów danego gatunku żyjących równocześnie w określonym środowisku i wzajemnie na siebie wpływających.
Cechami populacji są:
a) rozrodczość – wrodzona zdolność do wydawania potomstwa (wzrost liczebności).
b) śmiertelność – liczba osobników umierających w populacji w danym czasie. Przyczynami śmiertelności mogą być:
warunki środowiskowe, czynniki fizjologiczne, konkurencja, działanie drapieżców czy pasożytów.
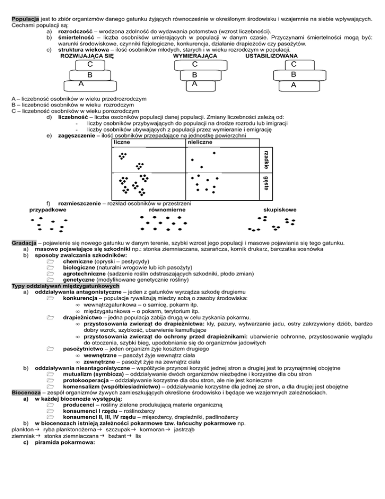
c) struktura wiekowa – ilość osobników młodych, starych i w wieku rozrodczym w populacji.
ROZWIJAJĄCA SIĘ
WYMIERAJĄCA
USTABILIZOWANA
C
B
A
C
B
A
C
B
A
A – liczebność osobników w wieku przedrozrodczym
B – liczebność osobników w wieku rozrodczym
C – liczebność osobników w wieku porozrodczym
d) liczebność – liczba osobników populacji danej populacji. Zmiany liczebności zależą od:
liczby osobników przybywających do populacji na drodze rozrodu lub imigracji
liczby osobników ubywających z populacji przez wymieranie i emigrację
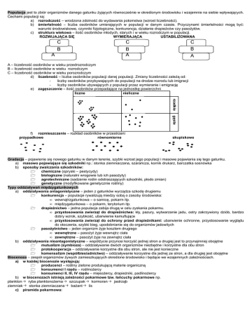
e) zagęszczenie – ilość osobników przepadające na jednostkę powierzchni
liczne
nieliczne
rzadkie
gęste
f) rozmieszczenie – rozkład osobników w przestrzeni
przypadkowe
równomierne
skupiskowe
Gradacja – pojawienie się nowego gatunku w danym terenie, szybki wzrost jego populacji i masowe pojawiania się tego gatunku.
a) masowo pojawiające się szkodniki np.: stonka ziemniaczana, szarańcza, kornik drukarz, barczatka sosnówka
b) sposoby zwalczania szkodników:

chemiczne (opryski – pestycydy)

biologiczne (naturalni wrogowie lub ich pasożyty)

agrotechniczne (sadzenie roślin odstraszających szkodniki, płodo zmian)

genetyczne (modyfikowane genetycznie rośliny)
Typy oddziaływań międzygatunkowych
a) oddziaływania antagonistyczne – jeden z gatunków wyrządza szkodę drugiemu

konkurencja – populacje rywalizują miedzy sobą o zasoby środowiska:
• wewnątrzgatunkowa – o samicę, pokarm itp.
• międzygatunkowa – o pokarm, terytorium itp.

drapieżnictwo – jedna populacja zabija drugą w celu zyskania pokarmu.
• przystosowania zwierząt do drapieżnictwa: kły, pazury, wytwarzanie jadu, ostry zakrzywiony dziób, bardzo
dobry wzrok, szybkość, ubarwienie kamuflujące
• przystosowania zwierząt do ochrony przed drapieżnikami: ubarwienie ochronne, przystosowanie wyglądu
do otoczenia, szybki bieg, upodobnianie się do organizmów jadowitych

pasożytnictwo – jeden organizm żyje kosztem drugiego
• wewnętrzne – pasożyt żyje wewnątrz ciała
• zewnętrzne – pasożyt żyje na zewnątrz ciała
b) oddziaływania nieantagonistyczne – współżycie przynosi korzyść jednej stron a drugiej jest to przynajmniej obojętne

mutualizm (symbioza) – oddziaływanie dwóch organizmów niezbędne i korzystne dla obu stron

protokooperacja – oddziaływanie korzystne dla obu stron, ale nie jest konieczne

komensalizm (współbiesiadnictwo) – oddziaływanie korzystne dla jednej ze stron, a dla drugiej jest obojętne
Biocenoza – zespół organizmów żywych zamieszkujących określone środowisko i będące we wzajemnych zależnościach.
a) w każdej biocenozie występują:

producenci – rośliny zielone produkującą materie organiczną

konsumenci I rzędu – roślinożercy

konsumenci II, III, IV rzędu – mięsożercy, drapieżniki, padlinożercy
b) w biocenozach istnieją zależności pokarmowe tzw. łańcuchy pokarmowe np.
plankton → ryba planktonożerna → szczupak → kormoran → jastrząb
ziemniak → stonka ziemniaczana → bażant → lis
c) piramida pokarmowa:
Ekosystem – populacje roślinne i zwierzęce połączone zależnościami wraz ze środowiskiem nieożywionym.
Biotop – nieożywiona cześć ekosystemu.
BIOCENOZA + BIOTOP = EKOSYSTEM
a) produkcja ekosystemu – zdolność do wytwarzania związków organicznych:

produkcja pierwotna – wytwarzanie związków organicznych przez rośliny

produkcja wtórna – wytwarzanie związków organicznych przez konsumentów
b) obieg materii w ekosystemie:
c) podczas przepływu energii w ekosystemie występują jej straty.
Ekosystemy wodne
a)
b)
podział organizmów wodnych:

plankton – drobne organizmy roślinne (fitoplankton) i zwierzęce (zooplankton) unoszące się w toni wodnej

nekton – organizmy pływające w wodzie

bentos – organizmy znajdujące się przy dnie
strefy zbiorników wodnych:
Ekosystemy lądowe
a) rodzaje torfowisk: wysokie, przejściowe, niskie
b) warstwy ekosystemu lasu:
korony drzew
podszyt
runo leśne (warstwa ziół, warstwa przyziemna)
Krążenie pierwiastków i związków w przyrodzie
a) cykl biogeochemiczny - krążenie pierwiastków pomiędzy środowiskiem a organizmem i odwrotnie.