Załącznik nr 1 - Opis przedmiotu zamówienia

Transkrypt

Załącznik nr 1 - Opis przedmiotu zamówienia
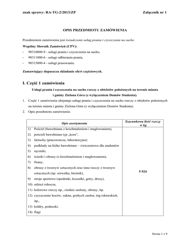
znak sprawy: RA-TG-2/2013/ZP
Załącznik nr 1
OPIS PRZEDMIOTU ZAMÓWIENIA
Przedmiotem zamówienia jest świadczenie usług prania i czyszczenia na sucho.
Wspólny Słownik Zamówień (CPV):
-
98310000-9 - usługi prania i czyszczenia na sucho,
-
98311000-6 - usługi odbierania prania,
-
98315000-4 - usługi prasowania.
Zamawiający dopuszcza składanie ofert częściowych.
I. Część 1 zamówienia
Usługi prania i czyszczenia na sucho rzeczy z obiektów połoŜonych na terenie miasta
i gminy Zielona Góra (z wyłączeniem Domów Studenta).
1. Część 1 zamówienia obejmuje usługi prania i czyszczenia na sucho rzeczy z obiektów połoŜonych
na terenie miasta i gminy Zielona Góra (z wyłączeniem Domów Studenta).
2. Opis przedmiotu zamówienia:
Opis asortymentu
Szacunkowa ilość rzeczy
w kg
1) Pościel (bawełniana z krochmaleniem i maglowaniem),
2) pościeli bawełniana typ „kora”,
3) fartuchy (pracownicze, laboratoryjne)
4) podkłady na łóŜko bawełniane – ćwiczeniowe dla studentów
5) ręczniki,
6) ścierki i obrusy (z krochmaleniem i maglowaniem),
7) firany,
8) obrusy z tworzyw sztucznych oraz inne rzeczy z tworzyw
sztucznych (np. serwetka, bieŜnik),
5 924
9) stroje sportowe (spodenki, koszulki, getry, dresy),
10) odzieŜ robocza,
11) kolorowe rzeczy np., cienkie zasłony, obrusy, itp.
12) czyszczenie koców, sukna, grubych zasłon, tóg rektorskich,
itp.,
13) kołdry, poduszki,
14) flagi
Strona 1 z 9
znak sprawy: RA-TG-2/2013/ZP
Załącznik nr 1
3. Podana w tabeli ilość prania jest ilością szacunkową. Ilość ta ma jedynie słuŜyć Wykonawcom
do zorientowania się w przypuszczalnej wielkości zamówienia oraz będzie słuŜyła do określenia
kwoty maksymalnej, na którą zawarta zostanie umowa. Faktyczne ilości pranych rzeczy będą
wynikały z bieŜących potrzeb Zamawiającego. W umowie poza maksymalną wartością umowy
zawarta zostanie równieŜ podana przez wykonawcę cena jednostkowa za 1 kg prania,
na podstawie której będą prowadzone rozliczenia. Zamawiający zastrzega sobie prawo
do niezrealizowania pełnej wartości umowy wynikającej z oferty Wykonawcy.
4. Istotne warunki wykonywania zamówienia:
1) Odbiór rzeczy przeznaczonych do prania i przywóz rzeczy wypranych odbywa się transportem
Wykonawcy i na jego koszt.
2) Odbiór od Zamawiającego partii przedmiotu zamówienia odbywać się będzie z obiektów
Uczelni zgodnie z poniŜszym wyszczególnieniem:
a) DS. I „Rzepicha” ul. Podgórna 50 w Zielonej Górze – pomieszczenie nr 016,
b) Dom Pracowniczy w Przylepie, ul. 22 Lipca 6 - pomieszczenie nr 14,
c) Dom Pracowniczy ul. Wyszyńskiego 19 A w Zielonej Górze - pomieszczenie nr 9,
d) Dom Pracowniczy ul. Prosta 6 w Zielonej Górze – pomieszczenie nr 200,
e) Budynek przy ul. Wyspiańskiego 58 w Zielonej Górze – pomieszczenie nr 102,
f) Budynek dydaktyczny ul. Energetyków 2 (na zgłoszenie telefoniczne).
3) Odbiór i zwrot partii przedmiotu zamówienia w okresie od 1 października do 30 czerwca
odbywać się będzie:
a) odbiór rzeczy do prania: jeden raz w tygodniu – w czwartki.
Konieczność przyjazdu po pranie w kaŜdy kolejny czwartek naleŜy zawsze potwierdzić
u osoby upowaŜnionej przez Zamawiającego do wydawania i przyjmowania prania,
aby uniknąć przyjazdu kiedy nie ma takiej konieczności;
b) zwrot wypranych rzeczy w ciągu 7 dni od pobrania - w przypadku rzeczy innych
niŜ pościel moŜe wystąpić konieczność zwrotu w ciągu 48 godzin.
4) Odbiór i zwrot partii przedmiotu zamówienia w okresie od 1 lipca do 30 września:
a) odbiór rzeczy przeznaczonych do prania – w ciągu 48 godzin od momentu zgłoszenia
telefonicznego,
b) zwrot wypranych rzeczy – w ciągu 7 dni od pobrania,
c) w przypadkach szczególnych moŜe wyniknąć konieczność wykonania usługi
(dot. np. prania firan, obrusów, sukien, tóg, strojów sportowych) – w ciągu 24 godzin
od momentu zgłoszenia telefonicznego.
5) Rzeczy pobrane do wyprania muszą być zwracane zgodnie z miejscem pobrania.
6) KaŜdorazowo przy pobieraniu rzeczy przeznaczonych do prania Wykonawca zobowiązany
jest do przeliczenia i zwaŜenia rzeczy w obecności przedstawiciela Zamawiającego
i do wystawienia pokwitowania.
Strona 2 z 9
znak sprawy: RA-TG-2/2013/ZP
Załącznik nr 1
7) W celu zwaŜenia rzeczy przeznaczonych do prania Wykonawca zobowiązany jest przywozić
ze sobą zalegalizowaną wagę.
8) Wykonawca zobowiązany jest do dokonania drobnych
(np. uzupełnienie brakujących guzików, zszycia, itp.).
napraw
pranych
rzeczy
9) Wykonawca ponosi materialną odpowiedzialność za rzeczy pobrane przez siebie do prania.
10) W przypadku zaginięcia lub zniszczenia pobranej rzeczy Wykonawca zobowiązany jest
odkupić te rzeczy w takiej samej ilości, asortymencie i gatunku.
11) Po wykonaniu usługi rzeczy nie zostaną odebrane przez Zamawiającego w przypadku kiedy
stwierdzi on, Ŝe są źle wyprane, wilgotne, zniszczone, nie wyprasowane, nie wymaglowane,
nie wykrochmalone i pochodzące z innego źródła.
12) Bez względu na ilość rzeczy przeznaczonych do prania z jednego obiektu, odbiór i zwrot danej
partii prania musi się odbywać jednorazowo.
13) Do wykonania usługi Wykonawca uŜywać będzie tylko środków posiadających aktualne
atesty lub certyfikaty.
Strona 3 z 9
znak sprawy: RA-TG-2/2013/ZP
Załącznik nr 1
II. Część 2 zamówienia
Usługi prania i czyszczenia na sucho rzeczy z Domów Studenta połoŜonych na terenie miasta
Zielona Góra
1.
Część 2 zamówienia obejmuje usługi prania i czyszczenia na sucho rzeczy z Domów Studenta
połoŜonych na terenie miasta Zielona Góra.
2.
Opis przedmiotu zamówienia:
Opis asortymentu
Szacunkowa ilość rzeczy
w kg
1) Pościel (bawełniana z krochmaleniem i maglowaniem),
2) pościeli bawełniana typ „kora”,
3) fartuchy pracownicze,
4) ręczniki,
5) ścierki i obrusy (z krochmaleniem i maglowaniem),
6) firany,
7) obrusy z tworzyw sztucznych oraz inne rzeczy z tworzyw
9 900
sztucznych (np. serwetka, bieŜnik),
8) odzieŜ robocza,
9) kolorowe rzeczy np., cienkie zasłony, obrusy, itp.
10) czyszczenie koców, sukna, grubych zasłon, itp.,
11) kołdry, poduszki,
12) flagi
3.
Podana w tabeli ilość prania jest ilością szacunkową. Ilość ta ma jedynie słuŜyć Wykonawcom
do zorientowania się w przypuszczalnej wielkości zamówienia oraz będzie słuŜyła
do określenia kwoty maksymalnej, na którą zawarta zostanie umowa. Faktyczne ilości pranych
rzeczy będą wynikały z bieŜących potrzeb Zamawiającego. W umowie poza maksymalną
wartością umowy zawarta zostanie równieŜ podana przez wykonawcę cena jednostkowa
za 1 kg prania, na podstawie której będą prowadzone rozliczenia. Zamawiający zastrzega sobie
prawo do niezrealizowania pełnej wartości umowy wynikającej z oferty Wykonawcy.
4. Istotne warunki wykonywania zamówienia:
1) Odbiór rzeczy przeznaczonych do prania i przywóz rzeczy wypranych odbywa się transportem
Wykonawcy i na jego koszt.
2) Odbiór od Zamawiającego partii przedmiotu zamówienia odbywać się będzie z obiektów
Uczelni zgodnie z poniŜszym wyszczególnieniem:
a) DS. II „Piast” ul. Podgórna 50 w Zielonej Górze - pomieszczenie nr 21,
b) DS. III „Ziemowit” ul. Prof. Z. Szafrana 8 w Zielonej Górze - pomieszczenie nr 18,
Strona 4 z 9
znak sprawy: RA-TG-2/2013/ZP
Załącznik nr 1
c) DS. „Vicewersal” al. Wojska Polskiego 65 w Zielonej Górze - pomieszczenie nr 28,
d) DS. „Wcześniak” al. Wojska Polskiego 67 w Zielonej Górze – pomieszczenie nr 01
(piwnica),
e) Studencki Budynek Mieszkalny (SBM) ul. Wyspiańskiego 60 w Zielonej Górze (klatka A)
– pomieszczenie gospodarcze na parterze.
3) Odbiór i zwrot partii przedmiotu zamówienia w okresie od 1 października do 30 czerwca
odbywać się będzie:
a) odbiór rzeczy do prania - dwa razy w tygodniu:
-
we wtorki – DS. „Vicewersal”, DS. „Wcześniak”,
-
w czwartki - pozostałe obiekty wymienione w pkt 2).
Konieczność przyjazdu po pranie w kaŜdy kolejny wtorek i czwartek naleŜy zawsze
potwierdzić u osoby upowaŜnionej przez Zamawiającego do wydawania i przyjmowania
prania, aby uniknąć przyjazdu kiedy nie ma takiej konieczności;
b) zwrot wypranych rzeczy w ciągu 7 dni od pobrania, w przypadku rzeczy innych
niŜ pościel moŜe wystąpić konieczność zwrotu w ciągu 48 godzin.
4) Odbiór i zwrot partii przedmiotu zamówienia w okresie od 1 lipca do 30 września:
a) odbiór rzeczy przeznaczonych do prania – w ciągu 48 godzin od momentu zgłoszenia
telefonicznego,
b) zwrot wypranych rzeczy – w ciągu 7 dni od pobrania,
c) w przypadkach szczególnych moŜe wyniknąć konieczność wykonania usługi – w ciągu
24 godzin od momentu zgłoszenia telefonicznego;
5) Rzeczy pobrane do wyprania muszą być zwracane zgodnie z miejscem pobrania.
6) KaŜdorazowo przy pobieraniu rzeczy przeznaczonych do prania Wykonawca zobowiązany
jest do przeliczenia i zwaŜenia rzeczy w obecności przedstawiciela Zamawiającego
i do wystawienia pokwitowania.
7) W celu zwaŜenia rzeczy przeznaczonych do prania Wykonawca zobowiązany jest przywozić
ze sobą zalegalizowaną wagę.
8) Wykonawca zobowiązany jest do dokonania drobnych
(np. uzupełnienie brakujących guzików, zszycia, itp.).
napraw
pranych
rzeczy
9) Wykonawca ponosi materialną odpowiedzialność za rzeczy pobrane przez siebie do prania.
10) W przypadku zaginięcia lub zniszczenia pobranej rzeczy Wykonawca zobowiązany jest
odkupić te rzeczy w takiej samej ilości, asortymencie i gatunku.
11) Po wykonaniu usługi rzeczy nie zostaną odebrane przez Zamawiającego w przypadku kiedy
stwierdzi on, Ŝe są źle wyprane, wilgotne, zniszczone, nie wyprasowane, nie wymaglowane,
nie wykrochmalone i pochodzące z innego źródła.
12) Bez względu na ilość rzeczy przeznaczonych do prania z jednego obiektu, odbiór i zwrot danej
partii prania musi się odbywać jednorazowo.
13) Do wykonania usługi Wykonawca uŜywać będzie tylko środków posiadających aktualne
atesty lub certyfikaty.
Strona 5 z 9
znak sprawy: RA-TG-2/2013/ZP
III. Część
Załącznik nr 1
3 zamówienia
Usługi prania i czyszczenia na sucho rzeczy z Ośrodka Szkoleniowo-Wypoczynkowego
w Lubiatowie
1.
Część 3 zamówienia obejmuje usługi prania i czyszczenia na sucho rzeczy z Ośrodka
Szkoleniowo-Wypoczynkowego w Lubiatowie, ul. Sławska 17, 67-410 Sława, woj. lubuskie.
2.
Opis przedmiotu zamówienia:
Opis asortymentu
1)
Szacunkowa ilość
rzeczy w kg
Pościel (bawełniana z krochmaleniem
i maglowaniem),
2)
pościel bawełniana typ „kora”,
3)
ręczniki,
4)
ścierki i obrusy (z krochmaleniem
i maglowaniem),
5)
firany,
6)
obrusy z tworzyw sztucznych oraz inne
rzeczy z tworzyw sztucznych (np. serwetka,
1 000
bieŜnik),
7)
kolorowe rzeczy np. cienkie zasłony, odzieŜ
robocza, obicia leŜakowe, itp.
3.
8)
komplety łazienkowe,
9)
czyszczenie koców, grubych zasłon, itp.,
10)
kołdry, poduszki.
Podana w tabeli ilość prania jest ilością szacunkową. Ilość ta ma jedynie słuŜyć Wykonawcom
do zorientowania się w przypuszczalnej wielkości zamówienia oraz będzie słuŜyła
do określenia kwoty maksymalnej, na którą zawarta zostanie umowa. Faktyczne ilości pranych
rzeczy będą wynikały z bieŜących potrzeb Zamawiającego. W umowie poza maksymalną
wartością umowy zawarta zostanie równieŜ podana przez wykonawcę cena jednostkowa
za 1 kg prania, na podstawie której będą prowadzone rozliczenia. Zamawiający zastrzega sobie
prawo do niezrealizowania pełnej wartości umownej wynikającej z oferty Wykonawcy.
Strona 6 z 9
znak sprawy: RA-TG-2/2013/ZP
4.
Załącznik nr 1
Istotne warunki wykonywania zamówienia:
1) Odbiór rzeczy przeznaczonych do prania i przywóz rzeczy wypranych odbywa
się transportem Wykonawcy i na jego koszt.
2) Odbiór i zwrot partii przedmiotu zamówienia odbywać się będzie:
a) odbiór rzeczy do prania – w ciągu 48 godzin od telefonicznego zgłoszenia,
b) zwrot wypranych rzeczy w ciągu 7 dni od pobrania, w przypadku rzeczy innych
niŜ pościel moŜe wystąpić konieczność zwrotu w ciągu 48 godzin.
3) KaŜdorazowo przy pobieraniu rzeczy przeznaczonych do prania Wykonawca zobowiązany
jest do przeliczenia i zwaŜenia rzeczy w obecności przedstawiciela Zamawiającego
i do wystawienia pokwitowania.
4) W celu zwaŜenia rzeczy przeznaczonych do prania wykonawca zobowiązany jest przywozić
ze sobą zalegalizowaną wagę.
5) Wykonawca zobowiązany jest do dokonania drobnych napraw pranych rzeczy
(np. uzupełnienie brakujących guzików, zszycia, itp.).
6) Wykonawca ponosi materialną odpowiedzialność za rzeczy pobrane przez siebie do prania.
7) W przypadku zaginięcia lub zniszczenia pobranej rzeczy Wykonawca zobowiązany jest
odkupić te rzeczy w takiej samej ilości, asortymencie i gatunku.
8) Po wykonaniu usługi rzeczy nie zostaną odebrane przez Zamawiającego w przypadku kiedy
stwierdzi on, Ŝe są źle wyprane, wilgotne, zniszczone, nie wyprasowane,
nie wykrochmalone, nie wymaglowane i pochodzące z innego źródła.
9) Bez względu na ilość rzeczy przeznaczonych do prania odbiór i zwrot danej partii prania
musi się odbywać jednorazowo.
10) Do wykonania usługi Wykonawca uŜywać będzie tylko środków posiadających aktualne
atesty lub certyfikaty.
Strona 7 z 9
znak sprawy: RA-TG-2/2013/ZP
Załącznik nr 1
IV. Część 4 zamówienia
Usługi prania i czyszczenia na sucho rzeczy z Ośrodka Szkoleniowo-Wypoczynkowego
w Łagowie
1. Część 4 zamówienia obejmuje usługi prania i czyszczenia na sucho rzeczy z Ośrodka
Szkoleniowo-Wypoczynkowego w Łagowie, ul. Szkolna 1, 66-220 Łagów, woj. lubuskie.
2. Opis przedmiotu zamówienia:
Opis asortymentu
Szacunkowa ilość
rzeczy w kg
1) Pościel (bawełniana z krochmaleniem
i maglowaniem),
2) pościel bawełniana typ „kora”,
3) ręczniki,
4) ścierki i obrusy (z krochmaleniem
i maglowaniem),
5) firany,
6) obrusy z tworzyw sztucznych oraz inne
rzeczy z tworzyw sztucznych (np. serwetka,
600
bieŜnik),
7) kolorowe rzeczy np. cienkie zasłony, odzieŜ
robocza, obicia leŜakowe, itp.
8) komplety łazienkowe,
9) czyszczenie koców, grubych zasłon, itp.,
10) kołdry, poduszki.
3. Podana w tabeli ilość prania jest ilością szacunkową. Ilość ta ma jedynie słuŜyć Wykonawcom
do zorientowania się w przypuszczalnej wielkości zamówienia oraz będzie słuŜyła do określenia
kwoty maksymalnej, na którą zawarta zostanie umowa. Faktyczne ilości pranych rzeczy będą
wynikały z bieŜących potrzeb Zamawiającego. W umowie poza maksymalną wartością umowy
zawarta zostanie równieŜ podana przez wykonawcę cena jednostkowa za 1 kg prania,
na podstawie której będą prowadzone rozliczenia. Zamawiający zastrzega sobie prawo
do niezrealizowania pełnej wartości umownej wynikającej z oferty Wykonawcy.
Strona 8 z 9
znak sprawy: RA-TG-2/2013/ZP
Załącznik nr 1
4. Istotne warunki wykonywania zamówienia:
1) Odbiór rzeczy przeznaczonych do prania i przywóz rzeczy wypranych odbywa się transportem
Wykonawcy i na jego koszt.
2) Odbiór i zwrot partii przedmiotu zamówienia odbywać się będzie:
a) odbiór rzeczy do prania – w ciągu 48 godzin od telefonicznego zgłoszenia,
b) zwrot wypranych rzeczy w ciągu 7 dni od pobrania, w przypadku rzeczy innych
niŜ pościel moŜe wystąpić konieczność zwrotu w ciągu 48 godzin.
3) KaŜdorazowo przy pobieraniu rzeczy przeznaczonych do prania Wykonawca zobowiązany
jest do przeliczenia i zwaŜenia rzeczy w obecności przedstawiciela Zamawiającego
i do wystawienia pokwitowania.
4) W celu zwaŜenia rzeczy przeznaczonych do prania wykonawca zobowiązany jest przywozić
ze sobą zalegalizowaną wagę.
5) Wykonawca zobowiązany jest do dokonania drobnych
(np. uzupełnienie brakujących guzików, zszycia, itp.).
napraw
pranych
rzeczy
6) Wykonawca ponosi materialną odpowiedzialność za rzeczy pobrane przez siebie do prania.
7) W przypadku zaginięcia lub zniszczenia pobranej rzeczy Wykonawca zobowiązany jest
odkupić te rzeczy w takiej samej ilości, asortymencie i gatunku.
8) Po wykonaniu usługi rzeczy nie zostaną odebrane przez Zamawiającego w przypadku kiedy
stwierdzi on, Ŝe są źle wyprane, wilgotne, zniszczone, nie wyprasowane, nie wykrochmalone,
nie wymaglowane i pochodzące z innego źródła.
9) Bez względu na ilość rzeczy przeznaczonych do prania odbiór i zwrot danej partii prania musi
się odbywać jednorazowo.
10) Do wykonania usługi Wykonawca uŜywać będzie tylko środków posiadających aktualne
atesty lub certyfikaty.
Strona 9 z 9